• 文献检索
  • 文档翻译
  • 深度研究
  • 学术资讯
  • Suppr Zotero 插件Zotero 插件
  • 邀请有礼
  • 套餐&价格
  • 历史记录
应用&插件
Suppr Zotero 插件Zotero 插件浏览器插件Mac 客户端Windows 客户端微信小程序
定价
高级版会员购买积分包购买API积分包
服务
文献检索文档翻译深度研究API 文档MCP 服务
关于我们
关于 Suppr公司介绍联系我们用户协议隐私条款
关注我们

Suppr 超能文献

核心技术专利:CN118964589B侵权必究
粤ICP备2023148730 号-1Suppr @ 2026

文献检索

告别复杂PubMed语法,用中文像聊天一样搜索,搜遍4000万医学文献。AI智能推荐,让科研检索更轻松。

立即免费搜索

文件翻译

保留排版,准确专业,支持PDF/Word/PPT等文件格式,支持 12+语言互译。

免费翻译文档

深度研究

AI帮你快速写综述,25分钟生成高质量综述,智能提取关键信息,辅助科研写作。

立即免费体验

接受新辅助化疗后达到完全病理缓解的乳腺癌患者肿瘤分子亚型、临床分期与腋窝病理反应之间的关联:对腋窝手术降阶梯治疗的潜在意义

Association between tumor molecular subtype, clinical stage and axillary pathological response in breast cancer patients undergoing complete pathological remission after neoadjuvant chemotherapy: potential implications for de-escalation of axillary surgery.

作者信息

Hong Jin, Tong Yiwei, He Jianrong, Chen Xiaosong, Shen Kunwei

机构信息

Department of General Surgery, Comprehensive Breast Health Center, Ruijin Hospital, Shanghai Jiao Tong University School of Medicine, Shanghai, China.

Comprehensive Breast Health Center, Ruijin Hospital, Shanghai Jiao Tong University School of Medicine, 197 Ruijin Er Road, Shanghai 200025, China.

出版信息

Ther Adv Med Oncol. 2021 Feb 26;13:1758835921996673. doi: 10.1177/1758835921996673. eCollection 2021.

DOI:10.1177/1758835921996673
PMID:33737963
原文链接:https://pmc.ncbi.nlm.nih.gov/articles/PMC7934036/
Abstract

BACKGROUND

Axillary node status is used in clinical practice to guide the selection of axillary surgery in breast cancer patients. However, to date, the optimal axillary management following neoadjuvant therapy (NAT) for breast cancer remains controversial. Our study aimed to investigate the association of molecular subtype, clinical stage, and ypN status after NAT in breast cancer patients, especially those achieving breast pathological complete remission (pCR).

PATIENTS AND METHODS

Patients receiving ⩾4 cycles of NAT were retrospectively included between January 2009 and January 2020. ypN status was compared among patients with different breast pCR statuses, clinical stages, and molecular subtypes in univariate and multivariate analyses.

RESULTS

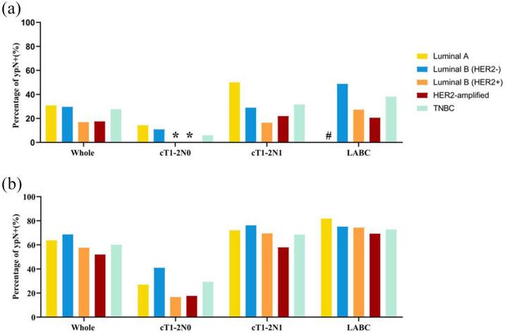
A total of 1999 patients were included: 457 (22.86%), 884 (44.22%), and 658 (32.92%) patients with cT1-2N0, cT1-2N1, and locally advanced breast cancer (LABC), respectively. Altogether, 435 (21.8%) patients achieved breast pCR: 331 with ypN- and 104 with ypN+ status. Patients achieving breast pCR had a significantly lower ypN+ rate than those without pCR [23.9% 62.5%, odds ratio (OR) = 0.14, 95% confidence interval (CI) = 0.09-0.21]. For patients with breast pCR, the ypN+ rate was 6.4%, 25.7%, and 33.9% in cT1-2N0, cT1-2N1, and LABC patients, respectively ( < 0.001). Furthermore, the ypN+ rate was 30.8%, 16.8%, 17.5%, 29.6%, and 27.6% in breast pCR patients with the Luminal A, Luminal B (HER2+), HER2-amplified, Luminal B (HER2-), and triple-negative subtype, respectively. Luminal B (HER2+) (OR = 0.20, 95% CI = 0.05-0.82) and HER2-amplified (OR = 0.19, 95% CI = 0.05-0.83) tumors were associated with lower ypN+ rates. Moreover, 100% of breast pCR patients with cT1-2N0 and HER2-positive disease achieved pathological pN0.

CONCLUSION

In breast pCR patients after NAT, clinical stage and molecular subtype were significantly associated with ypN status. Patients with cT1-2N0 and HER2-positive disease who achieved breast pCR had a very low ypN+ rate, possibly indicating the possibility for de-escalation of axillary surgery in this patient subgroup.

摘要

背景

腋窝淋巴结状态在临床实践中用于指导乳腺癌患者腋窝手术的选择。然而,迄今为止,乳腺癌新辅助治疗(NAT)后的最佳腋窝管理仍存在争议。我们的研究旨在调查乳腺癌患者NAT后的分子亚型、临床分期和ypN状态之间的关联,尤其是那些实现乳腺病理完全缓解(pCR)的患者。

患者与方法

回顾性纳入2009年1月至2020年1月期间接受≥4周期NAT的患者。在单因素和多因素分析中,比较不同乳腺pCR状态、临床分期和分子亚型患者的ypN状态。

结果

共纳入1999例患者:cT1-2N0、cT1-2N1和局部晚期乳腺癌(LABC)患者分别为457例(22.86%)、884例(44.22%)和658例(32.92%)。共有435例(21.8%)患者实现乳腺pCR:331例ypN-状态和104例ypN+状态。实现乳腺pCR的患者ypN+率显著低于未实现pCR的患者[23.9%对62.5%,比值比(OR)=0.14,95%置信区间(CI)=0.09-0.21]。对于乳腺pCR患者,cT1-2N0、cT1-2N1和LABC患者的ypN+率分别为6.4%、25.7%和33.9%(P<0.001)。此外,Luminal A、Luminal B(HER2+)、HER2扩增、Luminal B(HER2-)和三阴性亚型的乳腺pCR患者的ypN+率分别为30.8%、16.8%、17.5%、29.6%和27.6%。Luminal B(HER2+)(OR=0.20,95%CI=0.05-0.82)和HER2扩增(OR=0.19,95%CI=0.05-0.83)肿瘤与较低的ypN+率相关。此外,cT1-2N0且HER2阳性疾病的乳腺pCR患者100%实现病理pN0。

结论

在NAT后的乳腺pCR患者中,临床分期和分子亚型与ypN状态显著相关。cT1-2N0且HER2阳性疾病且实现乳腺pCR的患者ypN+率非常低,这可能表明该患者亚组有腋窝手术降阶梯的可能性。

https://cdn.ncbi.nlm.nih.gov/pmc/blobs/daa2/7934036/85fa51e26215/10.1177_1758835921996673-fig2.jpg
https://cdn.ncbi.nlm.nih.gov/pmc/blobs/daa2/7934036/e7aa5f0e08c7/10.1177_1758835921996673-fig1.jpg
https://cdn.ncbi.nlm.nih.gov/pmc/blobs/daa2/7934036/85fa51e26215/10.1177_1758835921996673-fig2.jpg
https://cdn.ncbi.nlm.nih.gov/pmc/blobs/daa2/7934036/e7aa5f0e08c7/10.1177_1758835921996673-fig1.jpg
https://cdn.ncbi.nlm.nih.gov/pmc/blobs/daa2/7934036/85fa51e26215/10.1177_1758835921996673-fig2.jpg

相似文献

1
Association between tumor molecular subtype, clinical stage and axillary pathological response in breast cancer patients undergoing complete pathological remission after neoadjuvant chemotherapy: potential implications for de-escalation of axillary surgery.接受新辅助化疗后达到完全病理缓解的乳腺癌患者肿瘤分子亚型、临床分期与腋窝病理反应之间的关联:对腋窝手术降阶梯治疗的潜在意义
Ther Adv Med Oncol. 2021 Feb 26;13:1758835921996673. doi: 10.1177/1758835921996673. eCollection 2021.
2
Association of Low Nodal Positivity Rate Among Patients With ERBB2-Positive or Triple-Negative Breast Cancer and Breast Pathologic Complete Response to Neoadjuvant Chemotherapy.ERBB2 阳性或三阴性乳腺癌患者低淋巴结阳性率与新辅助化疗后乳腺病理完全缓解的相关性。
JAMA Surg. 2018 Dec 1;153(12):1120-1126. doi: 10.1001/jamasurg.2018.2696.
3
Prognostic value of pathological nodal burden after neoadjuvant chemotherapy in initially cN0-1 breast cancer patients: a dual-center, 10-year survival analysis.新辅助化疗后初始cN0-1期乳腺癌患者病理淋巴结负荷的预后价值:一项双中心、10年生存分析
Ther Adv Med Oncol. 2024 May 6;16:17588359241248318. doi: 10.1177/17588359241248318. eCollection 2024.
4
The nodal positivity rate in breast pCR patients with initially, clinically node-negative breast cancer after neoadjuvant systemic therapy: A systematic review and meta-analysis.新辅助全身治疗后初始临床淋巴结阴性乳腺癌的乳腺pCR患者的淋巴结阳性率:一项系统评价和荟萃分析。
Front Oncol. 2023 Mar 29;13:1167912. doi: 10.3389/fonc.2023.1167912. eCollection 2023.
5
Association of Tumor Molecular Subtype and Stage with Breast and Axillary Pathologic Complete Response After Neoadjuvant Chemotherapy for Breast Cancer.肿瘤分子亚型和分期与乳腺癌新辅助化疗后乳腺和腋窝病理完全缓解的相关性。
Ann Surg Oncol. 2021 Dec;28(13):8636-8642. doi: 10.1245/s10434-021-10195-8. Epub 2021 Jun 17.
6
Prognostic Importance of Axillary Lymph Node Response to Neoadjuvant Systemic Therapy on Axillary Surgery in Breast Cancer-A Single Center Experience.腋窝淋巴结对乳腺癌新辅助全身治疗的反应在腋窝手术中的预后重要性——单中心经验
Cancers (Basel). 2024 Mar 27;16(7):1306. doi: 10.3390/cancers16071306.
7
Postmastectomy Radiotherapy After Neoadjuvant Chemotherapy in cTN Breast Cancer Patients: A Single Center Experience and Review of Current Literature.cTN 期乳腺癌患者新辅助化疗后乳房切除术后放疗:单中心经验及当前文献综述
Front Oncol. 2022 May 17;12:881047. doi: 10.3389/fonc.2022.881047. eCollection 2022.
8
Axillary lymph node status, adjusted for pathologic complete response in breast and axilla after neoadjuvant chemotherapy, predicts differential disease-free survival in breast cancer.新辅助化疗后腋窝淋巴结状态(经病理完全缓解调整)预测乳腺癌的无病生存差异。
Curr Oncol. 2013 Jun;20(3):e180-92. doi: 10.3747/co.20.1294.
9
The impact of postmastectomy and regional nodal radiation after neoadjuvant chemotherapy for clinically lymph node-positive breast cancer: a National Cancer Database (NCDB) analysis.新辅助化疗后乳腺癌临床淋巴结阳性患者行乳房切除术和区域淋巴结放疗的影响:国家癌症数据库(NCDB)分析。
Ann Oncol. 2016 May;27(5):818-27. doi: 10.1093/annonc/mdw046. Epub 2016 Feb 9.
10
Predictive Factors and Value of ypN+ after Neoadjuvant Chemotherapy in Clinically Lymph Node-Negative Breast Cancer.
PLoS One. 2016 Sep 15;11(9):e0162616. doi: 10.1371/journal.pone.0162616. eCollection 2016.

引用本文的文献

1
Dismal pathological response to neoadjuvant chemotherapy in stage III breast cancer patients in Tanzania: A retrospective review.坦桑尼亚III期乳腺癌患者对新辅助化疗的病理反应不佳:一项回顾性研究。
PLoS One. 2025 Apr 23;20(4):e0321187. doi: 10.1371/journal.pone.0321187. eCollection 2025.
2
Disease extent according to baseline [18F]fluorodeoxyglucose PET/CT and molecular subtype: prediction of axillary treatment response after neoadjuvant systemic therapy for breast cancer.根据基线 [18F]氟脱氧葡萄糖正电子发射断层扫描/计算机断层扫描和分子亚型评估疾病程度:新辅助全身治疗后乳腺癌腋窝治疗反应的预测。
Br J Surg. 2024 Aug 30;111(9). doi: 10.1093/bjs/znae203.
3

本文引用的文献

1
Oncologic Outcomes of Sentinel Lymph Node Surgery After Neoadjuvant Chemotherapy for Node-Positive Breast Cancer.新辅助化疗后前哨淋巴结活检术治疗阳性淋巴结乳腺癌的肿瘤学结局。
Ann Surg Oncol. 2020 Nov;27(12):4795-4801. doi: 10.1245/s10434-020-08900-0. Epub 2020 Aug 10.
2
Surgical Management of the Axilla in Clinically Node-Positive Patients Receiving Neoadjuvant Chemotherapy: A National Cancer Database Analysis.接受新辅助化疗的临床淋巴结阳性患者腋窝的外科处理:国家癌症数据库分析。
Ann Surg Oncol. 2019 Oct;26(11):3517-3525. doi: 10.1245/s10434-019-07583-6. Epub 2019 Jul 24.
3
Patterns in the Use of Axillary Operations for Patients with Node-Positive Breast Cancer After Neoadjuvant Chemotherapy: A National Cancer Database (NCDB) Analysis.
Prognostic Importance of Axillary Lymph Node Response to Neoadjuvant Systemic Therapy on Axillary Surgery in Breast Cancer-A Single Center Experience.
腋窝淋巴结对乳腺癌新辅助全身治疗的反应在腋窝手术中的预后重要性——单中心经验
Cancers (Basel). 2024 Mar 27;16(7):1306. doi: 10.3390/cancers16071306.
4
Localised breast cancer: neoadjuvant chemotherapy impact evaluation on the pathological complete response (PCR) in a lower middle-income country.局部乳腺癌:新辅助化疗对一个中低收入国家病理完全缓解(PCR)的影响评估
Ecancermedicalscience. 2023 Dec 15;17:1648. doi: 10.3332/ecancer.2023.1648. eCollection 2023.
5
Unveiling the Power of Anticancer Drug Screening: A Clinical Case Study Comparing the Effectiveness of Hollow Fiber Assay Microtube Array Membrane (MTAM-HFA) in Breast Cancer Patients.揭示抗癌药物筛选的力量:一项比较中空纤维测定微管阵列膜(MTAM-HFA)在乳腺癌患者中有效性的临床案例研究。
Cancers (Basel). 2023 May 15;15(10):2764. doi: 10.3390/cancers15102764.
6
The nodal positivity rate in breast pCR patients with initially, clinically node-negative breast cancer after neoadjuvant systemic therapy: A systematic review and meta-analysis.新辅助全身治疗后初始临床淋巴结阴性乳腺癌的乳腺pCR患者的淋巴结阳性率:一项系统评价和荟萃分析。
Front Oncol. 2023 Mar 29;13:1167912. doi: 10.3389/fonc.2023.1167912. eCollection 2023.
7
Age-adjusted Charlson comorbidity index predicts postoperative mortality in elderly patients with hip fracture: A prospective cohort.年龄校正的Charlson合并症指数可预测老年髋部骨折患者的术后死亡率:一项前瞻性队列研究。
Front Med (Lausanne). 2023 Mar 7;10:1066145. doi: 10.3389/fmed.2023.1066145. eCollection 2023.
8
Accuracy of ultrasonographic changes during neoadjuvant chemotherapy to predict axillary lymph node response in clinical node-positive breast cancer patients.新辅助化疗期间超声检查变化预测临床淋巴结阳性乳腺癌患者腋窝淋巴结反应的准确性
Front Oncol. 2022 Jul 22;12:845823. doi: 10.3389/fonc.2022.845823. eCollection 2022.
9
Smart Nanoparticles for Breast Cancer Treatment Based on the Tumor Microenvironment.基于肿瘤微环境的用于乳腺癌治疗的智能纳米颗粒
Front Oncol. 2022 May 26;12:907684. doi: 10.3389/fonc.2022.907684. eCollection 2022.
10
Nonspecific ST-Segment and T-Wave (NS-STT) on Electrocardiogram is Associated with Increasing the Incidence of Perioperative Deep Vein Thrombosis in Patients with Lower Extremity Fracture Under 75 Years Old.心电图非特异性ST段和T波改变与75岁以下下肢骨折患者围手术期深静脉血栓形成发生率增加有关。
Int J Gen Med. 2021 Nov 23;14:8631-8641. doi: 10.2147/IJGM.S335243. eCollection 2021.
新辅助化疗后腋窝手术治疗阳性淋巴结乳腺癌患者的应用模式:国家癌症数据库(NCDB)分析。
Ann Surg Oncol. 2019 Oct;26(10):3305-3311. doi: 10.1245/s10434-019-07540-3. Epub 2019 Jul 24.
4
Neo-adjuvant chemotherapy and axillary de-escalation management for patients with clinically node-negative breast cancer.新辅助化疗和临床淋巴结阴性乳腺癌的腋窝降阶管理。
Breast J. 2019 Nov;25(6):1154-1159. doi: 10.1111/tbj.13422. Epub 2019 Jul 22.
5
Prediction of axillary pathologic response with breast pathologic complete response after neoadjuvant chemotherapy.新辅助化疗后乳腺病理完全缓解对腋窝病理反应的预测。
Breast Cancer Res Treat. 2019 Aug;176(3):591-596. doi: 10.1007/s10549-019-05214-y. Epub 2019 May 7.
6
Correlation Between Pathologic Complete Response in the Breast and Absence of Axillary Lymph Node Metastases After Neoadjuvant Systemic Therapy.新辅助全身治疗后乳腺病理完全缓解与腋窝淋巴结无转移的相关性。
Ann Surg. 2020 Mar;271(3):574-580. doi: 10.1097/SLA.0000000000003126.
7
Meta-analysis of sentinel lymph node biopsy after neoadjuvant chemotherapy in patients with initial biopsy-proven node-positive breast cancer.新辅助化疗后初始活检阳性乳腺癌患者前哨淋巴结活检的荟萃分析。
Br J Surg. 2018 Nov;105(12):1541-1552. doi: 10.1002/bjs.10986.
8
Association of Low Nodal Positivity Rate Among Patients With ERBB2-Positive or Triple-Negative Breast Cancer and Breast Pathologic Complete Response to Neoadjuvant Chemotherapy.ERBB2 阳性或三阴性乳腺癌患者低淋巴结阳性率与新辅助化疗后乳腺病理完全缓解的相关性。
JAMA Surg. 2018 Dec 1;153(12):1120-1126. doi: 10.1001/jamasurg.2018.2696.
9
Impact of Neoadjuvant Chemotherapy on Nodal Disease and Nodal Surgery by Tumor Subtype.新辅助化疗对肿瘤亚型的淋巴结疾病和淋巴结手术的影响。
Ann Surg Oncol. 2018 Feb;25(2):482-493. doi: 10.1245/s10434-017-6263-y. Epub 2017 Nov 27.
10
Pathologic Complete Response After Neoadjuvant Chemotherapy and Long-Term Outcomes Among Young Women With Breast Cancer.新辅助化疗后病理完全缓解与年轻乳腺癌女性的长期结局。
J Natl Compr Canc Netw. 2017 Oct;15(10):1216-1223. doi: 10.6004/jnccn.2017.0158.