• 文献检索
  • 文档翻译
  • 深度研究
  • 学术资讯
  • Suppr Zotero 插件Zotero 插件
  • 邀请有礼
  • 套餐&价格
  • 历史记录
应用&插件
Suppr Zotero 插件Zotero 插件浏览器插件Mac 客户端Windows 客户端微信小程序
定价
高级版会员购买积分包购买API积分包
服务
文献检索文档翻译深度研究API 文档MCP 服务
关于我们
关于 Suppr公司介绍联系我们用户协议隐私条款
关注我们

Suppr 超能文献

核心技术专利:CN118964589B侵权必究
粤ICP备2023148730 号-1Suppr @ 2026

文献检索

告别复杂PubMed语法,用中文像聊天一样搜索,搜遍4000万医学文献。AI智能推荐,让科研检索更轻松。

立即免费搜索

文件翻译

保留排版,准确专业,支持PDF/Word/PPT等文件格式,支持 12+语言互译。

免费翻译文档

深度研究

AI帮你快速写综述,25分钟生成高质量综述,智能提取关键信息,辅助科研写作。

立即免费体验

用于预测胃癌伴肺转移患者总生存和癌症特异性生存的两个基于网络的列线图的构建、验证及可视化

Construction, Validation, and Visualization of Two Web-Based Nomograms to Predict Overall and Cancer-Specific Survival in Patients with Gastric Cancer and Lung Metastases.

作者信息

Zheng Honghong, Li Zhehong, Li Jianjun, Zheng Shuai, Zhao Enhong

机构信息

Department of Gastrointestinal Surgery, Affiliated Hospital of Chengde Medical University, Chengde, China.

Department of Orthopedic, Affiliated Hospital of Chengde Medical University, Chengde, China.

出版信息

J Oncol. 2021 Nov 1;2021:5495267. doi: 10.1155/2021/5495267. eCollection 2021.

DOI:10.1155/2021/5495267
PMID:34759968
原文链接:https://pmc.ncbi.nlm.nih.gov/articles/PMC8575630/
Abstract

BACKGROUND

The lung is one of the most common sites of metastasis in gastric cancer. Our study developed two nomograms to achieve individualized prediction of overall survival (OS) and cancer-specific survival (CSS) in patients with gastric cancer and lung metastasis (GCLM) to better guide follow-up and planning of subsequent treatment.

METHODS

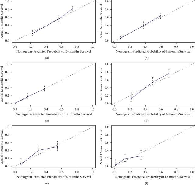
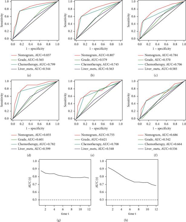
We reviewed data of patients diagnosed with GCLM in the Surveillance, Epidemiology, and End Results (SEER) database from 2010 to 2015. The endpoints of the study were the OS and CSS. We used the "caret" package to randomly divide patients into training and validation cohorts in a 7 : 3 ratio. Multivariate Cox regression analysis was performed using univariate Cox regression analysis to confirm the independent prognostic factors. Afterward, we built the OS and CSS nomograms with the "rms" package. Subsequently, we evaluated the two nomograms through calibration curves, receiver operating characteristic (ROC) curves, and decision curve analysis (DCA). Finally, two web-based nomograms were built on the basis of effective nomograms.

RESULTS

The OS analysis included 640 patients, and the results of the multivariate Cox regression analysis showed that grade, chemotherapy, and liver metastasis were independent prognostic factors for patients with GCLM. The CSS analysis included 524 patients, and the results of the multivariate Cox regression analysis showed that the independent prognostic factors for patients with GCLM were chemotherapy, liver metastasis, marital status, and tumor site. The ROC curves, calibration curves, and DCA revealed favorable predictive power in the OS and CSS nomograms. We created web-based nomograms for OS (https://zhenghh.shinyapps.io/aclmos/) and CSS (https://zhenghh.shinyapps.io/aslmcss/).

CONCLUSIONS

We created two web-based nomograms to predict OS and CSS in patients with GCLM. Both web-based nomograms had satisfactory accuracy and clinical usefulness and may help clinicians make individualized treatment decisions for patients.

摘要

背景

肺是胃癌最常见的转移部位之一。我们的研究开发了两个列线图,以实现对胃癌肺转移(GCLM)患者总生存期(OS)和癌症特异性生存期(CSS)的个体化预测,从而更好地指导随访及后续治疗方案的制定。

方法

我们回顾了2010年至2015年监测、流行病学和最终结果(SEER)数据库中诊断为GCLM的患者数据。研究的终点为OS和CSS。我们使用“caret”软件包将患者以7∶3的比例随机分为训练队列和验证队列。通过单变量Cox回归分析进行多变量Cox回归分析,以确定独立预后因素。之后,我们使用“rms”软件包构建OS和CSS列线图。随后,我们通过校准曲线、受试者操作特征(ROC)曲线和决策曲线分析(DCA)对这两个列线图进行评估。最后,基于有效的列线图构建了两个基于网络的列线图。

结果

OS分析纳入了640例患者,多变量Cox回归分析结果显示,分级、化疗和肝转移是GCLM患者的独立预后因素。CSS分析纳入了524例患者,多变量Cox回归分析结果显示,GCLM患者的独立预后因素为化疗、肝转移、婚姻状况和肿瘤部位。ROC曲线、校准曲线和DCA显示OS和CSS列线图具有良好的预测能力。我们创建了基于网络的OS列线图(https://zhenghh.shinyapps.io/aclmos/)和CSS列线图(https://zhenghh.shinyapps.io/aslmcss/)。

结论

我们创建了两个基于网络的列线图来预测GCLM患者的OS和CSS。两个基于网络的列线图均具有令人满意的准确性和临床实用性,可能有助于临床医生为患者做出个体化治疗决策。

https://cdn.ncbi.nlm.nih.gov/pmc/blobs/c9c1/8575630/a9b431c2aa55/JO2021-5495267.010.jpg
https://cdn.ncbi.nlm.nih.gov/pmc/blobs/c9c1/8575630/1b23ebddd91a/JO2021-5495267.001.jpg
https://cdn.ncbi.nlm.nih.gov/pmc/blobs/c9c1/8575630/9e462dea9c4e/JO2021-5495267.002.jpg
https://cdn.ncbi.nlm.nih.gov/pmc/blobs/c9c1/8575630/4cbf4041de12/JO2021-5495267.003.jpg
https://cdn.ncbi.nlm.nih.gov/pmc/blobs/c9c1/8575630/597b8e7db548/JO2021-5495267.004.jpg
https://cdn.ncbi.nlm.nih.gov/pmc/blobs/c9c1/8575630/f2509633e606/JO2021-5495267.005.jpg
https://cdn.ncbi.nlm.nih.gov/pmc/blobs/c9c1/8575630/37356a1cc1cb/JO2021-5495267.006.jpg
https://cdn.ncbi.nlm.nih.gov/pmc/blobs/c9c1/8575630/79fcdd3fd28b/JO2021-5495267.007.jpg
https://cdn.ncbi.nlm.nih.gov/pmc/blobs/c9c1/8575630/b77415fd1be4/JO2021-5495267.008.jpg
https://cdn.ncbi.nlm.nih.gov/pmc/blobs/c9c1/8575630/04d588135ef5/JO2021-5495267.009.jpg
https://cdn.ncbi.nlm.nih.gov/pmc/blobs/c9c1/8575630/a9b431c2aa55/JO2021-5495267.010.jpg
https://cdn.ncbi.nlm.nih.gov/pmc/blobs/c9c1/8575630/1b23ebddd91a/JO2021-5495267.001.jpg
https://cdn.ncbi.nlm.nih.gov/pmc/blobs/c9c1/8575630/9e462dea9c4e/JO2021-5495267.002.jpg
https://cdn.ncbi.nlm.nih.gov/pmc/blobs/c9c1/8575630/4cbf4041de12/JO2021-5495267.003.jpg
https://cdn.ncbi.nlm.nih.gov/pmc/blobs/c9c1/8575630/597b8e7db548/JO2021-5495267.004.jpg
https://cdn.ncbi.nlm.nih.gov/pmc/blobs/c9c1/8575630/f2509633e606/JO2021-5495267.005.jpg
https://cdn.ncbi.nlm.nih.gov/pmc/blobs/c9c1/8575630/37356a1cc1cb/JO2021-5495267.006.jpg
https://cdn.ncbi.nlm.nih.gov/pmc/blobs/c9c1/8575630/79fcdd3fd28b/JO2021-5495267.007.jpg
https://cdn.ncbi.nlm.nih.gov/pmc/blobs/c9c1/8575630/b77415fd1be4/JO2021-5495267.008.jpg
https://cdn.ncbi.nlm.nih.gov/pmc/blobs/c9c1/8575630/04d588135ef5/JO2021-5495267.009.jpg
https://cdn.ncbi.nlm.nih.gov/pmc/blobs/c9c1/8575630/a9b431c2aa55/JO2021-5495267.010.jpg

相似文献

1
Construction, Validation, and Visualization of Two Web-Based Nomograms to Predict Overall and Cancer-Specific Survival in Patients with Gastric Cancer and Lung Metastases.用于预测胃癌伴肺转移患者总生存和癌症特异性生存的两个基于网络的列线图的构建、验证及可视化
J Oncol. 2021 Nov 1;2021:5495267. doi: 10.1155/2021/5495267. eCollection 2021.
2
Construction, validation and, visualization of a web-based nomogram for predicting the overall survival and cancer-specific survival of leiomyosarcoma patients with lung metastasis.构建、验证并可视化用于预测肺转移平滑肌肉瘤患者总生存期和癌症特异性生存期的基于网络的列线图。
J Thorac Dis. 2021 May;13(5):3076-3092. doi: 10.21037/jtd-21-598.
3
Construction, Validation, and Visualization of Two Web-Based Nomograms for Predicting Overall Survival and Cancer-Specific Survival in Elderly Patients with Primary Osseous Spinal Neoplasms.用于预测原发性脊柱骨肿瘤老年患者总生存期和癌症特异性生存期的两个基于网络的列线图的构建、验证及可视化
J Oncol. 2022 Apr 4;2022:7987967. doi: 10.1155/2022/7987967. eCollection 2022.
4
A New Online Dynamic Nomogram: Construction and Validation of a Predictive Model for Distant Metastasis Risk and Prognosis in Patients with Gastrointestinal Stromal Tumors.一种新的在线动态列线图:胃肠道间质瘤患者远处转移风险和预后预测模型的构建与验证
J Gastrointest Surg. 2023 Jul;27(7):1429-1444. doi: 10.1007/s11605-023-05706-9. Epub 2023 May 25.
5
Prediction of all-cause death and specific causes of death in patients with gastric cancer with liver metastasis: a Surveillance, Epidemiology, and End Results-based study.基于监测、流行病学和最终结果的研究:预测患有肝转移胃癌患者的全因死亡和特定死因。
J Gastrointest Surg. 2024 Jun;28(6):880-888. doi: 10.1016/j.gassur.2024.03.019. Epub 2024 Mar 18.
6
Early distinction of lymph node metastasis in patients with soft tissue sarcoma and individualized survival prediction using the online available nomograms: A population-based analysis.软组织肉瘤患者淋巴结转移的早期鉴别及使用在线可用列线图进行个体化生存预测:一项基于人群的分析
Front Oncol. 2022 Dec 7;12:959804. doi: 10.3389/fonc.2022.959804. eCollection 2022.
7
Predictive Risk Factors and Online Nomograms for Synchronous Colon Cancer With Liver Metastasis.同步性结肠癌肝转移的预测风险因素及在线列线图
Front Oncol. 2020 Oct 2;10:1681. doi: 10.3389/fonc.2020.01681. eCollection 2020.
8
Development and validation of two nomograms for predicting overall survival and cancer-specific survival in gastric cancer patients with liver metastases: A retrospective cohort study from SEER database.用于预测胃癌肝转移患者总生存期和癌症特异性生存期的两种列线图的开发与验证:一项来自监测、流行病学和最终结果(SEER)数据库的回顾性队列研究
Transl Oncol. 2022 Oct;24:101480. doi: 10.1016/j.tranon.2022.101480. Epub 2022 Jul 19.
9
Construction of webbased prediction nomogram models for cancerspecific survival in patients at stage IV of hepatocellular carcinoma depending on SEER database.基于监测、流行病学和最终结果(SEER)数据库构建用于预测肝细胞癌IV期患者癌症特异性生存的网络预测列线图模型。
Zhong Nan Da Xue Xue Bao Yi Xue Ban. 2023 Oct 28;48(10):1546-1560. doi: 10.11817/j.issn.1672-7347.2023.230040.
10
Two simple-to-use web-based nomograms to predict overall survival and cancer-specific survival in patients with extremity fibrosarcoma.两个易于使用的基于网络的列线图,用于预测肢体纤维肉瘤患者的总生存期和癌症特异性生存期。
Front Oncol. 2023 Feb 13;12:942542. doi: 10.3389/fonc.2022.942542. eCollection 2022.

引用本文的文献

1
Analysis of risk and prognostic factors for pulmonary metastasis in gastric cancer: a study based on the Surveillance, Epidemiology, and End Results database.胃癌肺转移的风险及预后因素分析:一项基于监测、流行病学和最终结果数据库的研究
Transl Cancer Res. 2025 Feb 28;14(2):990-1007. doi: 10.21037/tcr-24-2019. Epub 2025 Feb 26.
2
Development and validation of a genomic nomogram based on a ceRNA network for comprehensive analysis of obstructive sleep apnea.基于ceRNA网络的基因组列线图的开发与验证,用于阻塞性睡眠呼吸暂停的综合分析
Front Genet. 2023 Mar 10;14:1084552. doi: 10.3389/fgene.2023.1084552. eCollection 2023.
3

本文引用的文献

1
Development and validation of prognostic nomograms and a web-based survival rate calculator for sarcomatoid renal cell carcinoma in pre- and post-treatment patients.肉瘤样肾细胞癌治疗前和治疗后患者预后列线图及基于网络的生存率计算器的开发与验证
Transl Androl Urol. 2021 Feb;10(2):754-764. doi: 10.21037/tau-20-1192.
2
Development and Validation of a Nomogram for Predicting Survival in Gallbladder Cancer Patients With Recurrence After Surgery.预测胆囊癌术后复发患者生存的列线图的开发与验证
Front Oncol. 2021 Jan 11;10:537789. doi: 10.3389/fonc.2020.537789. eCollection 2020.
3
γ-glutamyl transferase-to-platelet ratio based nomogram predicting overall survival of gallbladder carcinoma.
Web-Based Nomograms for Overall Survival and Cancer-Specific Survival of Bladder Cancer Patients with Bone Metastasis: A Retrospective Cohort Study from SEER Database.
基于网络的骨转移膀胱癌患者总生存和癌症特异性生存列线图:一项来自监测、流行病学和最终结果(SEER)数据库的回顾性队列研究
J Clin Med. 2023 Jan 16;12(2):726. doi: 10.3390/jcm12020726.
4
A Novel Prognostic Signature Associated With the Tumor Microenvironment in Kidney Renal Clear Cell Carcinoma.一种与肾透明细胞癌肿瘤微环境相关的新型预后标志物
Front Oncol. 2022 Jul 4;12:912155. doi: 10.3389/fonc.2022.912155. eCollection 2022.
基于γ-谷氨酰转移酶与血小板比值的列线图预测胆囊癌的总生存期
World J Gastrointest Oncol. 2020 Sep 15;12(9):1014-1030. doi: 10.4251/wjgo.v12.i9.1014.
4
Efficacy and safety of paclitaxel with or without targeted therapy as second-line therapy in advanced gastric cancer: A meta-analysis.紫杉醇联合或不联合靶向治疗作为晚期胃癌二线治疗的疗效和安全性:一项荟萃分析。
Medicine (Baltimore). 2020 Jun 19;99(25):e20734. doi: 10.1097/MD.0000000000020734.
5
Diagnostic and prognostic nomograms for bone metastasis in hepatocellular carcinoma.肝癌骨转移的诊断和预后列线图。
BMC Cancer. 2020 Jun 1;20(1):494. doi: 10.1186/s12885-020-06995-y.
6
A Population-Based Analysis of Distant Metastasis in Stage IV Gastric Cancer.基于人群的 IV 期胃癌远处转移分析。
Med Sci Monit. 2020 May 15;26:e923867. doi: 10.12659/MSM.923867.
7
Effect of lymph nodes count in node-positive gastric cancer.淋巴结阳性胃癌中淋巴结计数的影响
J Cancer. 2019 Sep 7;10(23):5646-5653. doi: 10.7150/jca.30979. eCollection 2019.
8
Impact of Preoperative Skeletal Muscle Quality Measurement on Long-Term Survival After Curative Gastrectomy for Locally Advanced Gastric Cancer.术前骨骼肌质量测量对局部进展期胃癌根治术后长期生存的影响。
World J Surg. 2019 Dec;43(12):3083-3093. doi: 10.1007/s00268-019-05145-1.
9
Development and validation of SIRT3-related nomogram predictive of overall survival in patients with serous ovarian cancer.开发和验证与 SIRT3 相关的列线图,以预测浆液性卵巢癌患者的总生存率。
J Ovarian Res. 2019 May 21;12(1):47. doi: 10.1186/s13048-019-0524-2.
10
The role of surgical resection before palliative chemotherapy in advanced gastric cancer.手术切除在晚期胃癌姑息化疗前的作用。
Sci Rep. 2019 Mar 11;9(1):4136. doi: 10.1038/s41598-019-39432-7.