Ratti Francesca, Cipriani Federica, Fiorentini Guido, Burgio Valentina, Ronzoni Monica, Della Corte Angelo, Cascinu Stefano, De Cobelli Francesco, Aldrighetti Luca
Hepatobiliary Surgery Division, IRCCS San Raffaele Scientific Institute, 20132 Milan, Italy.
Department of Medical Oncology, IRCCS San Raffaele Scientific Institute, 20132 Milan, Italy.
Cancers (Basel). 2021 Mar 9;13(5):1178. doi: 10.3390/cancers13051178.
In recent years, the treatment of colorectal liver metastases (CRLM) has undergone significant evolution thanks to technical improvements as well as oncological advances, which have been the subject of targeted studies aimed at understanding the details of this heterogeneous disease. The purpose of this study is to put together pieces of this complex scenario by providing an overview of the evolution that has occurred in the context of a single center within a multidisciplinary management approach.
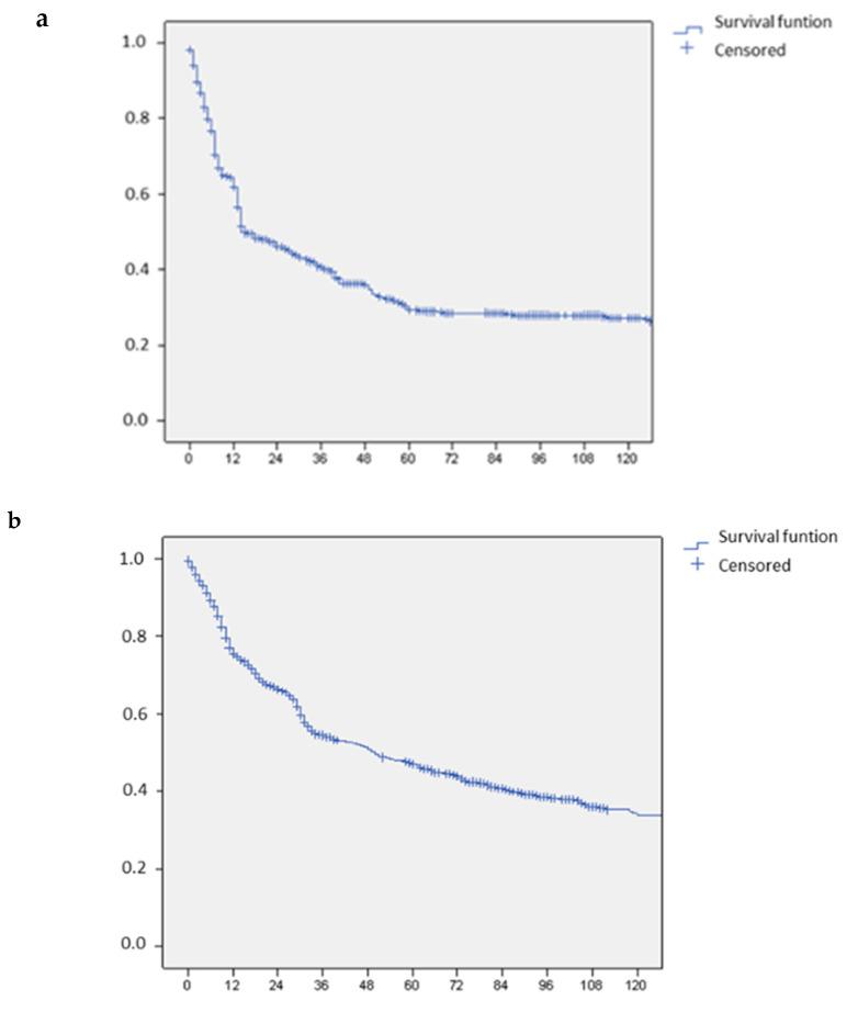
Between 2005 and 2020, 1212 resections for CRLM were performed at the Hepatobiliary Surgery Division of San Raffaele Hospital, Milan. The series was divided into three historical periods, which were compared in terms of disease characteristics and short- and long-term outcomes: Period 1, 2005-2009 (293 cases); Period 2, 2010-2014 (353 cases); Period 3, 2015-2020 (566 cases). The trends for surgical technical complexity, oncological burden of the disease, use of the laparoscopic approach and use of techniques for hepatic hypertrophy were analyzed year by year. Uni- and multivariate analyses were performed to identify factors associated with inclusion to a laparoscopic approach and with long-term prognosis.
The number of resections performed over the years progressively increased, with an increase in the number of cases with a high Clinical Risk Score and a high profile of technical complexity. The proportion of cases performed laparoscopically increased, but less rapidly compared to other malignant tumors. The risk of postoperative morbidity and mortality was similar in the three analyzed periods. Long-term survival, stratified by Clinical Risk Score, improved in Period 3, while overall survival remained unchanged.
The cultural background, the maturation of technical expertise and the consolidation of the multidisciplinary team have resulted in safe expansion of the possibility to offer a curative opportunity to patients, while continuously implementing into clinical practice evidence provided by the literature.
近年来,由于技术进步以及肿瘤学进展,结直肠癌肝转移(CRLM)的治疗发生了重大演变,这些进展一直是旨在了解这种异质性疾病细节的靶向研究的主题。本研究的目的是通过概述在多学科管理方法下单个中心范围内发生的演变,来拼凑这个复杂情况的各个部分。
2005年至2020年期间,米兰圣拉斐尔医院肝胆外科对1212例CRLM进行了切除术。该系列分为三个历史时期,从疾病特征以及短期和长期结果方面进行比较:第1期,2005 - 2009年(293例);第2期,2010 - 2014年(353例);第3期,2015 - 2020年(566例)。逐年分析手术技术复杂性趋势、疾病的肿瘤负担、腹腔镜手术方法的使用以及肝脏肥大技术的使用。进行单因素和多因素分析以确定与采用腹腔镜手术方法以及长期预后相关的因素。
多年来进行的切除例数逐渐增加,临床风险评分高和技术复杂性高的病例数增加。腹腔镜手术的病例比例增加,但与其他恶性肿瘤相比增速较慢。在三个分析时期中,术后发病率和死亡率风险相似。按临床风险评分分层的长期生存率在第3期有所改善,而总生存率保持不变。
文化背景、技术专长的成熟以及多学科团队的巩固,使得为患者提供治愈机会的可能性得以安全扩大,同时不断将文献提供的证据应用于临床实践。