• 文献检索
  • 文档翻译
  • 深度研究
  • 学术资讯
  • Suppr Zotero 插件Zotero 插件
  • 邀请有礼
  • 套餐&价格
  • 历史记录
应用&插件
Suppr Zotero 插件Zotero 插件浏览器插件Mac 客户端Windows 客户端微信小程序
定价
高级版会员购买积分包购买API积分包
服务
文献检索文档翻译深度研究API 文档MCP 服务
关于我们
关于 Suppr公司介绍联系我们用户协议隐私条款
关注我们

Suppr 超能文献

核心技术专利:CN118964589B侵权必究
粤ICP备2023148730 号-1Suppr @ 2026

文献检索

告别复杂PubMed语法,用中文像聊天一样搜索,搜遍4000万医学文献。AI智能推荐,让科研检索更轻松。

立即免费搜索

文件翻译

保留排版,准确专业,支持PDF/Word/PPT等文件格式,支持 12+语言互译。

免费翻译文档

深度研究

AI帮你快速写综述,25分钟生成高质量综述,智能提取关键信息,辅助科研写作。

立即免费体验

半合成哈林通内酯衍生物及其抗增殖活性。

Semi-Synthesis of Harringtonolide Derivatives and Their Antiproliferative Activity.

机构信息

State Key Laboratory of Natural Medicines, Jiangsu Key Laboratory of Bioactive Natural Product Research, School of Traditional Chinese Pharmacy, China Pharmaceutical University, 24 Tong Jia Xiang, Nanjing 210009, China.

出版信息

Molecules. 2021 Mar 4;26(5):1380. doi: 10.3390/molecules26051380.

DOI:10.3390/molecules26051380
PMID:33806554
原文链接:https://pmc.ncbi.nlm.nih.gov/articles/PMC7961763/
Abstract

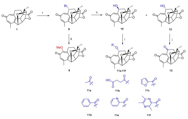
Harringtonolide (HO), a natural product isolated from , exhibits potent antiproliferative activity. However, little information has been reported on the systematic structure-activity relationship (SAR) of HO derivatives. Modifications on tropone, lactone, and allyl positions of HO () were carried out to provide 17 derivatives (--). The in vitro antiproliferative activity against four cancer cell lines (HCT-116, A375, A549, and Huh-7) and one normal cell line (L-02) was tested. Amongst these novel derivatives, compound exhibited comparable cell growth inhibitory activity to HO and displayed better selectivity index (SI = 56.5) between Huh-7 and L-02 cells. The SAR results revealed that the tropone and lactone moieties are essential for the cytotoxic activities, which provided useful suggestions for further structural optimization of HO.

摘要

从 中分离得到的天然产物诃黎酮(HO)具有很强的抗增殖活性。然而,关于 HO 衍生物的系统结构-活性关系(SAR)的信息却很少。对诃黎酮()的三酮、内酯和烯丙基位置进行修饰,得到了 17 个衍生物(--)。对这 4 种癌细胞系(HCT-116、A375、A549 和 Huh-7)和 1 种正常细胞系(L-02)进行了体外抗增殖活性测试。在这些新型衍生物中,化合物 对细胞生长的抑制活性与 HO 相当,并且在 Huh-7 和 L-02 细胞之间显示出更好的选择性指数(SI = 56.5)。SAR 结果表明,三酮和内酯部分是细胞毒性活性所必需的,这为 HO 的进一步结构优化提供了有用的建议。

https://cdn.ncbi.nlm.nih.gov/pmc/blobs/5ed8/7961763/8bb55f0e0617/molecules-26-01380-g002.jpg
https://cdn.ncbi.nlm.nih.gov/pmc/blobs/5ed8/7961763/31a14906fe89/molecules-26-01380-g001.jpg
https://cdn.ncbi.nlm.nih.gov/pmc/blobs/5ed8/7961763/7935066ef0c8/molecules-26-01380-sch001.jpg
https://cdn.ncbi.nlm.nih.gov/pmc/blobs/5ed8/7961763/4c2c4e3f25ff/molecules-26-01380-sch002.jpg
https://cdn.ncbi.nlm.nih.gov/pmc/blobs/5ed8/7961763/44ff9d10ef90/molecules-26-01380-sch003.jpg
https://cdn.ncbi.nlm.nih.gov/pmc/blobs/5ed8/7961763/47f10634b7ea/molecules-26-01380-sch004.jpg
https://cdn.ncbi.nlm.nih.gov/pmc/blobs/5ed8/7961763/8bb55f0e0617/molecules-26-01380-g002.jpg
https://cdn.ncbi.nlm.nih.gov/pmc/blobs/5ed8/7961763/31a14906fe89/molecules-26-01380-g001.jpg
https://cdn.ncbi.nlm.nih.gov/pmc/blobs/5ed8/7961763/7935066ef0c8/molecules-26-01380-sch001.jpg
https://cdn.ncbi.nlm.nih.gov/pmc/blobs/5ed8/7961763/4c2c4e3f25ff/molecules-26-01380-sch002.jpg
https://cdn.ncbi.nlm.nih.gov/pmc/blobs/5ed8/7961763/44ff9d10ef90/molecules-26-01380-sch003.jpg
https://cdn.ncbi.nlm.nih.gov/pmc/blobs/5ed8/7961763/47f10634b7ea/molecules-26-01380-sch004.jpg
https://cdn.ncbi.nlm.nih.gov/pmc/blobs/5ed8/7961763/8bb55f0e0617/molecules-26-01380-g002.jpg

相似文献

1
Semi-Synthesis of Harringtonolide Derivatives and Their Antiproliferative Activity.半合成哈林通内酯衍生物及其抗增殖活性。
Molecules. 2021 Mar 4;26(5):1380. doi: 10.3390/molecules26051380.
2
Further studies of the norditerpene (+)-harringtonolide isolated from Cephalotaxus harringtonia var. drupacea: absolute configuration, cytotoxic and antifungal activities.对从粗榧(Cephalotaxus harringtonia var. drupacea)中分离出的降二萜(+)-三尖杉酯碱的进一步研究:绝对构型、细胞毒性和抗真菌活性。
Planta Med. 2008 Jun;74(8):870-2. doi: 10.1055/s-2008-1074546. Epub 2008 Jun 3.
3
Design, synthesis, in vitro antiproliferative activity and apoptosis-inducing studies of 1-(3',4',5'-trimethoxyphenyl)-3-(2'-alkoxycarbonylindolyl)-2-propen-1-one derivatives obtained by a molecular hybridisation approach.通过分子杂交方法获得的 1-(3',4',5'-三甲氧基苯基)-3-(2'-烷氧基羰基吲哚基)-2-丙烯-1-酮衍生物的设计、合成、体外增殖活性和诱导凋亡研究。
J Enzyme Inhib Med Chem. 2018 Dec;33(1):1225-1238. doi: 10.1080/14756366.2018.1493473.
4
Design, synthesis and biological evaluation of novel thioquinazolinone-based 2-aminobenzamide derivatives as potent histone deacetylase (HDAC) inhibitors.新型噻吩并[2,3-d]嘧啶酮类 2-氨基苯甲酰胺衍生物的设计、合成及生物评价作为有效的组蛋白去乙酰化酶(HDAC)抑制剂。
Eur J Med Chem. 2019 Jul 1;173:185-202. doi: 10.1016/j.ejmech.2019.04.017. Epub 2019 Apr 11.
5
Synthesis and antiproliferative evaluation of 23-hydroxybetulinic acid derivatives.23-羟基白桦酸衍生物的合成及抗增殖活性评价。
Eur J Med Chem. 2011 Jun;46(6):2490-502. doi: 10.1016/j.ejmech.2011.03.038. Epub 2011 Mar 25.
6
Head-to-head bisbenzazole derivatives as antiproliferative agents: design, synthesis, in vitro activity, and SAR analysis.作为抗增殖剂的对头双苯并咪唑衍生物:设计、合成、体外活性和 SAR 分析。
Mol Divers. 2021 Nov;25(4):2247-2259. doi: 10.1007/s11030-020-10115-0. Epub 2020 Jun 18.
7
Design, synthesis of 4,5-diazafluorene derivatives and their anticancer activity via targeting telomeric DNA G-quadruplex.设计、合成 4,5-二氮杂芴衍生物及其通过靶向端粒 DNA G-四链体的抗癌活性。
Eur J Med Chem. 2019 Sep 15;178:484-499. doi: 10.1016/j.ejmech.2019.06.012. Epub 2019 Jun 5.
8
Design, Synthesis, biological Evaluation, and molecular docking studies of novel Pyrazolo[3,4-d]Pyrimidine derivative scaffolds as potent EGFR inhibitors and cell apoptosis inducers.新型吡唑并[3,4-d]嘧啶衍生物骨架作为有效 EGFR 抑制剂和细胞凋亡诱导剂的设计、合成、生物评价和分子对接研究。
Bioorg Chem. 2021 Nov;116:105325. doi: 10.1016/j.bioorg.2021.105325. Epub 2021 Sep 4.
9
Design, Synthesis, and Biological Evaluation of Novel Thiazolyl Substituted Bis-pyrazole Oxime Derivatives with Potent Antitumor Activities by Selectively Inducing Apoptosis and ROS in Cancer Cells.新型噻唑取代双吡唑啉肟衍生物的设计、合成及通过选择性诱导癌细胞凋亡和 ROS 产生的抗肿瘤活性的生物评价。
Med Chem. 2019;15(7):743-754. doi: 10.2174/1573406414666180827112724.
10
Rational design, molecular docking and synthesis of novel homopiperazine linked imidazo[1,2-a]pyrimidine derivatives as potent cytotoxic and antimicrobial agents.新型含哌嗪的咪唑并[1,2-a]嘧啶衍生物的合理设计、分子对接及合成作为潜在的细胞毒性和抗菌剂。
Bioorg Med Chem Lett. 2019 Aug 15;29(16):2248-2253. doi: 10.1016/j.bmcl.2019.06.031. Epub 2019 Jun 20.

引用本文的文献

1
Studies Concerned with the Structure and Synthesis of the Anti-viral Tropolone Glycoside Liriosmaside A.关于抗病毒环庚三烯酚酮糖苷利立奥斯苷A的结构与合成的研究
ChemistryOpen. 2025 Aug;14(8):e202500011. doi: 10.1002/open.202500011. Epub 2025 Apr 8.
2
Late-stage benzenoid-to-troponoid skeletal modification of the cephalotanes exemplified by the total synthesis of harringtonolide.以 harringtonolide 全合成为例的海松烷型倍半萜骨架晚期苯并至三烯型修饰。
Nat Commun. 2024 May 15;15(1):4125. doi: 10.1038/s41467-024-48586-6.
3
RACK1 Promotes Meningioma Progression by Activation of NF-κB Pathway via Preventing CSNK2B from Ubiquitination Degradation.

本文引用的文献

1
Diterpenoids from Cephalotaxus fortunei var. alpina and their cytotoxic activity.高山扁柏中的二萜及其细胞毒性。
Bioorg Chem. 2020 Oct;103:104226. doi: 10.1016/j.bioorg.2020.104226. Epub 2020 Aug 26.
2
Diterpenoids and Flavonoids from the Twigs of Cephalotaxus fortunei var. alpina.从羊角叉杉变种的嫩枝中分离得到的二萜类和黄酮类化合物。
Chem Biodivers. 2020 Jun;17(6):e2000210. doi: 10.1002/cbdv.202000210. Epub 2020 Jun 2.
3
Intramolecular Büchner Reaction and Oxidative Aromatization with SeO or O.分子内布赫纳反应以及与二氧化硒或氧气的氧化芳构化反应
RACK1通过阻止CSNK2B泛素化降解激活NF-κB通路促进脑膜瘤进展。
Cancers (Basel). 2024 Feb 13;16(4):767. doi: 10.3390/cancers16040767.
4
Research Advances on Anti-Cancer Natural Products.抗癌天然产物的研究进展
Front Oncol. 2022 May 6;12:866154. doi: 10.3389/fonc.2022.866154. eCollection 2022.
5
Photoaffinity Probe Reveals the Potential Target of Harringtonolide for Cancer Cell Migration Inhibition.光亲和探针揭示了三尖杉酯碱抑制癌细胞迁移的潜在靶点。
ACS Med Chem Lett. 2022 Feb 2;13(3):449-456. doi: 10.1021/acsmedchemlett.1c00625. eCollection 2022 Mar 10.
Chem Pharm Bull (Tokyo). 2019;67(7):729-732. doi: 10.1248/cpb.c19-00243.
4
17- nor-Cephalotane-Type Diterpenoids from Cephalotaxus fortunei.从三尖杉中分离得到 17-去甲-贝壳杉烷型二萜。
J Nat Prod. 2019 Jun 28;82(6):1565-1575. doi: 10.1021/acs.jnatprod.9b00059. Epub 2019 Jun 11.
5
Synthesis and biological evaluation of podophyllotoxin derivatives as selective antitumor agents.鬼臼毒素衍生物的合成及生物评价作为选择性抗肿瘤药物。
Eur J Med Chem. 2018 Jul 15;155:183-196. doi: 10.1016/j.ejmech.2018.05.052. Epub 2018 Jun 1.
6
Bioactive norditerpenoids from Cephalotaxus fortunei var. alpina and C. lanceolata.高山柏和云南油杉中的生物活性新贝壳杉烷二萜。
Phytochemistry. 2018 Jul;151:50-60. doi: 10.1016/j.phytochem.2018.04.007. Epub 2018 Apr 14.
7
Cephanolides A-J, Cephalotane-Type Diterpenoids from Cephalotaxus sinensis.川西翠柏中二萜化合物 Cephanolides A-J,cephalotane 型二萜。
J Nat Prod. 2017 Dec 22;80(12):3159-3166. doi: 10.1021/acs.jnatprod.7b00412. Epub 2017 Nov 28.
8
Diterpenoids and Lignans from Cephalotaxus fortunei.三尖杉属中的二萜和木脂素。
J Nat Prod. 2017 Feb 24;80(2):356-362. doi: 10.1021/acs.jnatprod.6b00802. Epub 2017 Jan 31.
9
Total Synthesis of the Diterpenoid (+)-Harringtonolide.全合成二萜 (+)-海松醇内酯。
Angew Chem Int Ed Engl. 2016 Sep 12;55(38):11638-41. doi: 10.1002/anie.201605879. Epub 2016 Aug 16.
10
Mannolides A-C with an Intact Diterpenoid Skeleton Providing Insights on the Biosynthesis of Antitumor Cephalotaxus Troponoids.曼诺内酯 A-C 具有完整的二萜骨架,为抗肿瘤三尖杉酯型生物碱的生物合成提供了线索。
Org Lett. 2016 Apr 15;18(8):1880-3. doi: 10.1021/acs.orglett.6b00653. Epub 2016 Apr 4.