Suppr超能文献

透析前和透析疗法对尿毒症患者红细胞中一氧化氮合成途径的影响不同:以腹膜透析为重点

Predialysis and Dialysis Therapies Differently Affect Nitric Oxide Synthetic Pathway in Red Blood Cells from Uremic Patients: Focus on Peritoneal Dialysis.

作者信息

Palmerini Carola, Piscitani Luca, Bologna Giuseppina, Riganti Chiara, Lanuti Paola, Mandatori Domitilla, Di Liberato Lorenzo, Di Fulvio Giorgia, Sirolli Vittorio, Renda Giulia, Pipino Caterina, Marchisio Marco, Bonomini Mario, Pandolfi Assunta, Di Pietro Natalia

机构信息

Department of Medical, Oral and Biotechnological Sciences, G. d'Annunzio University Chieti-Pescara, 66100 Chieti, Italy.

Center for Advanced Studies and Technology-CAST (ex CeSI-MeT), G. d'Annunzio University Chieti-Pescara, 66100 Chieti, Italy.

出版信息

Int J Mol Sci. 2021 Mar 17;22(6):3049. doi: 10.3390/ijms22063049.

Abstract

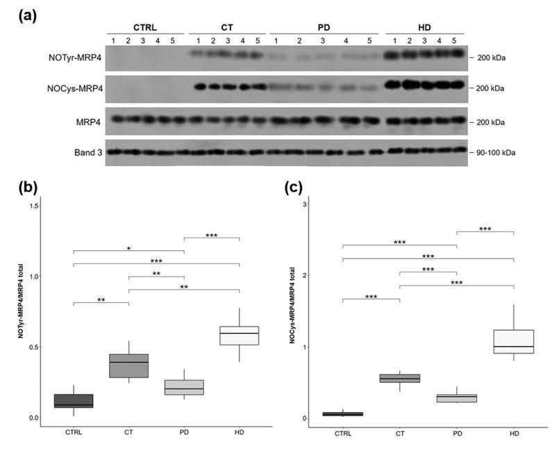
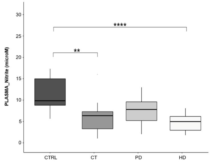
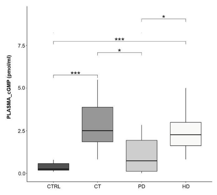
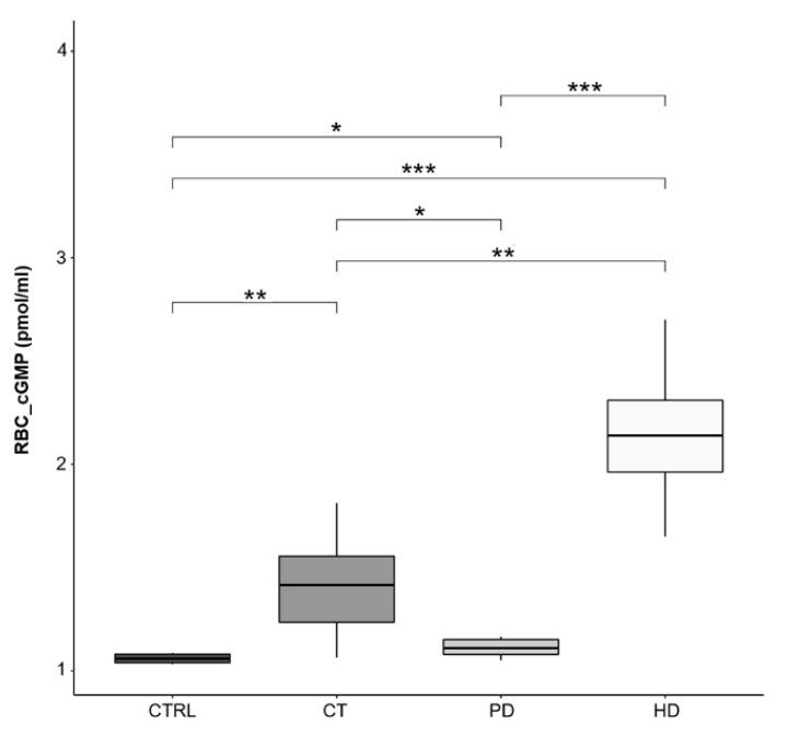
Red blood cells (RBCs) have been found to synthesize and release both nitric oxide (NO) and cyclic guanosine monophosphate (cGMP), contributing to systemic NO bioavailability. These RBC functions resulted impaired in chronic kidney disease (CKD). This study aimed to evaluate whether predialysis (conservative therapy, CT) and dialysis (peritoneal dialysis, PD; hemodialysis, HD) therapies used during CKD progression may differently affect NO-synthetic pathway in RBCs. Our data demonstrated that compared to PD, although endothelial-NO-synthase activation was similarly increased, HD and CT were associated to cGMP RBCs accumulation, caused by reduced activity of cGMP membrane transporter (MRP4). In parallel, plasma cGMP levels were increased by both CT and HD and they significantly decreased after hemodialysis, suggesting that this might be caused by reduced cGMP renal clearance. As conceivable, compared to healthy subjects, plasma nitrite levels were significantly reduced by HD and CT but not in patients on PD. Additionally, the increased carotid intima-media thickness (IMT) values did not reach the significance exclusively in patients on PD. Therefore, our results show that PD might better preserve the synthetic NO-pathway in CKD-erythrocytes. Whether this translates into a reduced development of uremic vascular complications requires further investigation.

摘要

已发现红细胞(RBC)能合成并释放一氧化氮(NO)和环磷酸鸟苷(cGMP),这有助于全身NO的生物利用度。这些红细胞功能在慢性肾脏病(CKD)中受损。本研究旨在评估CKD进展过程中使用的透析前(保守治疗,CT)和透析(腹膜透析,PD;血液透析,HD)治疗是否会对红细胞中的NO合成途径产生不同影响。我们的数据表明,与PD相比,尽管内皮型一氧化氮合酶的激活同样增加,但HD和CT与cGMP在红细胞中的积累有关,这是由于cGMP膜转运蛋白(MRP4)活性降低所致。同时,CT和HD均使血浆cGMP水平升高,且血液透析后显著降低,这表明这可能是由于cGMP肾脏清除率降低所致。可以想象,与健康受试者相比,HD和CT使血浆亚硝酸盐水平显著降低,但PD患者未出现这种情况。此外,仅PD患者的颈动脉内膜中层厚度(IMT)值增加未达到显著水平。因此,我们的结果表明,PD可能能更好地保留CKD红细胞中的NO合成途径。这是否会转化为尿毒症血管并发症的发生率降低,还需要进一步研究。

https://cdn.ncbi.nlm.nih.gov/pmc/blobs/166a/8002384/52fab62ec275/ijms-22-03049-g001.jpg

文献检索

告别复杂PubMed语法,用中文像聊天一样搜索,搜遍4000万医学文献。AI智能推荐,让科研检索更轻松。

立即免费搜索

文件翻译

保留排版,准确专业,支持PDF/Word/PPT等文件格式,支持 12+语言互译。

免费翻译文档

深度研究

AI帮你快速写综述,25分钟生成高质量综述,智能提取关键信息,辅助科研写作。

立即免费体验