Suppr超能文献

具有潜在双向抗菌作用的新型杂化物分子结构的光谱研究

Spectroscopic Study of the Molecular Structure of the New Hybrid with a Potential Two-Way Antibacterial Effect.

作者信息

Kowalczuk Dorota, Gładysz Agata, Pitucha Monika, Kamiński Daniel M, Barańska Agnieszka, Drop Bartłomiej

机构信息

Department of Medicinal Chemistry, Faculty of Pharmacy, Medical University, Jaczewskiego 4, 20-090 Lublin, Poland.

Independent Radiopharmacy Unit, Faculty of Pharmacy, Medical University, Chodzki 4A, 20-093 Lublin, Poland.

出版信息

Molecules. 2021 Mar 7;26(5):1442. doi: 10.3390/molecules26051442.

Abstract

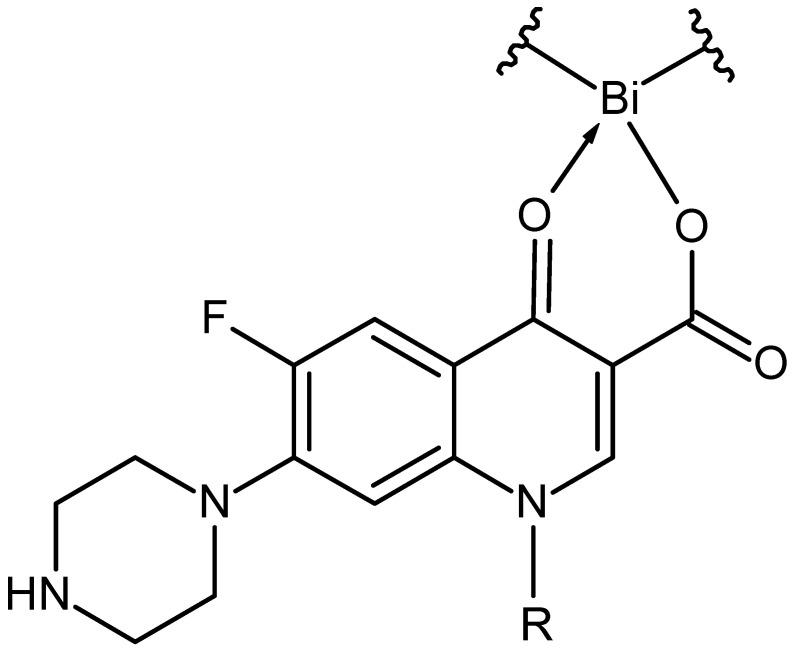
Bacterial strains become resistant to almost all classes of antibiotics, which makes it necessary to look for new substitutes. The non-absorbable ciprofloxacin-biguanide bismuth complex, used locally, may be a good alternative to a conventional therapy. The purpose of this study was to study the structure of the proposed ciprofloxacin (CIP) -bismuth(III)-chlorhexidine (CHX) composite (CIP-Bi-CHX). The spectroscopic techniques such as UV-VIS (ultraviolet-visible) spectroscopy, FTIR (Fourier-transform infrared) spectroscopy and NMR (Nuclear Magnetic Resonance) spectroscopy were used for structure characterization of the hybrid compound. The performed analysis confirmed the presence of the two active components-CIP and CHX and revealed the possible coordination sites of the ligands with bismuth ion in the metallo-organic structure. Spectroscopic study showed that the complexation between Bi(III) and CIP occurs through the carboxylate and ketone groups of the quinolone ring, while CHX combines with the central ion via the biguanide moieties.

摘要

细菌菌株对几乎所有种类的抗生素都产生了耐药性,这使得寻找新的替代物成为必要。局部使用的不可吸收的环丙沙星-双胍铋复合物可能是传统疗法的一个良好替代方案。本研究的目的是研究拟用的环丙沙星(CIP)-铋(III)-洗必泰(CHX)复合物(CIP-Bi-CHX)的结构。采用紫外可见(UV-VIS)光谱、傅里叶变换红外(FTIR)光谱和核磁共振(NMR)光谱等光谱技术对该杂化化合物进行结构表征。所进行的分析证实了两种活性成分CIP和CHX的存在,并揭示了金属有机结构中配体与铋离子可能的配位位点。光谱研究表明,Bi(III)与CIP之间的络合是通过喹诺酮环的羧基和酮基发生的,而CHX则通过双胍部分与中心离子结合。

https://cdn.ncbi.nlm.nih.gov/pmc/blobs/97c6/7961860/624af350fb61/molecules-26-01442-g001.jpg

文献检索

告别复杂PubMed语法,用中文像聊天一样搜索,搜遍4000万医学文献。AI智能推荐,让科研检索更轻松。

立即免费搜索

文件翻译

保留排版,准确专业,支持PDF/Word/PPT等文件格式,支持 12+语言互译。

免费翻译文档

深度研究

AI帮你快速写综述,25分钟生成高质量综述,智能提取关键信息,辅助科研写作。

立即免费体验