• 文献检索
  • 文档翻译
  • 深度研究
  • 学术资讯
  • Suppr Zotero 插件Zotero 插件
  • 邀请有礼
  • 套餐&价格
  • 历史记录
应用&插件
Suppr Zotero 插件Zotero 插件浏览器插件Mac 客户端Windows 客户端微信小程序
定价
高级版会员购买积分包购买API积分包
服务
文献检索文档翻译深度研究API 文档MCP 服务
关于我们
关于 Suppr公司介绍联系我们用户协议隐私条款
关注我们

Suppr 超能文献

核心技术专利:CN118964589B侵权必究
粤ICP备2023148730 号-1Suppr @ 2026

文献检索

告别复杂PubMed语法,用中文像聊天一样搜索,搜遍4000万医学文献。AI智能推荐,让科研检索更轻松。

立即免费搜索

文件翻译

保留排版,准确专业,支持PDF/Word/PPT等文件格式,支持 12+语言互译。

免费翻译文档

深度研究

AI帮你快速写综述,25分钟生成高质量综述,智能提取关键信息,辅助科研写作。

立即免费体验

一药理学批次的蒙昔单抗下调 Smad7 可作为活性克罗恩病的诱导治疗:一项 II 期、开放标签研究。

A Pharmacological Batch of Mongersen that Downregulates Smad7 is Effective as Induction Therapy in Active Crohn's Disease: A Phase II, Open-Label Study.

机构信息

Dipartimento di Medicina dei Sistemi, Università di Roma "Tor Vergata", Via Montpellier, 1, 00133, Rome, Italy.

Gastroenterology Unit, Fondazione Policlinico Tor Vergata, Rome, Italy.

出版信息

BioDrugs. 2021 May;35(3):325-336. doi: 10.1007/s40259-021-00482-x. Epub 2021 Apr 19.

DOI:10.1007/s40259-021-00482-x
PMID:33871807
原文链接:https://pmc.ncbi.nlm.nih.gov/articles/PMC8084825/
Abstract

BACKGROUND

A recent phase III trial did not confirm the previous clinical and endoscopic improvements seen in patients with Crohn's disease (CD) receiving Mongersen, an oral Smad7 antisense oligonucleotide. Factors accounting for such a discrepancy are unknown.

OBJECTIVE

Our objective was to further assess whether Mongersen was effective as induction therapy in active CD and evaluate the in vitro inhibitory effect of various batches of Mongersen used in the previous and present trials on Smad7 expression.

METHODS

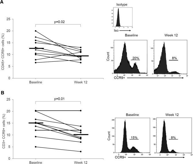
In a phase II, open-label study, 18 patients with active CD (Crohn's Disease Activity Index [CDAI] score > 220 and evidence of endoscopic lesions) received Mongersen 160 mg/day for 12 weeks. The rates of clinical remission, defined as CDAI < 150, and clinical response, defined as a CDAI score decrease ≥ 100, were evaluated at week 4, 8, and 12. The fraction of circulating CCR9-expressing leukocytes was assessed by flow cytometry. Smad7 expression was evaluated in the human colorectal cancer cell line HCT-116 transfected with different batches of Mongersen using real-time polymerase chain reaction (PCR) and Western blotting, RESULTS: The proportions of patients experiencing clinical remission were 38.9%, 55.6%, and 50.0% at week 4, 8, and 12, respectively. At the same time points, the rates of clinical response were 72.2%, 77.8%, and 77.8%, respectively. Mongersen reduced the percentages of CCR9-expressing CD45+ cells. The batch of Mongersen used in this study, but not two batches used in the phase III study, inhibited Smad7 expression in HCT-116 cells.

CONCLUSIONS

The present findings support the clinical benefit of Mongersen in active CD and show that various batches manufactured during the GED0301 program differ in their ability to inhibit in vitro Smad7.

TRIAL REGISTRATION NUMBER

NCT02685683; EudraCT 2015-001693-18.

摘要

背景

最近的一项 III 期临床试验并未证实先前在接受口服 Smad7 反义寡核苷酸 Mongersen 的克罗恩病 (CD) 患者中观察到的临床和内镜改善。导致这种差异的因素尚不清楚。

目的

我们的目的是进一步评估 Mongersen 是否作为活动性 CD 的诱导治疗有效,并评估以前和现在试验中使用的不同批次的 Mongersen 对 Smad7 表达的体外抑制作用。

方法

在一项 II 期、开放标签研究中,18 例活动性 CD 患者(克罗恩病活动指数 [CDAI] 评分>220 且存在内镜病变)接受 Mongersen 160mg/天治疗 12 周。在第 4、8 和 12 周评估临床缓解率(定义为 CDAI<150)和临床反应率(定义为 CDAI 评分下降≥100)。通过流式细胞术评估循环 CCR9 表达白细胞的分数。使用实时聚合酶链反应(PCR)和 Western blotting 评估转染不同批次 Mongersen 的人结直肠癌细胞系 HCT-116 中的 Smad7 表达。

结果

第 4、8 和 12 周时,分别有 38.9%、55.6%和 50.0%的患者出现临床缓解。在相同的时间点,临床反应率分别为 72.2%、77.8%和 77.8%。Mongersen 降低了 CCR9 表达的 CD45+细胞的百分比。本研究中使用的 Mongersen 批次,但不是 III 期研究中使用的两个批次,抑制了 HCT-116 细胞中的 Smad7 表达。

结论

本研究结果支持 Mongersen 在活动性 CD 中的临床获益,并表明 GED0301 计划期间生产的不同批次在抑制体外 Smad7 方面存在差异。

试验注册号

NCT02685683;EudraCT 2015-001693-18。

https://cdn.ncbi.nlm.nih.gov/pmc/blobs/865d/8084825/cc9d24c11f49/40259_2021_482_Fig4_HTML.jpg
https://cdn.ncbi.nlm.nih.gov/pmc/blobs/865d/8084825/ffb1ab516661/40259_2021_482_Fig1_HTML.jpg
https://cdn.ncbi.nlm.nih.gov/pmc/blobs/865d/8084825/80539147dd92/40259_2021_482_Fig2_HTML.jpg
https://cdn.ncbi.nlm.nih.gov/pmc/blobs/865d/8084825/492ad234648b/40259_2021_482_Fig3_HTML.jpg
https://cdn.ncbi.nlm.nih.gov/pmc/blobs/865d/8084825/cc9d24c11f49/40259_2021_482_Fig4_HTML.jpg
https://cdn.ncbi.nlm.nih.gov/pmc/blobs/865d/8084825/ffb1ab516661/40259_2021_482_Fig1_HTML.jpg
https://cdn.ncbi.nlm.nih.gov/pmc/blobs/865d/8084825/80539147dd92/40259_2021_482_Fig2_HTML.jpg
https://cdn.ncbi.nlm.nih.gov/pmc/blobs/865d/8084825/492ad234648b/40259_2021_482_Fig3_HTML.jpg
https://cdn.ncbi.nlm.nih.gov/pmc/blobs/865d/8084825/cc9d24c11f49/40259_2021_482_Fig4_HTML.jpg

相似文献

1
A Pharmacological Batch of Mongersen that Downregulates Smad7 is Effective as Induction Therapy in Active Crohn's Disease: A Phase II, Open-Label Study.一药理学批次的蒙昔单抗下调 Smad7 可作为活性克罗恩病的诱导治疗:一项 II 期、开放标签研究。
BioDrugs. 2021 May;35(3):325-336. doi: 10.1007/s40259-021-00482-x. Epub 2021 Apr 19.
2
Impact of patient characteristics on the clinical efficacy of mongersen (GED-0301), an oral Smad7 antisense oligonucleotide, in active Crohn's disease.患者特征对口服Smad7反义寡核苷酸蒙氏森(GED-0301)治疗活动期克罗恩病临床疗效的影响。
Aliment Pharmacol Ther. 2016 Mar;43(6):717-24. doi: 10.1111/apt.13526. Epub 2016 Jan 13.
3
Mongersen, an oral SMAD7 antisense oligonucleotide, and Crohn's disease.蒙歌根,一种口服 SMAD7 反义寡核苷酸,与克罗恩病。
N Engl J Med. 2015 Mar 19;372(12):1104-13. doi: 10.1056/NEJMoa1407250.
4
CCL20 Is Negatively Regulated by TGF-β1 in Intestinal Epithelial Cells and Reduced in Crohn's Disease Patients With a Successful Response to Mongersen, a Smad7 Antisense Oligonucleotide.CCL20 在肠上皮细胞中受 TGF-β1 负调控,并在对 Smad7 反义寡核苷酸 Mongersen 治疗有应答的克罗恩病患者中减少。
J Crohns Colitis. 2017 May 1;11(5):603-609. doi: 10.1093/ecco-jcc/jjw191.
5
Smad7 Antisense Oligonucleotide-Based Therapy in Crohn's Disease: Is it Time to Re-Evaluate?Smad7 反义寡核苷酸在克罗恩病中的治疗作用:是否到了重新评估的时候?
Mol Diagn Ther. 2022 Sep;26(5):477-481. doi: 10.1007/s40291-022-00606-1. Epub 2022 Jul 16.
6
A phase 1 open-label trial shows that smad7 antisense oligonucleotide (GED0301) does not increase the risk of small bowel strictures in Crohn’s disease.一项 1 期开放标签试验表明,Smad7 反义寡核苷酸(GED0301)不会增加克罗恩病患者小肠狭窄的风险。
Aliment Pharmacol Ther. 2012 Nov;36(9):850-7. doi: 10.1111/apt.12051.
7
Phase I clinical trial of Smad7 knockdown using antisense oligonucleotide in patients with active Crohn's disease.Smad7 反义寡核苷酸敲低治疗活动期克罗恩病的 I 期临床试验。
Mol Ther. 2012 Apr;20(4):870-6. doi: 10.1038/mt.2011.290. Epub 2012 Jan 17.
8
Inhomogeneous Diastereomeric Composition of Mongersen Antisense Phosphorothioate Oligonucleotide Preparations and Related Pharmacological Activity Impairment.蒙戈辛反义硫代磷酸寡核苷酸制剂的非均相立体化学组成及其相关的药理活性损害。
Nucleic Acid Ther. 2022 Aug;32(4):312-320. doi: 10.1089/nat.2021.0089. Epub 2022 Mar 9.
9
Effects of Mongersen (GED-0301) on Endoscopic and Clinical Outcomes in Patients With Active Crohn's Disease.蒙吉森(GED-0301)治疗活动期克罗恩病患者的内镜和临床结局的影响。
Gastroenterology. 2018 Jan;154(1):61-64.e6. doi: 10.1053/j.gastro.2017.08.035. Epub 2017 Aug 25.
10
Smad7 and its Potential as Therapeutic Target in Inflammatory Bowel Diseases.Smad7及其作为炎症性肠病治疗靶点的潜力。
Curr Drug Metab. 2016;17(3):303-6. doi: 10.2174/1389200217666151210130103.

引用本文的文献

1
Designing for medication adherence in inflammatory bowel disease: multi-disciplinary approaches for self-administrable biotherapeutics.炎症性肠病药物依从性的设计:可自我给药生物疗法的多学科方法。
EClinicalMedicine. 2024 Oct 10;77:102850. doi: 10.1016/j.eclinm.2024.102850. eCollection 2024 Nov.
2
Discovery and characterization of stereodefined PMO-gapmers targeting tau.靶向tau的立体定向PMO缺口嵌合体的发现与表征
Mol Ther Nucleic Acids. 2024 Nov 28;36(1):102404. doi: 10.1016/j.omtn.2024.102404. eCollection 2025 Mar 11.
3
Exploring the Role of the TGF-β Signaling Pathway in Colorectal Precancerous Polyps Biochemical Genetics.

本文引用的文献

1
Mongersen and SMAD-7 Inhibition, Not a Lucky 7 for Patients With IBD: When Trial Design Is as Important as Disease Therapy.蒙吉森与 SMAD-7 抑制,IBD 患者并非“幸运 7”:试验设计与疾病治疗同样重要。
Am J Gastroenterol. 2020 May;115(5):687-688. doi: 10.14309/ajg.0000000000000564.
2
Mongersen (GED-0301) for Active Crohn's Disease: Results of a Phase 3 Study.蒙吉森(GED-0301)治疗活动期克罗恩病:一项 3 期研究结果。
Am J Gastroenterol. 2020 May;115(5):738-745. doi: 10.14309/ajg.0000000000000493.
3
Interrogating host immunity to predict treatment response in inflammatory bowel disease.
探索转化生长因子-β信号通路在结直肠癌前息肉生化遗传学中的作用。
Biochem Genet. 2025 Apr;63(2):1116-1148. doi: 10.1007/s10528-024-10988-y. Epub 2024 Dec 5.
4
Preclinical and phase I studies of an antisense oligonucleotide drug targeting in liver cancer.在肝癌中靶向 的反义寡核苷酸药物的临床前和 I 期研究。
Future Oncol. 2024;20(34):2671-2684. doi: 10.2217/fon-2023-0872. Epub 2024 Apr 4.
5
The translational potential of miR-26 in atherosclerosis and development of agents for its target genes ACC1/2, COL1A1, CPT1A, FBP1, DGAT2, and SMAD7.miR-26 在动脉粥样硬化中的转译潜力及其靶基因 ACC1/2、COL1A1、CPT1A、FBP1、DGAT2 和 SMAD7 相关药物的研发。
Cardiovasc Diabetol. 2024 Jan 9;23(1):21. doi: 10.1186/s12933-024-02119-z.
6
Super Carbonate Apatite-miR-497a-5p Complex Is a Promising Therapeutic Option against Inflammatory Bowel Disease.超碳酸盐磷灰石-miR-497a-5p复合物是治疗炎症性肠病的一种有前景的治疗选择。
Pharmaceuticals (Basel). 2023 Apr 19;16(4):618. doi: 10.3390/ph16040618.
7
Smad7 as a positive regulator of intestinal inflammatory diseases.Smad7作为肠道炎症性疾病的正向调节因子。
Curr Res Immunol. 2023 Jan 24;4:100055. doi: 10.1016/j.crimmu.2023.100055. eCollection 2023.
8
Smad7 Antisense Oligonucleotide in Crohn's Disease: A Re-Evaluation and Explanation for the Discordant Results of Clinical Trials.克罗恩病中Smad7反义寡核苷酸:对临床试验不一致结果的重新评估与解释
Pharmaceutics. 2022 Dec 28;15(1):95. doi: 10.3390/pharmaceutics15010095.
9
Localised Delivery of Macromolecules to the Large Intestine: Translation to Clinical Trials.大分子在大肠中的局部递药:向临床试验的转化。
BioDrugs. 2022 Nov;36(6):687-700. doi: 10.1007/s40259-022-00562-6. Epub 2022 Oct 25.
10
Smad7 Antisense Oligonucleotide-Based Therapy in Crohn's Disease: Is it Time to Re-Evaluate?Smad7 反义寡核苷酸在克罗恩病中的治疗作用:是否到了重新评估的时候?
Mol Diagn Ther. 2022 Sep;26(5):477-481. doi: 10.1007/s40291-022-00606-1. Epub 2022 Jul 16.
探讨宿主免疫以预测炎症性肠病的治疗反应。
Nat Rev Gastroenterol Hepatol. 2020 Jan;17(1):9-20. doi: 10.1038/s41575-019-0228-5. Epub 2019 Nov 25.
4
ECCO Guidelines on Therapeutics in Crohn's Disease: Surgical Treatment.ECCO 指南:克罗恩病治疗——手术治疗。
J Crohns Colitis. 2020 Feb 10;14(2):155-168. doi: 10.1093/ecco-jcc/jjz187.
5
ECCO Guidelines on Therapeutics in Crohn's Disease: Medical Treatment.欧洲克罗恩病治疗指南:药物治疗
J Crohns Colitis. 2020 Jan 1;14(1):4-22. doi: 10.1093/ecco-jcc/jjz180.
6
Antisense Oligonucleotide: Basic Concepts and Therapeutic Application in Inflammatory Bowel Disease.反义寡核苷酸:炎症性肠病的基本概念及治疗应用
Front Pharmacol. 2019 Mar 29;10:305. doi: 10.3389/fphar.2019.00305. eCollection 2019.
7
Reciprocal Regulation Between Smad7 and Sirt1 in the Gut.肠道中 Smad7 和 Sirt1 的相互调节
Front Immunol. 2018 Aug 10;9:1854. doi: 10.3389/fimmu.2018.01854. eCollection 2018.
8
Unlocking P(V): Reagents for chiral phosphorothioate synthesis.解锁 P(V):手性磷硫代酸酯合成试剂。
Science. 2018 Sep 21;361(6408):1234-1238. doi: 10.1126/science.aau3369. Epub 2018 Aug 2.
9
Transforming Growth Factor-β1/Smad7 in Intestinal Immunity, Inflammation, and Cancer.转化生长因子-β1/Smad7在肠道免疫、炎症和癌症中的作用
Front Immunol. 2018 Jun 20;9:1407. doi: 10.3389/fimmu.2018.01407. eCollection 2018.
10
Knockdown of Smad7 With a Specific Antisense Oligonucleotide Attenuates Colitis and Colitis-Driven Colonic Fibrosis in Mice.用特异性反义寡核苷酸敲低 Smad7 可减轻小鼠结肠炎和结肠炎驱动的结肠纤维化。
Inflamm Bowel Dis. 2018 May 18;24(6):1213-1224. doi: 10.1093/ibd/izy062.