Suppr超能文献

胍酰胺催化的靛红衍生亚胺的氮杂 Henry 反应:选择性起源和新催化剂设计。

Guanidine-Amide-Catalyzed Aza-Henry Reaction of Isatin-Derived Ketimines: Origin of Selectivity and New Catalyst Design.

机构信息

Key Laboratory of Green Chemistry and Technology, Ministry of Education, College of Chemistry, Sichuan University, Chengdu 610064, China.

College of Pharmacy & International Academy of Targeted Therapeutics and Innovation, Chongqing University of Arts and Sciences, Chongqing 402160, China.

出版信息

Molecules. 2021 Mar 31;26(7):1965. doi: 10.3390/molecules26071965.

Abstract

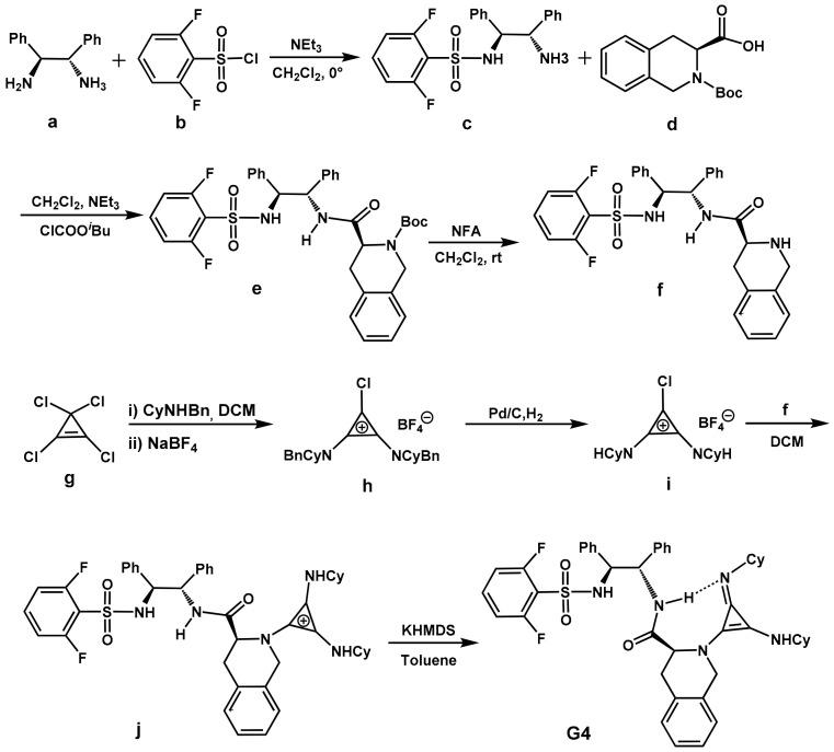
Density functional theory (DFT) calculations were performed to investigate the mechanism and the enantioselectivity of the aza-Henry reaction of isatin-derived ketimine catalyzed by chiral guanidine-amide catalysts at the M06-2X-D3/6-311+G(d,p)//M06-2X-D3/6-31G(d,p) (toluene, SMD) theoretical level. The catalytic reaction occurred via a three-step mechanism: (i) the deprotonation of nitromethane by a chiral guanidine-amide catalyst; (ii) formation of C-C bonds; (iii) H-transfer from guanidine to ketimine, accompanied with the regeneration of the catalyst. A dual activation model was proposed, in which the protonated guanidine activated the nitronate, and the amide moiety simultaneously interacted with the ketimine substrate by intermolecular hydrogen bonding. The repulsion of CPh group in guanidine as well as -Boc group in ketimine raised the Pauli repulsion energy (∆) and the strain energy (∆) of reacting species in the unfavorable -face pathway, contributing to a high level of stereoselectivity. A new catalyst with cyclopropenimine and 1,2-diphenylethylcarbamoyl as well as sulfonamide substituent was designed. The strong basicity of cyclopropenimine moiety accelerated the activation of CHNO by decreasing the energy barrier in the deprotonation step. The repulsion between the -Boc group in ketimine and cyclohexyl group as well as chiral backbone in the new catalyst raised the energy barrier in C-C bond formation along the -face attack pathway, leading to the formation of -configuration product. A possible synthetic route for the new catalyst is also suggested.

摘要

密度泛函理论(DFT)计算被用来研究手性胍酰胺催化剂催化靛红衍生的亚胺酮的氮杂 Henry 反应的机理和对映选择性。在 M06-2X-D3/6-311+G(d,p)//M06-2X-D3/6-31G(d,p)(甲苯,SMD)理论水平下,研究了手性胍酰胺催化剂催化的氮杂 Henry 反应的机理和对映选择性。催化反应经历了三步机制:(i)手性胍酰胺催化剂对硝基甲烷的去质子化;(ii)C-C 键的形成;(iii)胍从酮亚胺的 H 转移,伴随着催化剂的再生。提出了双活化模型,其中质子化的胍活化了硝甲酸盐,酰胺部分通过分子间氢键同时与酮亚胺底物相互作用。胍中的 CPh 基团以及酮亚胺中的 Boc 基团的排斥增加了反应物种的 Pauli 排斥能(∆)和应变能(∆),使得对映选择性较高。设计了一种具有环丙烯亚胺和 1,2-二苯乙基碳酰胺以及磺酰胺取代基的新型催化剂。环丙烯亚胺部分的强碱性通过降低去质子化步骤中的能量势垒来加速 CHNO 的活化。酮亚胺中的 Boc 基团与环己基以及新型催化剂中的手性骨架之间的排斥增加了沿 -面进攻途径形成 C-C 键的能量势垒,导致 -构型产物的形成。还提出了新型催化剂的可能合成路线。

https://cdn.ncbi.nlm.nih.gov/pmc/blobs/49a6/8037019/6214d1f43ae6/molecules-26-01965-sch001.jpg

文献AI研究员

20分钟写一篇综述,助力文献阅读效率提升50倍。

立即体验

用中文搜PubMed

大模型驱动的PubMed中文搜索引擎

马上搜索

文档翻译

学术文献翻译模型,支持多种主流文档格式。

立即体验