Suppr超能文献

人类大脑中用于分离和整合大规模临界动力学的功能连接网络的优化组织

Optimal Organization of Functional Connectivity Networks for Segregation and Integration With Large-Scale Critical Dynamics in Human Brains.

作者信息

Zhou Xinchun, Ma Ningning, Song Benseng, Wu Zhixi, Liu Guangyao, Liu Liwei, Yu Lianchun, Feng Jianfeng

机构信息

Key Laboratory of Theoretical Physics of Gansu Province, Lanzhou Center for Theoretical Physics, Lanzhou University, Lanzhou, China.

School of Mathematical Sciences and Centre for Computational Systems Biology, Fudan University, Shanghai, China.

出版信息

Front Comput Neurosci. 2021 Mar 31;15:641335. doi: 10.3389/fncom.2021.641335. eCollection 2021.

Abstract

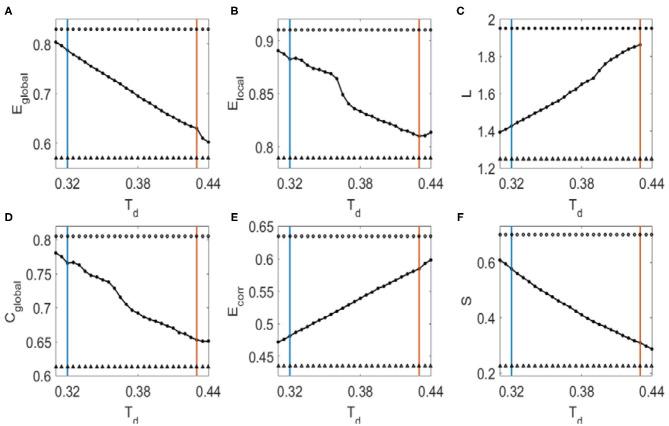
The optimal organization for functional segregation and integration in brain is made evident by the "small-world" feature of functional connectivity (FC) networks and is further supported by the loss of this feature that has been described in many types of brain disease. However, it remains unknown how such optimally organized FC networks arise from the brain's structural constrains. On the other hand, an emerging literature suggests that brain function may be supported by critical neural dynamics, which is believed to facilitate information processing in brain. Though previous investigations have shown that the critical dynamics plays an important role in understanding the relation between whole brain structural connectivity and functional connectivity, it is not clear if the critical dynamics could be responsible for the optimal FC network configuration in human brains. Here, we show that the long-range temporal correlations (LRTCs) in the resting state fMRI blood-oxygen-level-dependent (BOLD) signals are significantly correlated with the topological matrices of the FC brain network. Using structure-dynamics-function modeling approach that incorporates diffusion tensor imaging (DTI) data and simple cellular automata dynamics, we showed that the critical dynamics could optimize the whole brain FC network organization by, e.g., maximizing the clustering coefficient while minimizing the characteristic path length. We also demonstrated with a more detailed excitation-inhibition neuronal network model that loss of local excitation-inhibition (/) balance causes failure of critical dynamics, therefore disrupting the optimal FC network organization. The results highlighted the crucial role of the critical dynamics in forming an optimal organization of FC networks in the brain and have potential application to the understanding and modeling of abnormal FC configurations in neuropsychiatric disorders.

摘要

大脑中功能分离与整合的最优组织通过功能连接(FC)网络的“小世界”特征得以体现,并且在多种脑部疾病中所描述的该特征丧失进一步支持了这一点。然而,尚不清楚这种最优组织的FC网络如何从大脑的结构限制中产生。另一方面,新兴文献表明大脑功能可能由临界神经动力学支持,这被认为有助于大脑中的信息处理。尽管先前的研究表明临界动力学在理解全脑结构连接与功能连接之间的关系中起着重要作用,但尚不清楚临界动力学是否能够解释人类大脑中最优的FC网络配置。在此,我们表明静息态功能磁共振成像血氧水平依赖(BOLD)信号中的长程时间相关性(LRTCs)与FC脑网络的拓扑矩阵显著相关。使用结合扩散张量成像(DTI)数据和简单细胞自动机动力学的结构 - 动力学 - 功能建模方法,我们表明临界动力学可以通过例如最大化聚类系数同时最小化特征路径长度来优化全脑FC网络组织。我们还通过更详细的兴奋 - 抑制神经网络模型证明,局部兴奋 - 抑制(/)平衡的丧失会导致临界动力学失败,从而破坏最优的FC网络组织。这些结果突出了临界动力学在形成大脑中FC网络最优组织方面的关键作用,并在理解和模拟神经精神疾病中异常FC配置方面具有潜在应用。

https://cdn.ncbi.nlm.nih.gov/pmc/blobs/80b4/8044315/2097ff4a93b8/fncom-15-641335-g0001.jpg

文献检索

告别复杂PubMed语法,用中文像聊天一样搜索,搜遍4000万医学文献。AI智能推荐,让科研检索更轻松。

立即免费搜索

文件翻译

保留排版,准确专业,支持PDF/Word/PPT等文件格式,支持 12+语言互译。

免费翻译文档

深度研究

AI帮你快速写综述,25分钟生成高质量综述,智能提取关键信息,辅助科研写作。

立即免费体验