Suppr超能文献

耕作和灌溉增加了石灰结核黑土中深层土壤小麦根系和籽粒产量。

Tillage and irrigation increase wheat root systems at deep soil layer and grain yields in lime concretion black soil.

机构信息

Agronomy College of Henan Agricultural University, #15 Longzihu College District, Zhengzhou, 450046, China.

National Engineering Research Centre for Wheat, #15 Longzihu College District, Zhengzhou, 450046, China.

出版信息

Sci Rep. 2021 Mar 18;11(1):6394. doi: 10.1038/s41598-021-85588-6.

Abstract

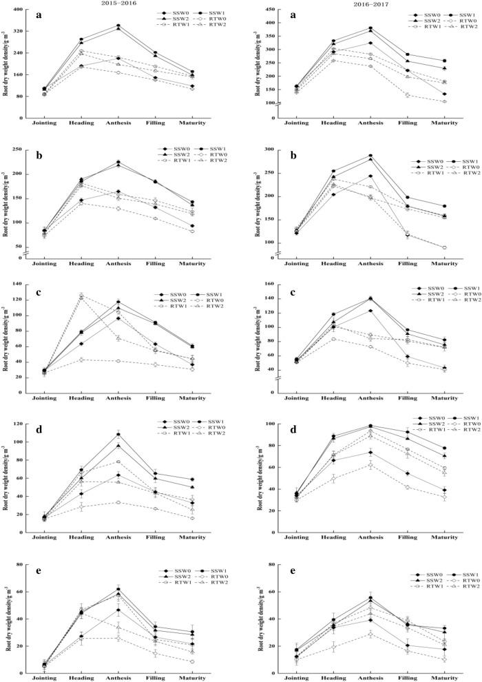
In lime concretion black soil, a two-factor (tillage and irrigation) split block experiment from 2015 to 2017 was conducted to identify whether their combination is suitable for the improvement of winter wheat yield and water use efficiency. The main treatments were subsoiling (SS) and rotary tillage (RT), with secondary treatments of three irrigation regimes: no irrigation during the whole growth period (W0), irrigation at jointing stage (W1), and irrigation at both jointing and anthesis stages (W2). In combination with a soil column experiment, the contribution of the root system in different soil layers to yield was clarified. The results indicated that both tillage and irrigation significantly influenced the spatiotemporal distributions of the root systems and yield components, while tillage produced the strongest effect. Compared with RT, SS significantly promoted the root penetration and delayed root senescence in deep soil layers. With increasing soil depth, each root configuration parameter (dry root weight density, DRWD; root length density, RLD; root surface area per unit area, RSA; root volume per unit area, RV) gradually decreased, and the peak appearance times of each root parameter in RT and three parameters (RLD, RSA and RV) in SS were postponed from heading to anthesis and from anthesis to filling stage, respectively. The average post-peak attenuation values at soil layers from 60 to 100 cm in W1 were less than those in W0 and W2. SSW1 generated the highest grain yields, with an average increase of 31.88% compared with the yield in RTW0. Root systems at three soil layers (0-40 cm, 40-80 cm and below 80 cm) differentially contributed to grain yields with 78.32%, 12.09% and 9.59%, respectively. The growth peak of the deep root system in SSW1 was postponed to the filling stage, and the post-peak attenuation declining rates were also slowed. Therefore, SSW1 is an effective cultivation method improving grain yields and water use efficiency in lime concretion black soil.

摘要

在石灰结核黑土上,2015 年至 2017 年进行了一项两因素(耕作和灌溉)裂区试验,以确定它们的组合是否适合提高冬小麦的产量和水分利用效率。主要处理为深松(SS)和旋耕(RT),其次处理为三种灌溉制度:整个生育期不灌溉(W0)、拔节期灌溉(W1)和拔节期与开花期灌溉(W2)。结合土柱试验,阐明了不同土层根系对产量的贡献。结果表明,耕作和灌溉对根系时空分布和产量构成因素均有显著影响,而耕作的影响最大。与 RT 相比,SS 显著促进了深土层的根系穿透和延缓了根系衰老。随着土壤深度的增加,各根系构型参数(干根重密度、DRWD;根长密度、RLD;单位面积根表面积、RSA;单位面积根体积、RV)逐渐减小,在 RT 中,各根系参数的峰值出现时间分别从抽穗期推迟到开花期,在 SS 中,三个参数(RLD、RSA 和 RV)的峰值出现时间分别从开花期推迟到灌浆期。在 W1 条件下,从 60 到 100 cm 土层的平均峰值后衰减值小于 W0 和 W2 的值。SSW1 的产量最高,与 RTW0 相比,平均增产 31.88%。三个土层(0-40 cm、40-80 cm 和 80 cm 以下)的根系对产量的贡献分别为 78.32%、12.09%和 9.59%。SSW1 深根系的生长高峰推迟到灌浆期,峰值后衰减率也减缓。因此,SSW1 是提高石灰结核黑土区冬小麦产量和水分利用效率的有效栽培方法。

https://cdn.ncbi.nlm.nih.gov/pmc/blobs/0217/7973502/c364ad07f48d/41598_2021_85588_Fig1_HTML.jpg

文献AI研究员

20分钟写一篇综述,助力文献阅读效率提升50倍。

立即体验

用中文搜PubMed

大模型驱动的PubMed中文搜索引擎

马上搜索

文档翻译

学术文献翻译模型,支持多种主流文档格式。

立即体验