Suppr超能文献

一种用于研究细颗粒物、足月低出生体重以及种族/民族差异的分位数回归方法。

A quantile regression approach to examine fine particles, term low birth weight, and racial/ethnic disparities.

作者信息

Schwarz Lara, Bruckner Tim, Ilango Sindana D, Sheridan Paige, Basu Rupa, Benmarhnia Tarik

机构信息

School of Public Health, San Diego State University, San Diego, California.

Department of Family Medicine and Public Health University of California, San Diego, California.

出版信息

Environ Epidemiol. 2019 Jul 11;3(4):e060. doi: 10.1097/EE9.0000000000000060. eCollection 2019 Aug.

Abstract

BACKGROUND

Exposure to fine particulate matter (PM) during pregnancy has been shown to be associated with reduced birth weight and racial/ethnic minorities have been found to be more vulnerable. Previous studies have focused on the mean value of birth weight associated with PM, which may mask meaningful differences. We applied a quantile regression approach to investigate the variation by percentile of birth weight and compared non-Hispanic (NH) Black, NH White, and Hispanic mothers.

METHODS

Data for singleton births in California from October 24, 2005 to February 27, 2010 were collected from the birth records accessed from the California Department of Public Health. Air pollution monitoring data collected by the California Air Resources Board and interpolated for each zip code using an inverse-distance weighting approach, and linked to maternal zip code of residence reported on the birth certificate. Multilevel linear regression models were conducted with mother's residential zip code tabulation area as a random effect. Multilevel quantile regression models were used to analyze the association at different percentiles of birth weight (5th, 10th, 25th, 50th, 75th, 90th, 95th), as well as examine the heterogeneity in this association between racial/ethnic groups.

RESULTS

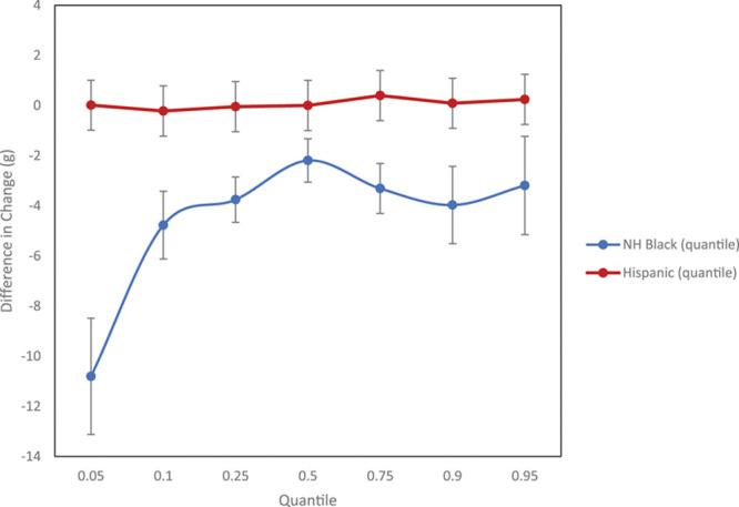
Linear regression revealed that a 10 μg/m increase in PM exposure during pregnancy is associated with a mean birth weight decrease of 7.31 g [95% confidence interval (CI): 8.10, 6.51] and NH Black mothers are the most vulnerable. Results of the quantile regression are not constant across quantiles. For NH Black mothers whose infants had the lowest birthweight of less than 2673 g (5th percentile), a 10 μg/m increase in PM exposure is associated with a decrease of 18.57 g [95% CI: 22.23, 14.91], while it is associated with a decrease of 7.77 g [95% CI: 8.73, 6.79] for NH White mothers and 7.76 [8.52, 7.00] decrease for Hispanic mothers at the same quantile.

CONCLUSION

Results of the quantile regression revealed greater disparities, particularly for infants with the lowest birth weight. By identifying vulnerable populations, we can promote and implement policies to confront these health disparities.

摘要

背景

孕期暴露于细颗粒物(PM)已被证明与出生体重降低有关,并且发现少数族裔更容易受到影响。以往的研究集中在与PM相关的出生体重平均值上,这可能掩盖了有意义的差异。我们应用分位数回归方法来研究出生体重百分位数的变化,并比较了非西班牙裔(NH)黑人、NH白人及西班牙裔母亲。

方法

收集2005年10月24日至2010年2月27日加利福尼亚州单胎分娩的数据,这些数据来自加利福尼亚州公共卫生部获取的出生记录。加利福尼亚空气资源委员会收集的空气污染监测数据,使用反距离加权方法对每个邮政编码区域进行插值,并与出生证明上报告的母亲居住邮政编码相关联。以母亲居住邮政编码制表区域为随机效应进行多水平线性回归模型分析。使用多水平分位数回归模型分析出生体重不同百分位数(第5、10、25、50、75、90、95百分位数)的关联,并检验种族/族裔群体之间这种关联的异质性。

结果

线性回归显示,孕期PM暴露每增加10μg/m³,出生体重平均下降7.31g[95%置信区间(CI):8.10,6.51],NH黑人母亲最易受影响。分位数回归结果在各分位数间并不恒定。对于婴儿出生体重处于最低水平(低于2673g,第5百分位数)的NH黑人母亲,PM暴露每增加10μg/m³,出生体重下降18.57g[95%CI:22.23,14.91],而在相同分位数下,NH白人母亲出生体重下降7.77g[95%CI:8.73,6.79],西班牙裔母亲出生体重下降7.76g[8.52,7.00]。

结论

分位数回归结果显示出更大的差异,尤其是对于出生体重最低的婴儿。通过识别弱势群体,我们可以促进并实施应对这些健康差异的政策。

https://cdn.ncbi.nlm.nih.gov/pmc/blobs/5f9c/7939411/ca07820c4499/ee9-3-e060-g003.jpg

文献检索

告别复杂PubMed语法,用中文像聊天一样搜索,搜遍4000万医学文献。AI智能推荐,让科研检索更轻松。

立即免费搜索

文件翻译

保留排版,准确专业,支持PDF/Word/PPT等文件格式,支持 12+语言互译。

免费翻译文档

深度研究

AI帮你快速写综述,25分钟生成高质量综述,智能提取关键信息,辅助科研写作。

立即免费体验