Suppr超能文献

在并发症和疗效方面,十二指肠空肠旁路管是否优于保留幽门的减肥手术?

Is duodeno-jejunal bypass liner superior to pylorus preserving bariatric surgery in terms of complications and efficacy?

机构信息

Department of Surgery and Vascular Surgery, Zala County Saint Rafael Hospital, H-8900 Zrinyi Miklos street 1., Zalaegerszeg, Hungary.

Doctoral School of Neurosciences, University of Pecs, Pécs, Hungary.

出版信息

Langenbecks Arch Surg. 2021 Aug;406(5):1363-1377. doi: 10.1007/s00423-021-02131-x. Epub 2021 Mar 12.

Abstract

PURPOSE

Based on recent scientific evidence, bariatric surgery is more effective in the management of morbid obesity and related comorbidities than conservative therapy. Pylorus preserving surgical procedures (PPBS) such as laparoscopic single-anastomosis duodeno-jejunal or duodeno-ileal bypass with sleeve gastrectomy are modified duodenal switch (DS) surgical techniques. The duodeno-jejunal bypass liner (DJBL) is a novel surgical method in the inventory of metabolism focused manual interventions that excludes duodeno-jejunal mucosa from digestion, mimicking DS procedures without the risk of surgical intervention. The aim of this article is to summarize and compare differences between safety-related features and weight loss outcomes of DJBL and PPBS.

METHODS

A literature search was conducted in the PubMed database. Records of DJBL-related adverse events (AEs), occurrence of PPBS-related complications and reintervention rates were collected. Mean weight, mean body mass index (BMI), percent of excess of weight loss (EWL%), percent of total weight loss (TWL%) and BMI value alterations were recorded for weight loss outcomes.

RESULTS

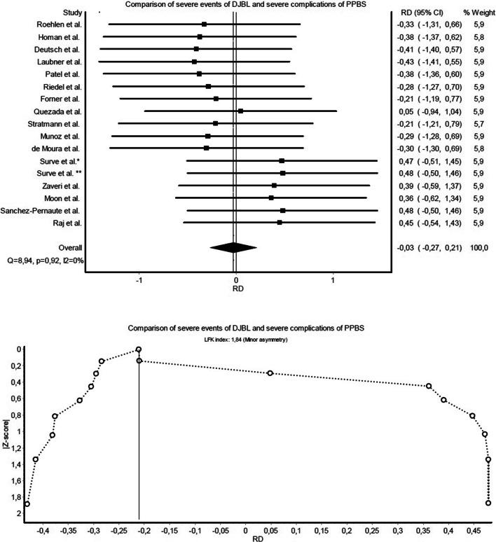
A total of 11 publications on DJBL and 6 publications on PPBS were included, involving 800 and 1462 patients, respectively. The baseline characteristics of the patients were matched. Comparison of DJBL-related AEs and PPBS-related severe complications showed an almost equal risk (risk difference (RD): -0.03 and confidence interval (CI): -0.27 to 0.21), despite higher rates among patients having received endoscopic treatment. Overall AE and complication rates classified by Clavien-Dindo showed that PPBS was superior to DJBL due to an excess risk level of 25% (RD: 0.25, CI: 0.01-0.49). Reintervention rates were more favourable in the PPBS group, without significant differences in risk (RD: -0.03, CI: -0.27 to 0.20). However, PPBS seemed more efficient regarding weight loss outcomes at 1-year follow-up according to raw data, while meta-analysis did not reveal any significant difference (odds ratio (OR): 1.08, CI: 0.74-1.59 for BMI changes).

CONCLUSION

Only limited conclusions can be made based on our findings. PPBS was superior to DJBL with regard to safety outcomes (GRADE IIB), which failed to support the authors' hypothesis. Surgical procedures showed lower complication rates than the incidence of DJBL-related AEs, although it should be emphasized that the low number of PPBS-related mild to moderate complications reported could be the result of incomplete data recording from the analysed publications. Weight loss outcomes favoured bariatric surgery (GRADE IIB). As the DJBL is implanted into the upper gastrointestinal tract for 6 to 12 months, it seems a promising additional method in the inventory of metabolic interventions.

摘要

目的

基于最近的科学证据,与保守治疗相比,减重手术在治疗病态肥胖和相关合并症方面更有效。保留幽门的手术程序(PPBS),如腹腔镜单吻合十二指肠空肠旁路术或带有袖状胃切除术的十二指肠空肠旁路术,是改良的十二指肠转流术(DS)手术技术。十二指肠空肠旁路衬垫(DJBL)是一种新的代谢干预手动操作方法,它使十二指肠空肠黏膜免受消化,模拟 DS 手术而不具有手术干预的风险。本文的目的是总结和比较 DJBL 与 PPBS 的安全性相关特征和减重效果的差异。

方法

在 PubMed 数据库中进行了文献检索。收集 DJBL 相关不良事件(AE)、PPBS 相关并发症和再干预率的记录。记录减重效果的体重、平均体重指数(BMI)、体重减轻率(EWL%)、总体重减轻率(TWL%)和 BMI 值变化。

结果

共纳入 11 篇 DJBL 相关文献和 6 篇 PPBS 相关文献,分别纳入 800 例和 1462 例患者。患者的基线特征相匹配。DJBL 相关 AE 与 PPBS 相关严重并发症的比较显示,风险差异(RD)几乎相同(RD:-0.03,置信区间(CI):-0.27 至 0.21),尽管内镜治疗组的发生率较高。根据 Clavien-Dindo 分类的总体 AE 和并发症发生率表明,PPBS 优于 DJBL,因为风险水平高出 25%(RD:0.25,CI:0.01-0.49)。PPBS 组的再干预率更有利,但风险无显著差异(RD:-0.03,CI:-0.27 至 0.20)。然而,根据原始数据,PPBS 在 1 年随访时的减重效果似乎更好,而荟萃分析未显示出任何显著差异(BMI 变化的比值比(OR):1.08,CI:0.74-1.59)。

结论

根据我们的发现,只能得出有限的结论。PPBS 在安全性方面优于 DJBL(GRADE IIB),这与作者的假设不符。手术程序的并发症发生率低于 DJBL 相关 AE 的发生率,尽管应该强调的是,分析文献中报告的轻度至中度 PPBS 相关并发症数量较少可能是数据记录不完整的结果。减重效果支持减重手术(GRADE IIB)。由于 DJBL 在 6 至 12 个月内植入上消化道,因此它似乎是代谢干预手段中的一种很有前途的附加方法。

https://cdn.ncbi.nlm.nih.gov/pmc/blobs/f1c9/8370966/3c15a518451b/423_2021_2131_Fig1_HTML.jpg

文献检索

告别复杂PubMed语法,用中文像聊天一样搜索,搜遍4000万医学文献。AI智能推荐,让科研检索更轻松。

立即免费搜索

文件翻译

保留排版,准确专业,支持PDF/Word/PPT等文件格式,支持 12+语言互译。

免费翻译文档

深度研究

AI帮你快速写综述,25分钟生成高质量综述,智能提取关键信息,辅助科研写作。

立即免费体验