Suppr超能文献

髓内钉治疗胫骨干骨折后延迟愈合和无菌性骨不连的相关危险因素。

Risk factors associated with delayed and aseptic nonunion following tibial diaphyseal fractures managed with intramedullary nailing.

作者信息

Makaram Navnit S, Leow Jun Min, Clement Nicholas D, Oliver William M, Ng Zhan H, Simpson Cameron, Keating John F

机构信息

Edinburgh Orthopaedics, Royal Infirmary of Edinburgh, Edinburgh, UK.

出版信息

Bone Jt Open. 2021 Apr;2(4):227-235. doi: 10.1302/2633-1462.24.BJO-2021-0012.R1.

Abstract

AIMS

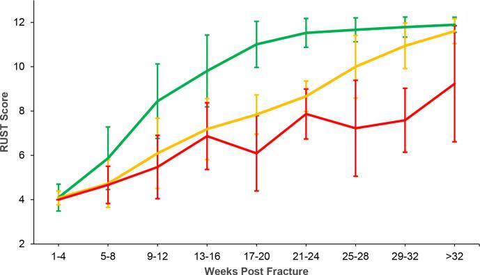
The primary aim of this study was to identify independent predictors associated with nonunion and delayed union of tibial diaphyseal fractures treated with intramedullary nailing. The secondary aim was to assess the Radiological Union Scale for Tibial fractures (RUST) score as an early predictor of tibial fracture nonunion.

METHODS

A consecutive series of 647 patients who underwent intramedullary nailing for tibial diaphyseal fractures were identified from a trauma database. Demographic data, comorbidities, smoking status, alcohol consumption, use of non-steroidal anti-inflammatory drugs (NSAIDs), and steroid use were documented. Details regarding mechanism of injury, fracture classification, complications, and further surgery were recorded. Nonunion was defined as the requirement for revision surgery to achieve union. Delayed union was defined as a RUST score < 10 at six months postoperatively.

RESULTS

There were 41 nonunions (6.3%), of which 13 were infected (31.7%), and 77 delayed unions (11.9%). There were 127 open fractures (19.6%). Adjusting for confounding variables, NSAID use (odds ratio (OR) 3.50; p = 0.042), superficial infection (OR 3.00; p = 0.026), open fractures (OR 5.44; p < 0.001), and high-energy mechanism (OR 2.51; p = 0.040) were independently associated with nonunion. Smoking (OR 1.76; p = 0.034), open fracture (OR 2.82; p = 0.001), and high-energy mechanism (OR 1.81; p = 0.030) were independent predictors associated with delayed union. The RUST score at six-week follow-up was highly predictive of nonunion (sensitivity and specificity of 75%).

CONCLUSION

NSAID use, high-energy mechanisms, open fractures, and superficial infection were independently associated with nonunion in patients with tibial diaphyseal fractures treated with intramedullary nailing. The six-week RUST score may be useful in identifying patients at risk of nonunion. Cite this article:  2021;2(4):227-235.

摘要

目的

本研究的主要目的是确定与采用髓内钉治疗的胫骨干骨折骨不连和延迟愈合相关的独立预测因素。次要目的是评估胫骨干骨折放射学愈合量表(RUST)评分作为胫骨干骨折骨不连的早期预测指标。

方法

从创伤数据库中确定了连续647例行胫骨干骨折髓内钉治疗的患者。记录人口统计学数据、合并症、吸烟状况、饮酒情况、非甾体类抗炎药(NSAIDs)的使用以及类固醇的使用情况。记录损伤机制、骨折分类、并发症及进一步手术的详细信息。骨不连定义为需要进行翻修手术才能达到愈合。延迟愈合定义为术后6个月时RUST评分<10。

结果

有41例骨不连(6.3%),其中13例感染(31.7%),77例延迟愈合(11.9%)。有127例开放性骨折(19.6%)。校正混杂变量后,NSAIDs的使用(比值比(OR)3.50;p = 0.042)、浅表感染(OR 3.00;p = 0.026)、开放性骨折(OR 5.44;p < 0.001)和高能量损伤机制(OR 2.51;p = 0.040)与骨不连独立相关。吸烟(OR 1.76;p = 0.034)、开放性骨折(OR 2.82;p = 0.001)和高能量损伤机制(OR 1.81;p =  0.030)是与延迟愈合相关的独立预测因素。六周随访时的RUST评分对骨不连具有高度预测性(敏感性和特异性为75%)。

结论

在采用髓内钉治疗的胫骨干骨折患者中,NSAIDs的使用、高能量损伤机制、开放性骨折和浅表感染与骨不连独立相关。六周时的RUST评分可能有助于识别有骨不连风险的患者。引用本文:2021;2(4):227-235。

https://cdn.ncbi.nlm.nih.gov/pmc/blobs/c9d3/8085614/7811a09c2ac1/BJO-2-227-g0001.jpg

文献检索

告别复杂PubMed语法,用中文像聊天一样搜索,搜遍4000万医学文献。AI智能推荐,让科研检索更轻松。

立即免费搜索

文件翻译

保留排版,准确专业,支持PDF/Word/PPT等文件格式,支持 12+语言互译。

免费翻译文档

深度研究

AI帮你快速写综述,25分钟生成高质量综述,智能提取关键信息,辅助科研写作。

立即免费体验