• 文献检索
  • 文档翻译
  • 深度研究
  • 学术资讯
  • Suppr Zotero 插件Zotero 插件
  • 邀请有礼
  • 套餐&价格
  • 历史记录
应用&插件
Suppr Zotero 插件Zotero 插件浏览器插件Mac 客户端Windows 客户端微信小程序
定价
高级版会员购买积分包购买API积分包
服务
文献检索文档翻译深度研究API 文档MCP 服务
关于我们
关于 Suppr公司介绍联系我们用户协议隐私条款
关注我们

Suppr 超能文献

核心技术专利:CN118964589B侵权必究
粤ICP备2023148730 号-1Suppr @ 2026

文献检索

告别复杂PubMed语法,用中文像聊天一样搜索,搜遍4000万医学文献。AI智能推荐,让科研检索更轻松。

立即免费搜索

文件翻译

保留排版,准确专业,支持PDF/Word/PPT等文件格式,支持 12+语言互译。

免费翻译文档

深度研究

AI帮你快速写综述,25分钟生成高质量综述,智能提取关键信息,辅助科研写作。

立即免费体验

养老院居民中与感染相关的住院与认知障碍的关联。

Association of Infection-Related Hospitalization With Cognitive Impairment Among Nursing Home Residents.

机构信息

RAND Corporation, Arlington, Virginia.

Now with RAND Corporation, Santa Monica, California.

出版信息

JAMA Netw Open. 2021 Apr 1;4(4):e217528. doi: 10.1001/jamanetworkopen.2021.7528.

DOI:10.1001/jamanetworkopen.2021.7528
PMID:33890988
原文链接:https://pmc.ncbi.nlm.nih.gov/articles/PMC8065379/
Abstract

IMPORTANCE

Hospitalizations for infections among nursing home (NH) residents remain common despite national initiatives to reduce them. Cognitive impairment, which markedly affects quality of life and caregiving needs, has been associated with hospitalizations, but the association between infection-related hospitalizations and long-term cognitive function among NH residents is unknown.

OBJECTIVE

To examine whether there are changes in cognitive function before vs after infection-related hospitalizations among NH residents.

DESIGN, SETTING, AND PARTICIPANTS: This cohort study used data from the Minimum Data Set 3.0 linked to Medicare hospitalization data from 2011 to 2017 for US nursing home residents aged 65 years or older who had experienced an infection-related hospitalization and had at least 2 quarterly Minimum Data Set assessments before and 4 or more after the infection-related hospitalization. Analyses were performed from September 1, 2019, to December 21, 2020.

EXPOSURE

Infection-related hospitalization lasting 1 to 14 days.

MAIN OUTCOMES AND MEASURES

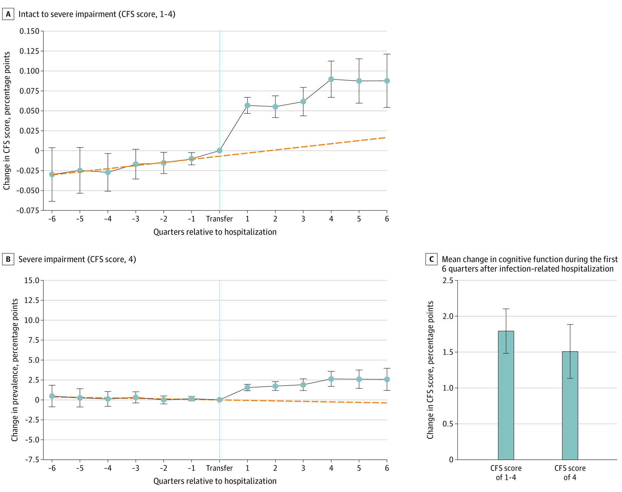
Using an event study approach, associations between infection-related hospitalizations and quarterly changes in cognitive function among NH residents were examined overall and by sex, age, Alzheimer disease and related dementias (ADRD) diagnosis, and sepsis vs other infection-related diagnoses. Resident-level cognitive function was measured using the Cognitive Function Scale (CFS), with scores ranging from 1 (intact) to 4 (severe cognitive impairment).

RESULTS

Of the sample of 20 698 NH residents, 71.0% were women and 82.6% were non-Hispanic White individuals; the mean (SD) age at the time of transfer to the hospital was 82 (8.5) years. The mean CFS score was 2.17, and the prevalence of severe cognitive impairment (CFS score, 4) was 9.0%. During the first quarter after an infection-related hospitalization, residents experienced a mean increase of 0.06 points in CFS score (95% CI, 0.05-0.07 points; P < .001), or 3%. The increase in scores was greatest among residents aged 85 years or older vs younger residents by approximately 0.022 CFS points (95% CI, 0.004-0.040 points; P < .05). The prevalence of severe cognitive impairment increased by 1.6 percentage points (95% CI, 1.2-2.0 percentage points; P < .001), or 18%; the increases were observed among individuals with ADRD but not among those without it. After an infection-related hospitalization, cognition among residents who had experienced sepsis declined more than for residents who had not by about 0.02 CFS points (95% CI, 0.00-0.04 points; P < .05). All observed differences persisted without an accelerated rate of decline for at least 6 quarters after infection-related hospitalization. No differences were observed by sex.

CONCLUSIONS AND RELEVANCE

In this cohort study, infection-related hospitalization was associated with immediate and persistent cognitive decline among nursing home residents, with the largest increase in CFS scores among older residents, those with ADRD, and those who had experienced sepsis. Identification of NH residents at risk of worsened cognition after an infection-related hospitalization may help to ensure that their care needs are addressed to prevent further cognitive decline.

https://cdn.ncbi.nlm.nih.gov/pmc/blobs/86b1/8065379/aa459cc9314b/jamanetwopen-e217528-g003.jpg
https://cdn.ncbi.nlm.nih.gov/pmc/blobs/86b1/8065379/021d6e72746f/jamanetwopen-e217528-g001.jpg
https://cdn.ncbi.nlm.nih.gov/pmc/blobs/86b1/8065379/b8a516303e2a/jamanetwopen-e217528-g002.jpg
https://cdn.ncbi.nlm.nih.gov/pmc/blobs/86b1/8065379/aa459cc9314b/jamanetwopen-e217528-g003.jpg
https://cdn.ncbi.nlm.nih.gov/pmc/blobs/86b1/8065379/021d6e72746f/jamanetwopen-e217528-g001.jpg
https://cdn.ncbi.nlm.nih.gov/pmc/blobs/86b1/8065379/b8a516303e2a/jamanetwopen-e217528-g002.jpg
https://cdn.ncbi.nlm.nih.gov/pmc/blobs/86b1/8065379/aa459cc9314b/jamanetwopen-e217528-g003.jpg
摘要

重要性:尽管国家采取了减少疗养院(NH)居民感染住院的措施,但感染住院的情况仍然很常见。认知障碍严重影响生活质量和护理需求,与住院有关,但 NH 居民感染相关住院与长期认知功能之间的关系尚不清楚。

目的:研究 NH 居民在感染相关住院前后认知功能是否发生变化。

设计、地点和参与者:本队列研究使用了来自 2011 年至 2017 年美国 65 岁及以上经历过感染相关住院且在感染相关住院前后至少有 2 个季度最低数据集评估的 NH 居民的最低数据集 3.0 与 Medicare 住院数据相关联。分析于 2019 年 9 月 1 日至 2020 年 12 月 21 日进行。

暴露:持续 1 至 14 天的感染相关住院。

主要结果和措施:使用事件研究方法,总体上和按性别、年龄、阿尔茨海默病和相关痴呆症(ADRD)诊断以及脓毒症与其他感染相关诊断,研究了感染相关住院与 NH 居民每季度认知功能变化之间的关联。居民的认知功能使用认知功能量表(CFS)进行测量,得分范围为 1(完整)至 4(严重认知障碍)。

结果:在 20698 名 NH 居民中,71.0%为女性,82.6%为非西班牙裔白人;转移到医院时的平均(SD)年龄为 82(8.5)岁。平均 CFS 评分为 2.17,严重认知障碍(CFS 评分,4)的患病率为 9.0%。在感染相关住院后的第一个季度,居民的 CFS 评分平均增加了 0.06 分(95%CI,0.05-0.07 分;P < .001),即 3%。85 岁及以上的居民比年轻居民的分数增加了约 0.022 CFS 点(95%CI,0.004-0.040 点;P < .05)。严重认知障碍的患病率增加了 1.6 个百分点(95%CI,1.2-2.0 个百分点;P < .001),即 18%;在患有 ADRD 的个体中观察到了这些增加,但在没有 ADRD 的个体中没有观察到这些增加。感染相关住院后,经历过脓毒症的居民的认知能力下降幅度大于未经历过脓毒症的居民,约为 0.02 CFS 点(95%CI,0.00-0.04 点;P < .05)。至少在感染相关住院后 6 个季度,所有观察到的差异都持续存在,且没有加速下降的趋势。未观察到性别差异。

结论和相关性:在这项队列研究中,感染相关住院与 NH 居民的认知能力立即和持续下降有关,在年龄较大的居民、患有 ADRD 的居民和经历过脓毒症的居民中,CFS 评分的增加最大。确定感染相关住院后认知能力恶化风险较高的 NH 居民,可能有助于确保满足其护理需求,以防止认知能力进一步下降。

相似文献

1
Association of Infection-Related Hospitalization With Cognitive Impairment Among Nursing Home Residents.养老院居民中与感染相关的住院与认知障碍的关联。
JAMA Netw Open. 2021 Apr 1;4(4):e217528. doi: 10.1001/jamanetworkopen.2021.7528.
2
Potentially Avoidable Hospitalizations Among Historically Marginalized Nursing Home Residents.历史上被边缘化的养老院居民中潜在可避免的住院治疗。
JAMA Netw Open. 2024 May 1;7(5):e249312. doi: 10.1001/jamanetworkopen.2024.9312.
3
Racial disparity in end-of-life hospitalizations among nursing home residents with dementia.患有痴呆症的养老院居民临终住院方面的种族差异。
J Am Geriatr Soc. 2021 Jul;69(7):1877-1886. doi: 10.1111/jgs.17117. Epub 2021 Mar 22.
4
Racial Differences in Hospitalizations of Dying Medicare-Medicaid Dually Eligible Nursing Home Residents.医疗保险与医疗补助双重资格的临终疗养院居民住院情况的种族差异
J Am Geriatr Soc. 2016 Sep;64(9):1798-805. doi: 10.1111/jgs.14284. Epub 2016 Aug 22.
5
Assessment of Rural-Urban Differences in Health Care Use and Survival Among Medicare Beneficiaries With Alzheimer Disease and Related Dementia.评估 Medicare 受益人群中阿尔茨海默病和相关痴呆患者的城乡医疗保健使用和生存差异。
JAMA Netw Open. 2020 Oct 1;3(10):e2022111. doi: 10.1001/jamanetworkopen.2020.22111.
6
Telemedicine Utilization Among Residents With Alzheimer Disease and Related Dementia: Association With Nursing Home Characteristics.远程医疗在阿尔茨海默病和相关痴呆患者中的应用:与养老院特征的关联。
J Am Med Dir Assoc. 2024 Sep;25(9):105152. doi: 10.1016/j.jamda.2024.105152. Epub 2024 Jul 14.
7
Nurse Practitioner Care, Scope of Practice, and End-of-Life Outcomes for Nursing Home Residents With Dementia.护士从业者的护理、执业范围以及疗养院痴呆患者的临终结局。
JAMA Health Forum. 2024 May 3;5(5):e240825. doi: 10.1001/jamahealthforum.2024.0825.
8
Association of Private Equity Investment in US Nursing Homes With the Quality and Cost of Care for Long-Stay Residents.美国私人股本投资养老院与长期居民护理质量和成本的关联。
JAMA Health Forum. 2021 Nov 19;2(11):e213817. doi: 10.1001/jamahealthforum.2021.3817. eCollection 2021 Nov.
9
Hospital Transfer Rates Among US Nursing Home Residents With Advanced Illness Before and After Initiatives to Reduce Hospitalizations.美国在采取减少住院措施前后,患有晚期疾病的养老院居民的住院转移率。
JAMA Intern Med. 2020 Mar 1;180(3):385-394. doi: 10.1001/jamainternmed.2019.6130.
10
Clinicians Who Practice Primarily in Nursing Homes and the Quality of End-of-Life Care Among Residents.主要在养老院行医的临床医生和居民的临终关怀质量。
JAMA Netw Open. 2024 Mar 4;7(3):e242546. doi: 10.1001/jamanetworkopen.2024.2546.

引用本文的文献

1
Postoperative Delirium in Older Adults Undergoing Noncardiac Surgery.接受非心脏手术的老年人术后谵妄
JAMA Netw Open. 2025 Jul 1;8(7):e2519467. doi: 10.1001/jamanetworkopen.2025.19467.
2
COVID-19 and Cognitive Change in a Community-Based Cohort.基于社区队列的新冠病毒病与认知变化
JAMA Netw Open. 2025 Jun 2;8(6):e2518648. doi: 10.1001/jamanetworkopen.2025.18648.
3
Regional brain structural alterations in reward and salience networks in asthma.哮喘患者奖赏和突显网络中的脑区结构改变

本文引用的文献

1
Association of Hospitalization with Long-Term Cognitive Trajectories in Older Adults.住院与老年人长期认知轨迹的关联。
J Am Geriatr Soc. 2021 Mar;69(3):660-668. doi: 10.1111/jgs.16909. Epub 2020 Oct 31.
2
Long-Term Care, Residential Facilities, and COVID-19: An Overview of Federal and State Policy Responses.长期护理、住宿设施和 COVID-19:联邦和州政策应对概述。
J Am Med Dir Assoc. 2020 Sep;21(9):1186-1190. doi: 10.1016/j.jamda.2020.07.001. Epub 2020 Jul 4.
3
COVID-19 in Nursing Homes: Calming the Perfect Storm.养老院中的 COVID-19:平息完美风暴。
Brain Behav Immun. 2025 May;126:80-97. doi: 10.1016/j.bbi.2025.01.028. Epub 2025 Feb 5.
4
Urban and Rural Disparities in COVID-19 Outcomes in the United States: A Systematic Review.美国新冠肺炎疫情结果中的城乡差异:一项系统综述
Med Care Res Rev. 2025 Apr;82(2):119-136. doi: 10.1177/10775587241298566. Epub 2024 Dec 10.
5
Prescribing Trends and Associated Outcomes of Antiepileptic Drugs and Other Psychotropic Medications in US Nursing Homes: Proposal for a Mixed Methods Investigation.美国养老院中抗癫痫药物和其他精神药物的处方趋势及相关结局:混合方法研究建议。
JMIR Res Protoc. 2024 Sep 19;13:e64446. doi: 10.2196/64446.
6
Differences in Timely Goals of Care Discussions in Nursing Homes Among Black Residents.黑人居民在养老院接受护理讨论的及时目标方面的差异。
Am J Hosp Palliat Care. 2024 Sep 15:10499091241284073. doi: 10.1177/10499091241284073.
7
Potentially Avoidable Hospitalizations Among Historically Marginalized Nursing Home Residents.历史上被边缘化的养老院居民中潜在可避免的住院治疗。
JAMA Netw Open. 2024 May 1;7(5):e249312. doi: 10.1001/jamanetworkopen.2024.9312.
8
Sex-Biased Expression and Response of microRNAs in Neurological Diseases and Neurotrauma.性别偏倚在神经疾病和神经损伤中 microRNAs 的表达和反应。
Int J Mol Sci. 2024 Feb 24;25(5):2648. doi: 10.3390/ijms25052648.
9
Infection, Inflammation, and Poststroke Cognitive Impairment.感染、炎症与卒中后认知障碍
J Am Heart Assoc. 2024 Jan 16;13(2):e9130. doi: 10.1161/JAHA.123.033015. Epub 2024 Jan 12.
10
Timing of Goals of Care Discussions in Nursing Homes: A Systematic Review.养老院中进行关怀目标讨论的时机:系统评价。
J Am Med Dir Assoc. 2023 Dec;24(12):1820-1830. doi: 10.1016/j.jamda.2023.09.024. Epub 2023 Oct 31.
J Am Geriatr Soc. 2020 Oct;68(10):2153-2162. doi: 10.1111/jgs.16784. Epub 2020 Sep 2.
4
Mitigation of a Coronavirus Disease 2019 Outbreak in a Nursing Home Through Serial Testing of Residents and Staff.对居民和员工进行连续检测以减轻养老院的 2019 冠状病毒病疫情。
Clin Infect Dis. 2021 May 4;72(9):e394-e396. doi: 10.1093/cid/ciaa1021.
5
Hospital Transfer Rates Among US Nursing Home Residents With Advanced Illness Before and After Initiatives to Reduce Hospitalizations.美国在采取减少住院措施前后,患有晚期疾病的养老院居民的住院转移率。
JAMA Intern Med. 2020 Mar 1;180(3):385-394. doi: 10.1001/jamainternmed.2019.6130.
6
Hospitalization, Alzheimer's Disease and Related Neuropathologies, and Cognitive Decline.住院治疗、阿尔茨海默病及相关神经病理学与认知能力下降。
Ann Neurol. 2019 Dec;86(6):844-852. doi: 10.1002/ana.25621. Epub 2019 Oct 23.
7
Can hospitalization be hazardous to your health? A nosocomial based stress model for hospitalization.住院会对你的健康有害吗?基于医院的住院压力模型。
Gen Hosp Psychiatry. 2019 Sep-Oct;60:83-89. doi: 10.1016/j.genhosppsych.2019.07.014. Epub 2019 Jul 26.
8
Mortality and hospitalization at the end of life in newly admitted nursing home residents with and without dementia.在新入住的养老院居民中,有无痴呆症的患者在生命末期的死亡率和住院率。
Soc Psychiatry Psychiatr Epidemiol. 2018 Aug;53(8):833-839. doi: 10.1007/s00127-018-1523-0. Epub 2018 May 2.
9
Can Sepsis Be Detected in the Nursing Home Prior to the Need for Hospital Transfer?养老院中是否可以在需要转院之前检测出脓毒症?
J Am Med Dir Assoc. 2018 Jun;19(6):492-496.e1. doi: 10.1016/j.jamda.2018.02.001. Epub 2018 Mar 26.
10
Long-Term Cognitive Impairment after Hospitalization for Community-Acquired Pneumonia: a Prospective Cohort Study.社区获得性肺炎住院后长期认知障碍:一项前瞻性队列研究。
J Gen Intern Med. 2018 Jun;33(6):929-935. doi: 10.1007/s11606-017-4301-x. Epub 2018 Jan 26.