Suppr超能文献

FeMnCoCr高熵合金的磁性能、电性能和力学性能

Magnetic, electrical and mechanical properties of FeMnCoCr high entropy alloy.

作者信息

Egilmez M, Abuzaid W

机构信息

Department of Physics, American University of Sharjah, Sharjah, UAE.

Department of Mechanical Engineering, American University of Sharjah, Sharjah, UAE.

出版信息

Sci Rep. 2021 Apr 13;11(1):8048. doi: 10.1038/s41598-021-87527-x.

Abstract

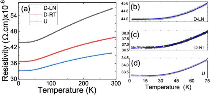
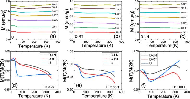
A prototypical, single-phase, and non-equiatomic high entropy alloy FeMnCoCr has been mechanically deformed at room and cryogenic temperatures. Plastic deformation was accommodated via crystallographic slip at room temperature while transformation induced plasticity (TRIP) has been observed in samples deformed at 77 K. The stress-induced martensitic transformation occurred from face-centered cubic (FCC) to hexagonal close-packed (HCP) structures. A detailed electron backscatter diffraction analysis was utilized to detect phase change and evaluate the evolution of the HCP phase volume fraction as a function of plastic strain. Physical properties of undeformed and deformed samples were measured to elucidate the effect of deformation-induced phase transitions on the magnetic and electrical properties of FeMnCoCr alloy. Relatively small magnetic moments along with non-saturating magnetic field dependencies suggest that the ground state in the considered material is ferrimagnetic ordering with coexisting antiferromagnetic phase. The temperature evolution of the coercive fields has been revealed for all samples. The magnitudes of the coercive fields place the considered system into the semi-hard magnetic alloys category. The temperature dependence of the zero-field cooled (ZFC) and field cooled (FC) magnetization was measured for all samples in the low field regime and the origin of irreversibility in ZFC/FC curves was discussed. Besides, the temperature dependence of the resistivity in all samples was measured and the possible conduction mechanisms were discussed.

摘要

一种典型的单相、非等原子高熵合金FeMnCoCr已在室温和低温下进行了机械变形。室温下通过晶体滑移实现塑性变形,而在77 K变形的样品中观察到了相变诱发塑性(TRIP)。应力诱导马氏体相变发生在从面心立方(FCC)结构到六方密排(HCP)结构的转变过程中。利用详细的电子背散射衍射分析来检测相变,并评估HCP相体积分数随塑性应变的演变。测量了未变形和变形样品的物理性能,以阐明变形诱导相变对FeMnCoCr合金磁性能和电性能的影响。相对较小的磁矩以及非饱和磁场依赖性表明,所考虑材料的基态是具有共存反铁磁相的亚铁磁有序状态。揭示了所有样品矫顽场的温度演变。矫顽场的大小将所考虑的系统归类为半硬磁合金。在低场区域测量了所有样品的零场冷却(ZFC)和场冷却(FC)磁化强度的温度依赖性,并讨论了ZFC/FC曲线中不可逆性的起源。此外,测量了所有样品的电阻率温度依赖性,并讨论了可能的传导机制。

https://cdn.ncbi.nlm.nih.gov/pmc/blobs/edac/8044135/841a74c0e7fc/41598_2021_87527_Fig1_HTML.jpg

文献AI研究员

20分钟写一篇综述,助力文献阅读效率提升50倍。

立即体验

用中文搜PubMed

大模型驱动的PubMed中文搜索引擎

马上搜索

文档翻译

学术文献翻译模型,支持多种主流文档格式。

立即体验