• 文献检索
  • 文档翻译
  • 深度研究
  • 学术资讯
  • Suppr Zotero 插件Zotero 插件
  • 邀请有礼
  • 套餐&价格
  • 历史记录
应用&插件
Suppr Zotero 插件Zotero 插件浏览器插件Mac 客户端Windows 客户端微信小程序
定价
高级版会员购买积分包购买API积分包
服务
文献检索文档翻译深度研究API 文档MCP 服务
关于我们
关于 Suppr公司介绍联系我们用户协议隐私条款
关注我们

Suppr 超能文献

核心技术专利:CN118964589B侵权必究
粤ICP备2023148730 号-1Suppr @ 2026

文献检索

告别复杂PubMed语法,用中文像聊天一样搜索,搜遍4000万医学文献。AI智能推荐,让科研检索更轻松。

立即免费搜索

文件翻译

保留排版,准确专业,支持PDF/Word/PPT等文件格式,支持 12+语言互译。

免费翻译文档

深度研究

AI帮你快速写综述,25分钟生成高质量综述,智能提取关键信息,辅助科研写作。

立即免费体验

格拉斯哥预后评分对晚期非小细胞肺癌患者总生存期的预后价值

Prognostic Value of the Glasgow Prognostic Score on Overall Survival in patients with Advanced Non-Small Cell Lung Cancer.

作者信息

Pan Mingmei, Zhao Yun, He Jianbo, Wu Huanqiong, Pan Yujia, Yu Qitao, Zhou Shaozhang

机构信息

College of Oncology, Guangxi Medical University, No.22 Shuangyong Road, 530021, Nanning City, Guangxi Zhuang Autonomous Region, China.

Department of Respiratory Oncology, Guangxi Medical University Affiliated Tumor Hospital, No.71 Heti Road, 530021, Nanning City, Guangxi Zhuang Autonomous Region, China.

出版信息

J Cancer. 2021 Mar 1;12(8):2395-2402. doi: 10.7150/jca.52215. eCollection 2021.

DOI:10.7150/jca.52215
PMID:33758615
原文链接:https://pmc.ncbi.nlm.nih.gov/articles/PMC7974889/
Abstract

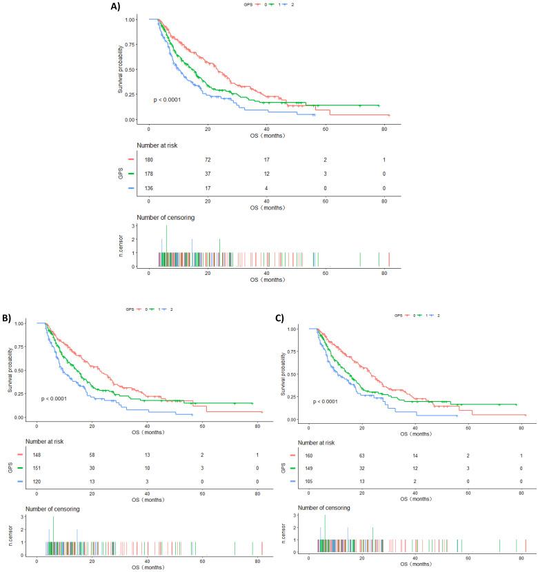
Findings from previous studies regarding the association between the Glasgow Prognostic Score (GPS) and overall survival (OS) of patients with advanced non-small cell lung cancer (NSCLC) were limited. This study aimed to investigate the prognostic value of GPS in patients with advanced NSCLC after adjusting for potential confounding factors. A retrospective cohort study was conducted in 494 patients with advanced NSCLC between 2009 and 2019. Clinicopathological characteristics (including GPS) were analyzed to determine predictors of OS using univariate and multivariate Cox proportional hazards models. Survival curves were estimated using the Kaplan-Meier method. Of the enrolled patients with advanced NSCLC, 66.46% were men and 53.85% were aged <60 years. The percentages of GPS scores of 0, 1, and 2 were 36.44%, 36.03%, and 27.53%, respectively. The median OS of the GPS 0, 1, and 2 groups were 23.27, 14.37, and 10.27 months, respectively (log-rank P <0.0001). A higher GPS was independently associated with an increased risk of death (P for trend = 0.0004) after full adjustment for potential confounders. The risk of death increased by 77% in the GPS 1 group (hazard ratio [HR]=1.77, 95% confidence interval [CI]=1.22-2.57, P=0.0027) and 109% in the GPS 2 group (HR=2.09, 95%CI=1.36-3.22, P=0.0008) compared with the GPS 0 group after adjustment. We did not find significant heterogeneity among the analyzed subgroups apart from sex (P interaction=0.017). High pretreatment GPS is independently associated with worse OS in patients with advanced NSCLC. GPS should be considered in patient counseling and decision-making and needs to be further validated by large-cohort and prospective studies.

摘要

先前关于格拉斯哥预后评分(GPS)与晚期非小细胞肺癌(NSCLC)患者总生存期(OS)之间关联的研究结果有限。本研究旨在探讨在调整潜在混杂因素后GPS对晚期NSCLC患者的预后价值。对2009年至2019年间的494例晚期NSCLC患者进行了一项回顾性队列研究。分析临床病理特征(包括GPS),使用单因素和多因素Cox比例风险模型确定OS的预测因素。采用Kaplan-Meier方法估计生存曲线。在纳入的晚期NSCLC患者中,66.46%为男性,53.85%年龄<60岁。GPS评分为0、1和2的百分比分别为36.44%、36.03%和27.53%。GPS 0、1和2组的中位OS分别为23.27、14.37和10.27个月(对数秩检验P<0.0001)。在对潜在混杂因素进行充分调整后,较高的GPS与死亡风险增加独立相关(趋势P=0.0004)。与GPS 0组相比,调整后GPS 1组的死亡风险增加了77%(风险比[HR]=1.77,95%置信区间[CI]=1.22-2.57,P=0.0027),GPS 2组增加了109%(HR=2.09,95%CI=1.36-3.22,P=0.0008)。除性别外,我们在分析的亚组中未发现显著异质性(交互作用P=0.017)。治疗前高GPS与晚期NSCLC患者较差的OS独立相关。在患者咨询和决策中应考虑GPS,并且需要通过大型队列和前瞻性研究进一步验证。

https://cdn.ncbi.nlm.nih.gov/pmc/blobs/912a/7974889/fcac1e761875/jcav12p2395g002.jpg
https://cdn.ncbi.nlm.nih.gov/pmc/blobs/912a/7974889/de82cde7be9b/jcav12p2395g001.jpg
https://cdn.ncbi.nlm.nih.gov/pmc/blobs/912a/7974889/fcac1e761875/jcav12p2395g002.jpg
https://cdn.ncbi.nlm.nih.gov/pmc/blobs/912a/7974889/de82cde7be9b/jcav12p2395g001.jpg
https://cdn.ncbi.nlm.nih.gov/pmc/blobs/912a/7974889/fcac1e761875/jcav12p2395g002.jpg

相似文献

1
Prognostic Value of the Glasgow Prognostic Score on Overall Survival in patients with Advanced Non-Small Cell Lung Cancer.格拉斯哥预后评分对晚期非小细胞肺癌患者总生存期的预后价值
J Cancer. 2021 Mar 1;12(8):2395-2402. doi: 10.7150/jca.52215. eCollection 2021.
2
Glasgow prognostic score predicts efficacy and prognosis in patients with advanced non-small cell lung cancer receiving EGFR-TKI treatment.格拉斯哥预后评分可预测晚期非小细胞肺癌患者接受 EGFR-TKI 治疗的疗效和预后。
Thorac Cancer. 2020 Aug;11(8):2188-2195. doi: 10.1111/1759-7714.13526. Epub 2020 Jun 3.
3
Pretreatment Glasgow prognostic score predicts survival among patients with high PD-L1 expression administered first-line pembrolizumab monotherapy for non-small cell lung cancer.预处理格拉斯哥预后评分预测 PD-L1 高表达患者接受一线帕博利珠单抗单药治疗非小细胞肺癌的生存情况。
Cancer Med. 2021 Oct;10(20):6971-6984. doi: 10.1002/cam4.4220. Epub 2021 Aug 20.
4
A comprehensive analysis of Glasgow Prognostic Score (GPS)/the modified Glasgow Prognostic Score (mGPS) on immune checkpoint inhibitor efficacy among patients with advanced cancer.全面分析格拉斯哥预后评分(GPS)/改良的格拉斯哥预后评分(mGPS)对晚期癌症患者免疫检查点抑制剂疗效的影响。
Cancer Med. 2023 Jan;12(1):38-48. doi: 10.1002/cam4.4940. Epub 2022 Jun 15.
5
Prognostic value of preoperative high-sensitivity modified Glasgow prognostic score in advanced colon cancer: a retrospective observational study.术前高敏改良格拉斯哥预后评分对晚期结肠癌预后的预测价值:一项回顾性观察研究。
BMC Cancer. 2022 Jan 3;22(1):20. doi: 10.1186/s12885-021-09113-8.
6
Comparison of the Glasgow Prognostic Score (GPS) and the modified Glasgow Prognostic Score (mGPS) in evaluating the prognosis of patients with operable and inoperable non-small cell lung cancer.格拉斯哥预后评分(GPS)与改良格拉斯哥预后评分(mGPS)在评估可手术和不可手术非小细胞肺癌患者预后中的比较
J Cancer Res Clin Oncol. 2016 Jun;142(6):1285-97. doi: 10.1007/s00432-015-2113-0. Epub 2016 Feb 11.
7
The relationship between Glasgow Prognostic Score and serum tumor markers in patients with advanced non-small cell lung cancer.格拉斯哥预后评分与晚期非小细胞肺癌患者血清肿瘤标志物的关系。
BMC Cancer. 2015 May 10;15:386. doi: 10.1186/s12885-015-1403-x.
8
The Glasgow Prognostic Score Predicts Survival in Patients with Advanced Non-Small Cell Lung Cancer Harboring Sensitive Epidermal Growth Factor Receptor Mutations Who Are Treated with Epidermal Growth Factor Receptor-Tyrosine Kinase Inhibitors.格拉斯哥预后评分可预测接受表皮生长因子受体酪氨酸激酶抑制剂治疗的携带敏感表皮生长因子受体突变的晚期非小细胞肺癌患者的生存情况。
Oncology. 2023;101(11):685-694. doi: 10.1159/000530809. Epub 2023 Apr 25.
9
Glasgow Prognostic Score predicts chemotherapy-triggered acute exacerbation-interstitial lung disease in patients with non-small cell lung cancer.格拉斯哥预后评分预测非小细胞肺癌患者化疗诱发的急性加重-间质性肺疾病。
Thorac Cancer. 2021 Mar;12(5):667-675. doi: 10.1111/1759-7714.13792. Epub 2021 Jan 21.
10
Prognostic Value of Glasgow Prognostic Score in Non-small Cell Lung Cancer: A Systematic Review and Meta-Analysis.格拉斯哥预后评分在非小细胞肺癌中的预后价值:系统评价和荟萃分析。
Pathol Oncol Res. 2022 Feb 15;28:1610109. doi: 10.3389/pore.2022.1610109. eCollection 2022.

引用本文的文献

1
Construction of nomogram model of poor prognosis for patients newly diagnosed with brain metastasis from non-small cell lung cancer based on clinical pathology and prognostic scores.基于临床病理和预后评分构建非小细胞肺癌脑转移新诊断患者预后不良的列线图模型
Front Oncol. 2025 Mar 7;15:1487126. doi: 10.3389/fonc.2025.1487126. eCollection 2025.
2
The association of nutritional and inflammatory biomarkers with overall survival in patients with non-small-cell lung cancer treated with immune checkpoint inhibitors.营养和炎症生物标志物与免疫检查点抑制剂治疗的非小细胞肺癌患者总生存期的关联。
Thorac Cancer. 2024 Aug;15(23):1764-1771. doi: 10.1111/1759-7714.15401. Epub 2024 Jul 19.
3

本文引用的文献

1
Systemic Inflammation-Immune Status Predicts Survival in Stage III-N2 Non-Small Cell Lung Cancer.全身炎症-免疫状态预测 III-N2 期非小细胞肺癌的生存。
Ann Thorac Surg. 2019 Dec;108(6):1701-1709. doi: 10.1016/j.athoracsur.2019.06.035. Epub 2019 Aug 7.
2
The impact of the Glasgow Prognostic Score on survival in second-line chemotherapy for metastatic colorectal cancer patients with V600E mutation.格拉斯哥预后评分对携带V600E突变的转移性结直肠癌患者二线化疗生存率的影响。
Ther Adv Med Oncol. 2019 Jan 12;11:1758835918820298. doi: 10.1177/1758835918820298. eCollection 2019.
3
Prognostic value of the Glasgow prognostic score in colorectal cancer: a meta-analysis of 9,839 patients.
Utility of neutrophil-to-lymphocyte ratio as an indicator of tumor immune status in non-small cell lung cancer.
中性粒细胞与淋巴细胞比值作为非小细胞肺癌肿瘤免疫状态指标的效用。
Jpn J Clin Oncol. 2024 Aug 14;54(8):895-902. doi: 10.1093/jjco/hyae058.
4
Comparison of three nutritional assessment methods associated with the prognostic impact of laryngeal cancer.三种营养评估方法与喉癌预后影响的比较。
Support Care Cancer. 2023 Dec 2;31(12):737. doi: 10.1007/s00520-023-08148-w.
5
Application Value of Serum Multi-Antibody Combined Detection in Differential Diagnosis and Typing of Lung Cancer.血清多抗体联合检测在肺癌鉴别诊断及分型中的应用价值
J Oncol. 2022 Jan 28;2022:8944263. doi: 10.1155/2022/8944263. eCollection 2022.
6
Pretreatment Glasgow prognostic score predicts survival among patients with high PD-L1 expression administered first-line pembrolizumab monotherapy for non-small cell lung cancer.预处理格拉斯哥预后评分预测 PD-L1 高表达患者接受一线帕博利珠单抗单药治疗非小细胞肺癌的生存情况。
Cancer Med. 2021 Oct;10(20):6971-6984. doi: 10.1002/cam4.4220. Epub 2021 Aug 20.
格拉斯哥预后评分在结直肠癌中的预后价值:对9839例患者的荟萃分析
Cancer Manag Res. 2018 Dec 24;11:229-249. doi: 10.2147/CMAR.S185350. eCollection 2019.
4
Circulating high sensitivity C reactive protein concentrations and risk of lung cancer: nested case-control study within Lung Cancer Cohort Consortium.循环高敏 C 反应蛋白浓度与肺癌风险:肺癌队列联盟内的巢式病例对照研究。
BMJ. 2019 Jan 3;364:k4981. doi: 10.1136/bmj.k4981.
5
Predictive value of inflammation-based prognostic scores in patients with metastatic renal cell carcinoma treated with cytoreductive nephrectomy.减瘤性肾切除术治疗的转移性肾细胞癌患者中基于炎症的预后评分的预测价值
Oncotarget. 2018 Feb 16;9(18):14296-14305. doi: 10.18632/oncotarget.24507. eCollection 2018 Mar 6.
6
Preoperative serum pre-albumin as an independent prognostic indicator in patients with localized upper tract urothelial carcinoma after radical nephroureterectomy.术前血清前白蛋白作为局限性上尿路尿路上皮癌患者根治性肾输尿管切除术后的独立预后指标。
Oncotarget. 2017 May 30;8(22):36772-36779. doi: 10.18632/oncotarget.13694.
7
The Prognostic Value of PLR in Lung Cancer, a Meta-analysis Based on Results from a Large Consecutive Cohort.基于大型连续队列研究结果的 PLR 在肺癌中的预后价值:一项荟萃分析。
Sci Rep. 2016 Oct 5;6:34823. doi: 10.1038/srep34823.
8
Comment on the Proposals for the Revision of the N Descriptors in the Forthcoming Eighth Edition of the TNM Classification for Lung Cancer.关于即将出版的《肺癌TNM分类》第八版中N描述符修订提案的评论。
J Thorac Oncol. 2016 Oct;11(10):1612-4. doi: 10.1016/j.jtho.2016.06.008.
9
The Glasgow Prognostic Score (GPS) is a novel prognostic indicator in advanced epithelial ovarian cancer: a multicenter retrospective study.格拉斯哥预后评分(GPS)是晚期上皮性卵巢癌的一种新型预后指标:一项多中心回顾性研究。
J Cancer Res Clin Oncol. 2016 Nov;142(11):2339-45. doi: 10.1007/s00432-016-2228-y. Epub 2016 Aug 26.
10
Value of the Glasgow Prognostic Score as a Prognostic Factor in Resectable Non-Small Cell Lung Cancer.格拉斯哥预后评分在可切除非小细胞肺癌中的预后价值。
J Thorac Oncol. 2016 Aug;11(8):1311-1318. doi: 10.1016/j.jtho.2016.04.029. Epub 2016 May 24.