Suppr超能文献

既往腕管综合征手术与主动脉瓣置换术后不良心血管结局及长期死亡率的关联。

The association of prior carpal tunnel syndrome surgery with adverse cardiovascular outcomes and long-term mortality after aortic valve replacement.

作者信息

Westin Oscar, Lauridsen Marie D, Kristensen Søren Lund, Køber Lars, Torp-Pedersen Christian, Gislason Gunnar, Søndergaard Lars, Maurer Mathew S, Leicht Birgitte Pernille, Gustafsson Finn, Fosbøl Emil L

机构信息

The Heart Center, University Hospital of Copenhagen, Rigshospitalet, Denmark.

Department of Cardiology and Clinical Research, Nordsjællands Hospital, Hillerød, Denmark.

出版信息

Int J Cardiol Heart Vasc. 2021 Mar 8;33:100741. doi: 10.1016/j.ijcha.2021.100741. eCollection 2021 Apr.

Abstract

AIMS

Patients undergoing aortic valve replacement (AVR) for severe aortic stenosis have a 6-16% prevalence of occult cardiac amyloidosis. Carpal tunnel syndrome (CTS) is common in cardiac amyloidosis, but whether prior CTS surgery has a prognostic impact in patients undergoing AVR is unknown. This study examined the association between prior CTS surgery and adverse cardiovascular outcomes in patients treated with AVR.

METHODS AND RESULTS

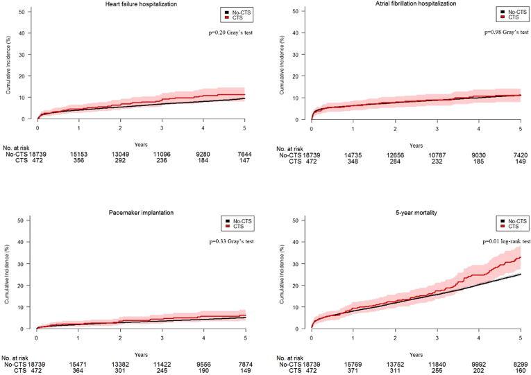
Using Danish nationwide registries, we retrospectively identified patients undergoing first-time AVR from 2005 to 2018, examining the association between previous CTS and adverse cardiovascular outcomes the following 5 years after the AVR procedure. Cumulative incidence functions and adjusted Cox proportional hazard models were used to assess differences. Among 19,211 patients undergoing AVR, 2.5% (n = 472) had prior CTS surgery. Patients in the CTS-cohort were significantly older (median age 75.7 [IQR 68.1-82.3] vs 73.7 [IQR 66.0-79.6]), more often female and had more comorbidities. Prior CTS surgery was not associated with differences in hospitalization for heart failure (11.2% [95% CI 8.3-14.7] vs 9.4% [95% CI 9.0-9.9]), atrial fibrillation (11.1% [95% CI 8.2-14.5] vs 11.2% [95% CI 10.8-11.7]) or pacemaker implantation (6.2% [95% CI 4.0-9.0] vs 5.1% [95% CI 4.8-5.5]). The 5-year mortality (32.8% [27.6-38.0] vs 25.2% [24.5-25.9]) was higher in the CTS-cohort. CTS was significantly associated with increased 5-year mortality (HR 1.27 [1.05-1.53]) in crude models, however, after multivariable adjustment prior CTS surgery was not associated with adverse cardiovascular outcomes.

CONCLUSION

Previous CTS surgery was not associated with increased risk for adverse cardiovascular outcomes after AVR.

摘要

目的

因严重主动脉瓣狭窄接受主动脉瓣置换术(AVR)的患者中,隐匿性心脏淀粉样变性的患病率为6%-16%。腕管综合征(CTS)在心脏淀粉样变性中很常见,但既往CTS手术对接受AVR患者的预后是否有影响尚不清楚。本研究探讨了既往CTS手术与接受AVR治疗患者不良心血管结局之间的关联。

方法与结果

利用丹麦全国性登记系统,我们回顾性识别了2005年至2018年接受首次AVR的患者,研究既往CTS与AVR术后接下来5年不良心血管结局之间的关联。采用累积发病率函数和校正后的Cox比例风险模型评估差异。在19211例接受AVR的患者中,2.5%(n = 472)曾接受过CTS手术。CTS队列中的患者年龄显著更大(中位年龄75.7[四分位间距68.1-82.3]对73.7[四分位间距66.0-79.6]),女性更多,合并症更多。既往CTS手术与心力衰竭住院率(11.2%[95%置信区间8.3-14.7]对9.4%[95%置信区间9.0-9.9])、心房颤动(11.1%[95%置信区间8.2-14.5]对11.2%[95%置信区间10.8-11.7])或起搏器植入率(6.2%[95%置信区间4.0-9.0]对5.1%[95%置信区间4.8-5.5])的差异无关。CTS队列的5年死亡率(32.8%[27.6-38.0]对25.2%[24.5-25.9])更高。在粗模型中,CTS与5年死亡率增加显著相关(风险比1.27[1.05-1.53]),然而,多变量调整后,既往CTS手术与不良心血管结局无关。

结论

既往CTS手术与AVR术后不良心血管结局风险增加无关。

https://cdn.ncbi.nlm.nih.gov/pmc/blobs/5ec0/7944045/d3d40910d52a/gr1.jpg

文献AI研究员

20分钟写一篇综述,助力文献阅读效率提升50倍。

立即体验

用中文搜PubMed

大模型驱动的PubMed中文搜索引擎

马上搜索

文档翻译

学术文献翻译模型,支持多种主流文档格式。

立即体验