Suppr超能文献

轻度认知障碍的神经精神特征及向痴呆的转化:潜在类别分析。

Neuropsychiatric profiles and conversion to dementia in mild cognitive impairment, a latent class analysis.

机构信息

Research Center and Memory Clinic, Fundació ACE, Barcelona Alzheimer Treatment and Research Centre, Institut Català de Neurociències Aplicades, Universitat Internacional de Catalunya (UIC) - Barcelona, Gran Vía Carles III, 85 bis, bajos, 08028, Barcelona, Spain.

Department of Psychiatry and Forensic Medicine, Universitat Autònoma de Barcelona (UAB), Barcelona, Spain.

出版信息

Sci Rep. 2021 Mar 19;11(1):6448. doi: 10.1038/s41598-021-83126-y.

Abstract

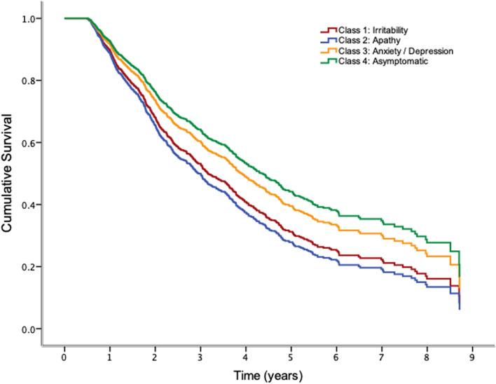
Neuropsychiatric symptoms (NPS) have been recently addressed as risk factors of conversion to Alzheimer's disease (AD) and other dementia types in patients diagnosed with Mild Cognitive Impairment (MCI). Our aim was to determine profiles based on the prominent NPS in MCI patients and to explore the predictive value of these profiles on conversion to specific types of dementia. A total of 2137 MCI patients monitored in a memory clinic were included in the study. Four NPS profiles emerged (classes), which were defined by preeminent symptoms: Irritability, Apathy, Anxiety/Depression and Asymptomatic. Irritability and Apathy were predictors of conversion to dementia (HR = 1.43 and 1.56, respectively). Anxiety/depression class showed no risk effect of conversion when compared to Asymptomatic class. Irritability class appeared as the most discriminant neuropsychiatric condition to identify non-AD converters (i.e., frontotemporal dementia, vascular dementia, Parkinson's disease and dementia with Lewy Bodies). The findings revealed that consistent subgroups of MCI patients could be identified among comorbid basal NPS. The preeminent NPS showed to behave differentially on conversion to dementia, beyond AD. Therefore, NPS should be used as early diagnosis facilitators, and should also guide clinicians to detect patients with different illness trajectories in the progression of MCI.

摘要

神经精神症状 (NPS) 最近被认为是轻度认知障碍 (MCI) 患者转化为阿尔茨海默病 (AD) 和其他痴呆类型的危险因素。我们的目的是确定 MCI 患者中以突出 NPS 为特征的患者,并探讨这些特征对转化为特定类型痴呆的预测价值。共有 2137 名在记忆诊所监测的 MCI 患者被纳入研究。出现了四个 NPS 特征(类别),由突出的症状定义:易激惹、冷漠、焦虑/抑郁和无症状。易激惹和冷漠是向痴呆转化的预测因素(HR=1.43 和 1.56)。与无症状类别相比,焦虑/抑郁类别没有转换风险。易激惹类别被认为是识别非 AD 转化者(即额颞叶痴呆、血管性痴呆、帕金森病和路易体痴呆)的最具鉴别力的神经精神状况。研究结果表明,在合并的基础 NPS 中可以识别出 MCI 患者的一致亚组。突出的 NPS 在向痴呆转化方面表现出不同的行为,不仅仅是 AD。因此,NPS 应该作为早期诊断的辅助手段,还应该指导临床医生检测 MCI 进展过程中具有不同疾病轨迹的患者。

https://cdn.ncbi.nlm.nih.gov/pmc/blobs/38c8/7979780/c0e6bc7b1c7e/41598_2021_83126_Fig1_HTML.jpg

文献检索

告别复杂PubMed语法,用中文像聊天一样搜索,搜遍4000万医学文献。AI智能推荐,让科研检索更轻松。

立即免费搜索

文件翻译

保留排版,准确专业,支持PDF/Word/PPT等文件格式,支持 12+语言互译。

免费翻译文档

深度研究

AI帮你快速写综述,25分钟生成高质量综述,智能提取关键信息,辅助科研写作。

立即免费体验