Suppr超能文献

肉瘤样肾细胞癌治疗前和治疗后患者预后列线图及基于网络的生存率计算器的开发与验证

Development and validation of prognostic nomograms and a web-based survival rate calculator for sarcomatoid renal cell carcinoma in pre- and post-treatment patients.

作者信息

Yang Tong, Wu Yaohai, Zuo You, Fu Shuai, Xu Zhonghua, Yu Nengwang

机构信息

Department of Urology, Qilu Hospital of Shandong University, Jinan, China.

School of Clinical Medicine, Shandong University, Jinan, China.

出版信息

Transl Androl Urol. 2021 Feb;10(2):754-764. doi: 10.21037/tau-20-1192.

Abstract

BACKGROUND

To develop a clinical prediction model and web-based survival rate calculator to predict the overall survival (OS) and cancer-specific survival (CSS) of sarcomatoid renal cell carcinoma (SRCC) for clinical diagnosis and treatment.

METHODS

SRCC patient data were retrieved from Surveillance, Epidemiology, and End Results (SEER) database. Factors independently associated with survival were identified by a Cox regression analysis. Nomograms of the prediction model were constructed using a SEER training cohort and validated with a SEER validation cohort. At the same time, the decision analysis curve, receiver operating characteristic curve, and calibration curve were also used to examine and evaluate the model. A web-based survival rate calculator was constructed to help assist in the assessment of the disease condition and clinical prognosis.

RESULTS

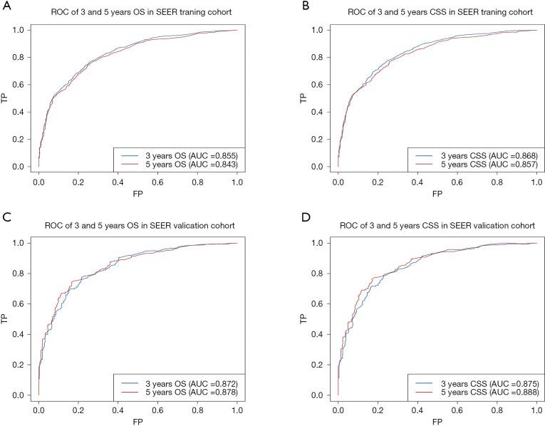
The records of 2,742 SRCC cases were retrieved from SEER, while 1,921 cases with a median OS of 14 and CSS of 32 months were used as the training cohort. The developed nomograms were more accurate than that of the American Joint Committee on Cancer staging (C-indexes of 0.767 versus 0.725 for OS and 0.775 versus 0.715 for CSS), with better discrimination than that of the American Joint Committee on Cancer (AJCC) stage model and the calibration was validated in the SEER validation cohort. The model's 3- and 5-year OS and CSS were superior to AJCC and T staging on the analysis decision curve. The prognosis prediction of SRCC established by the prediction model could be evaluated through the web-based survival rate calculator, which plays a guiding role in clinical treatment.

CONCLUSIONS

Nomograms and a web-based survival rate calculator predicting the OS and CSS of SRCC patients with better discrimination and calibration were developed.

摘要

背景

开发一种临床预测模型和基于网络的生存率计算器,以预测肉瘤样肾细胞癌(SRCC)的总生存期(OS)和癌症特异性生存期(CSS),用于临床诊断和治疗。

方法

从监测、流行病学和最终结果(SEER)数据库中检索SRCC患者数据。通过Cox回归分析确定与生存独立相关的因素。使用SEER训练队列构建预测模型的列线图,并在SEER验证队列中进行验证。同时,还使用决策分析曲线、受试者工作特征曲线和校准曲线来检验和评估该模型。构建了一个基于网络的生存率计算器,以帮助评估疾病状况和临床预后。

结果

从SEER中检索到2742例SRCC病例记录,其中1921例中位OS为14个月、CSS为32个月的病例用作训练队列。所开发的列线图比美国癌症联合委员会分期更准确(OS的C指数分别为0.767和0.725,CSS的C指数分别为0.775和0.715),其区分度优于美国癌症联合委员会(AJCC)分期模型,且在SEER验证队列中校准得到验证。在分析决策曲线上,该模型的3年和5年OS及CSS均优于AJCC和T分期。通过基于网络的生存率计算器可以评估由预测模型建立的SRCC预后预测,其在临床治疗中起指导作用。

结论

开发了预测SRCC患者OS和CSS且具有更好区分度和校准度的列线图及基于网络的生存率计算器。

https://cdn.ncbi.nlm.nih.gov/pmc/blobs/75f7/7947429/600dcdc56d5f/tau-10-02-754-f1.jpg

文献检索

告别复杂PubMed语法,用中文像聊天一样搜索,搜遍4000万医学文献。AI智能推荐,让科研检索更轻松。

立即免费搜索

文件翻译

保留排版,准确专业,支持PDF/Word/PPT等文件格式,支持 12+语言互译。

免费翻译文档

深度研究

AI帮你快速写综述,25分钟生成高质量综述,智能提取关键信息,辅助科研写作。

立即免费体验