• 文献检索
  • 文档翻译
  • 深度研究
  • 学术资讯
  • Suppr Zotero 插件Zotero 插件
  • 邀请有礼
  • 套餐&价格
  • 历史记录
应用&插件
Suppr Zotero 插件Zotero 插件浏览器插件Mac 客户端Windows 客户端微信小程序
定价
高级版会员购买积分包购买API积分包
服务
文献检索文档翻译深度研究API 文档MCP 服务
关于我们
关于 Suppr公司介绍联系我们用户协议隐私条款
关注我们

Suppr 超能文献

核心技术专利:CN118964589B侵权必究
粤ICP备2023148730 号-1Suppr @ 2026

文献检索

告别复杂PubMed语法,用中文像聊天一样搜索,搜遍4000万医学文献。AI智能推荐,让科研检索更轻松。

立即免费搜索

文件翻译

保留排版,准确专业,支持PDF/Word/PPT等文件格式,支持 12+语言互译。

免费翻译文档

深度研究

AI帮你快速写综述,25分钟生成高质量综述,智能提取关键信息,辅助科研写作。

立即免费体验

经导管主动脉瓣置换术后单用阿司匹林与双联抗血小板治疗的比较:系统评价和患者水平荟萃分析。

Aspirin Alone Versus Dual Antiplatelet Therapy After Transcatheter Aortic Valve Implantation: A Systematic Review and Patient-Level Meta-Analysis.

机构信息

Department of Cardiology St. Antonius Hospital Nieuwegein The Netherlands.

Department of Cardiology Quebec Heart & Lung Institute Laval University Quebec City Quebec Canada.

出版信息

J Am Heart Assoc. 2021 Apr 20;10(8):e019604. doi: 10.1161/JAHA.120.019604. Epub 2021 Apr 16.

DOI:10.1161/JAHA.120.019604
PMID:33860685
原文链接:https://pmc.ncbi.nlm.nih.gov/articles/PMC8174170/
Abstract

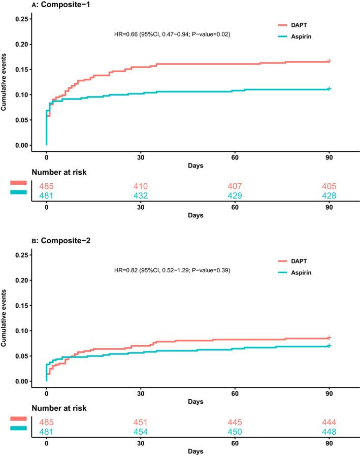
Background In patients undergoing transcatheter aortic valve implantation without an indication for oral anticoagulation, it is unclear whether single or dual antiplatelet therapy (DAPT) is necessary to minimize both the bleeding and thromboembolic risk. In this patient-level meta-analysis, we further investigate the effect of aspirin alone compared with DAPT for preventing both thromboembolic and bleeding events after transcatheter aortic valve implantation. Methods and Results We conducted a systematic review of all available randomized controlled trials comparing aspirin with DAPT. In total, 1086 patients were included across 4 eligible trials. The primary outcomes were the composite of all-cause mortality, major or life-threatening bleeding, stroke or myocardial infarction (first composite outcome), and the same composite excluding bleeding (second composite outcome), both tested at 30 days and 3 months. The first composite outcome occurred significantly less in the aspirin-alone group at 30 days (10.3% versus 14.7%, odds ratio [OR], 0.67; 95% CI, 0.46-0.97, =0.034) and 3 months (11.0% versus 16.5%, hazard ratio [HR], 0.66; 95% CI, 0.47-0.94, =0.02), compared with the DAPT group. The second composite outcome occurred in 5.5% and 6.6% at 30 days (OR, 0.83; 95% CI, 0.50-1.38, =0.47) and in 6.9% and 8.5% at 3 months in the aspirin-alone group compared with the DAPT group (HR, 0.82; 95% CI, 0.52-1.29, =0.39), respectively. Conclusions In patients without an indication for oral anticoagulation undergoing transcatheter aortic valve implantation, aspirin alone significantly reduced the composite of thromboembolic and bleeding events, and does not increase the composite of thromboembolic events after transcatheter aortic valve implantation, compared with DAPT.

摘要

背景

在未接受抗凝治疗的行经导管主动脉瓣置换术患者中,尚不清楚是采用双联抗血小板治疗(DAPT)还是单联抗血小板治疗(SAPT)以最小化出血和血栓栓塞风险。在本患者水平的荟萃分析中,我们进一步研究了与 DAPT 相比,单独应用阿司匹林预防经导管主动脉瓣置换术后血栓栓塞和出血事件的效果。

方法和结果

我们对所有比较阿司匹林与 DAPT 的可用随机对照试验进行了系统评价。共有 4 项试验的 1086 例患者纳入研究。主要结局为全因死亡率、大出血或危及生命的出血、卒中和心肌梗死(首次复合结局)的复合事件,以及不包括出血的相同复合结局(第二次复合结局),分别在 30 天和 3 个月时进行评估。在 30 天(10.3%比 14.7%,比值比[OR],0.67;95%CI,0.46-0.97,=0.034)和 3 个月(11.0%比 16.5%,风险比[HR],0.66;95%CI,0.47-0.94,=0.02)时,与 DAPT 组相比,阿司匹林单药组首次复合结局的发生率显著降低。在 30 天(OR,0.83;95%CI,0.50-1.38,=0.47)和 3 个月(OR,0.82;95%CI,0.52-1.29,=0.39)时,阿司匹林单药组的第二次复合结局发生率分别为 5.5%和 6.6%,DAPT 组分别为 6.9%和 8.5%。

结论

在未接受抗凝治疗行经导管主动脉瓣置换术的患者中,与 DAPT 相比,阿司匹林单药治疗可显著降低血栓栓塞和出血事件的复合发生率,且不会增加经导管主动脉瓣置换术后血栓栓塞事件的复合发生率。

https://cdn.ncbi.nlm.nih.gov/pmc/blobs/4e18/8174170/64df799d0778/JAH3-10-e019604-g002.jpg
https://cdn.ncbi.nlm.nih.gov/pmc/blobs/4e18/8174170/924a87373c29/JAH3-10-e019604-g001.jpg
https://cdn.ncbi.nlm.nih.gov/pmc/blobs/4e18/8174170/03937036d446/JAH3-10-e019604-g003.jpg
https://cdn.ncbi.nlm.nih.gov/pmc/blobs/4e18/8174170/64df799d0778/JAH3-10-e019604-g002.jpg
https://cdn.ncbi.nlm.nih.gov/pmc/blobs/4e18/8174170/924a87373c29/JAH3-10-e019604-g001.jpg
https://cdn.ncbi.nlm.nih.gov/pmc/blobs/4e18/8174170/03937036d446/JAH3-10-e019604-g003.jpg
https://cdn.ncbi.nlm.nih.gov/pmc/blobs/4e18/8174170/64df799d0778/JAH3-10-e019604-g002.jpg

相似文献

1
Aspirin Alone Versus Dual Antiplatelet Therapy After Transcatheter Aortic Valve Implantation: A Systematic Review and Patient-Level Meta-Analysis.经导管主动脉瓣置换术后单用阿司匹林与双联抗血小板治疗的比较:系统评价和患者水平荟萃分析。
J Am Heart Assoc. 2021 Apr 20;10(8):e019604. doi: 10.1161/JAHA.120.019604. Epub 2021 Apr 16.
2
Meta-Analysis Comparing the Safety and Efficacy of Single vs Dual Antiplatelet Therapy in Post Transcatheter Aortic Valve Implantation Patients.经导管主动脉瓣植入术后双联抗血小板治疗与单联抗血小板治疗安全性和有效性的荟萃分析
Am J Cardiol. 2021 Apr 15;145:111-118. doi: 10.1016/j.amjcard.2020.12.087. Epub 2021 Jan 15.
3
Aspirin Versus Aspirin Plus Clopidogrel as Antithrombotic Treatment Following Transcatheter Aortic Valve Replacement With a Balloon-Expandable Valve: The ARTE (Aspirin Versus Aspirin + Clopidogrel Following Transcatheter Aortic Valve Implantation) Randomized Clinical Trial.经皮球囊扩张式主动脉瓣置换术后抗栓治疗:阿司匹林与阿司匹林联合氯吡格雷的疗效对比(ARTE 研究):一项随机临床试验。
JACC Cardiovasc Interv. 2017 Jul 10;10(13):1357-1365. doi: 10.1016/j.jcin.2017.04.014. Epub 2017 May 17.
4
Usefulness of Antiplatelet Therapy After Transcatheter Aortic Valve Implantation.经导管主动脉瓣植入术后抗血小板治疗的作用。
Am J Cardiol. 2021 Jun 15;149:57-63. doi: 10.1016/j.amjcard.2021.03.010. Epub 2021 Mar 19.
5
Aspirin with or without Clopidogrel after Transcatheter Aortic-Valve Implantation.经导管主动脉瓣置换术后阿司匹林联合或不联合氯吡格雷
N Engl J Med. 2020 Oct 8;383(15):1447-1457. doi: 10.1056/NEJMoa2017815. Epub 2020 Aug 30.
6
Dual Versus Single Antiplatelet Regimen With or Without Anticoagulation in Transcatheter Aortic Valve Replacement: Indirect Comparison and Meta-analysis.经导管主动脉瓣置换术中双重与单一抗血小板治疗方案联合或不联合抗凝治疗:间接比较与荟萃分析
Rev Esp Cardiol (Engl Ed). 2018 Apr;71(4):257-266. doi: 10.1016/j.rec.2017.06.012. Epub 2017 Jul 19.
7
Antithrombotic strategies after transcatheter aortic valve implantation: Insights from a network meta-analysis.经导管主动脉瓣置换术后的抗血栓策略:网络荟萃分析的见解。
Catheter Cardiovasc Interv. 2020 Aug;96(2):E177-E186. doi: 10.1002/ccd.28498. Epub 2019 Oct 14.
8
Comparison of Dual-antiplatelet Therapy to Mono-antiplatelet Therapy After Transcatheter Aortic Valve Implantation: Systematic Review and Meta-analysis.经导管主动脉瓣置换术后双联抗血小板治疗与单联抗血小板治疗的比较:系统评价和荟萃分析。
Can J Cardiol. 2015 Jun;31(6):775-84. doi: 10.1016/j.cjca.2015.01.014. Epub 2015 Jan 24.
9
Aspirin Alone Versus Dual Antiplatelet Therapy after Transcatheter Aortic Valve Replacement: A Systematic Review and Meta-Analysis.经导管主动脉瓣置换术后单用阿司匹林与双联抗血小板治疗对比:一项系统评价与荟萃分析
Cardiovasc Drugs Ther. 2022 Apr;36(2):271-278. doi: 10.1007/s10557-021-07145-7. Epub 2021 Feb 11.
10
Antithrombotic therapy in patients after transcatheter aortic valve implantation: a network meta-analysis.经导管主动脉瓣植入术后患者的抗血栓治疗:一项网状荟萃分析。
Eur Heart J Cardiovasc Pharmacother. 2024 Aug 14;10(5):454-464. doi: 10.1093/ehjcvp/pvad101.

引用本文的文献

1
Post-Transcatheter Aortic Valve Replacement Antithrombotic Treatment in Nonindicated Patients: Updated Systematic Review and Network Meta-Analysis.非适应证患者经导管主动脉瓣置换术后的抗栓治疗:更新的系统评价和网状Meta分析
JACC Adv. 2025 Mar 31;4(5):101719. doi: 10.1016/j.jacadv.2025.101719.
2
Optimal antithrombotic therapy after transcatheter aortic valve replacement: a comprehensive review.经导管主动脉瓣置换术后的最佳抗栓治疗:一项全面综述。
Front Cardiovasc Med. 2025 Mar 10;12:1528071. doi: 10.3389/fcvm.2025.1528071. eCollection 2025.
3
Saudi Heart Association/National Heart Center/Saudi Arabian Cardiac Interventional Society/Saudi Society for Cardiac Surgeons/Saudi Cardiac Imaging Group 2023 TAVI Guidelines.

本文引用的文献

1
Aspirin with or without Clopidogrel after Transcatheter Aortic-Valve Implantation.经导管主动脉瓣置换术后阿司匹林联合或不联合氯吡格雷
N Engl J Med. 2020 Oct 8;383(15):1447-1457. doi: 10.1056/NEJMoa2017815. Epub 2020 Aug 30.
2
A Controlled Trial of Rivaroxaban after Transcatheter Aortic-Valve Replacement.经导管主动脉瓣置换术后利伐沙班的对照试验。
N Engl J Med. 2020 Jan 9;382(2):120-129. doi: 10.1056/NEJMoa1911425. Epub 2019 Nov 16.
3
Early and late risk of ischemic stroke after TAVR as compared to a nationwide background population.
沙特心脏协会/国家心脏中心/沙特阿拉伯心脏介入学会/沙特心脏外科医生协会/沙特心脏影像小组2023年经导管主动脉瓣置入术指南
J Saudi Heart Assoc. 2024 Aug 15;36(2):184-231. doi: 10.37616/2212-5043.1379. eCollection 2024.
4
Antithrombotic therapy for transcatheter structural heart intervention.经导管结构性心脏病介入治疗的抗栓治疗。
EuroIntervention. 2024 Aug 19;20(16):972-986. doi: 10.4244/EIJ-D-23-01084.
5
Antithrombotic Therapy in Patients Undergoing Transcatheter Aortic Valve Implantation.经导管主动脉瓣植入术患者的抗栓治疗
J Clin Med. 2024 Jun 21;13(13):3636. doi: 10.3390/jcm13133636.
6
Antithrombotic Management for Transcatheter Aortic Valve Implantation.经导管主动脉瓣植入术的抗栓治疗管理
J Clin Med. 2023 Dec 12;12(24):7632. doi: 10.3390/jcm12247632.
7
Antithrombotic Therapy After Transcatheter Aortic Valve Replacement: An Overview.经导管主动脉瓣置换术后的抗栓治疗:概述
Struct Heart. 2022 Sep 15;6(5):100085. doi: 10.1016/j.shj.2022.100085. eCollection 2022 Oct.
8
Transcatheter Aortic Valve Implantation and Subclinical and Clinical Leaflet Thrombosis: Multimodality Imaging for Diagnosis and Risk Stratification.经导管主动脉瓣植入术与亚临床及临床瓣叶血栓形成:用于诊断和风险分层的多模态成像
Eur Cardiol. 2021 Sep 24;16:e35. doi: 10.15420/ecr.2021.09. eCollection 2021 Feb.
经 TAVR 治疗后的缺血性卒中的早发和晚发风险与全国背景人群相比。
Clin Res Cardiol. 2020 Jul;109(7):791-801. doi: 10.1007/s00392-019-01565-0. Epub 2019 Oct 30.
4
Transcatheter Aortic-Valve Replacement with a Balloon-Expandable Valve in Low-Risk Patients.经皮球囊扩张式主动脉瓣置换术治疗低危患者。
N Engl J Med. 2019 May 2;380(18):1695-1705. doi: 10.1056/NEJMoa1814052. Epub 2019 Mar 16.
5
Transcatheter Aortic-Valve Replacement with a Self-Expanding Valve in Low-Risk Patients.经导管主动脉瓣置换术治疗低危患者的自膨式瓣膜。
N Engl J Med. 2019 May 2;380(18):1706-1715. doi: 10.1056/NEJMoa1816885. Epub 2019 Mar 16.
6
Variation in post-TAVR antiplatelet therapy utilization and associated outcomes: Insights from the STS/ACC TVT Registry.经导管主动脉瓣置换术(TAVR)后抗血小板治疗的应用及相关结局的变化:STS/ACC TVT 注册研究的结果。
Am Heart J. 2018 Oct;204:9-16. doi: 10.1016/j.ahj.2018.06.006. Epub 2018 Jul 9.
7
2017 ESC/EACTS Guidelines for the management of valvular heart disease.2017年欧洲心脏病学会/欧洲心胸外科学会瓣膜性心脏病管理指南。
Eur Heart J. 2017 Sep 21;38(36):2739-2791. doi: 10.1093/eurheartj/ehx391.
8
Which is the best antiaggregant or anticoagulant therapy after TAVI? A propensity-matched analysis from the ITER registry. The management of DAPT after TAVI.经 TAVI 治疗后,哪种抗血小板或抗凝治疗最佳?来自 ITER 注册研究的倾向性匹配分析。TAVI 后的 DAPT 管理。
EuroIntervention. 2017 Dec 8;13(12):e1392-e1400. doi: 10.4244/EIJ-D-17-00198.
9
Predictors of cerebrovascular events at mid-term after transcatheter aortic valve implantation - Results from EVERY-TAVI registry.经导管主动脉瓣植入术后中期脑血管事件的预测因素 - EVERY-TAVI 注册研究结果。
Int J Cardiol. 2017 Oct 1;244:106-111. doi: 10.1016/j.ijcard.2017.03.003.
10
Trends and Outcomes of Off-label Use of Transcatheter Aortic Valve Replacement: Insights From the NCDR STS/ACC TVT Registry.经导管主动脉瓣置换术的超适应证使用趋势和结果:来自 NCDR STS/ACC TVT 登记处的见解。
JAMA Cardiol. 2017 Aug 1;2(8):846-854. doi: 10.1001/jamacardio.2017.1685.