• 文献检索
  • 文档翻译
  • 深度研究
  • 学术资讯
  • Suppr Zotero 插件Zotero 插件
  • 邀请有礼
  • 套餐&价格
  • 历史记录
应用&插件
Suppr Zotero 插件Zotero 插件浏览器插件Mac 客户端Windows 客户端微信小程序
定价
高级版会员购买积分包购买API积分包
服务
文献检索文档翻译深度研究API 文档MCP 服务
关于我们
关于 Suppr公司介绍联系我们用户协议隐私条款
关注我们

Suppr 超能文献

核心技术专利:CN118964589B侵权必究
粤ICP备2023148730 号-1Suppr @ 2026

文献检索

告别复杂PubMed语法,用中文像聊天一样搜索,搜遍4000万医学文献。AI智能推荐,让科研检索更轻松。

立即免费搜索

文件翻译

保留排版,准确专业,支持PDF/Word/PPT等文件格式,支持 12+语言互译。

免费翻译文档

深度研究

AI帮你快速写综述,25分钟生成高质量综述,智能提取关键信息,辅助科研写作。

立即免费体验

饼干中化学膨松剂的热力学描述。

Thermodynamic description of the chemical leavening in biscuits.

作者信息

van der Sman R G M

机构信息

Wageningen Food Biobased Research, Wageningen University & Research, Netherlands.

出版信息

Curr Res Food Sci. 2021 Mar 26;4:191-199. doi: 10.1016/j.crfs.2021.03.006. eCollection 2021.

DOI:10.1016/j.crfs.2021.03.006
PMID:33899006
原文链接:https://pmc.ncbi.nlm.nih.gov/articles/PMC8056436/
Abstract

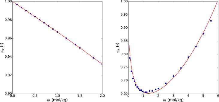
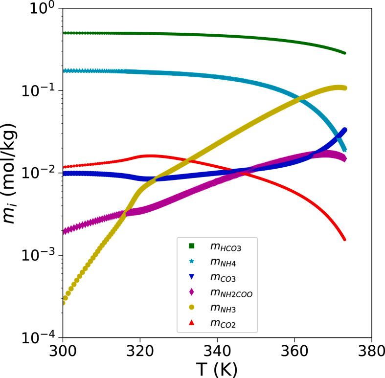
In this paper we describe the chemical reactions of leavening agents in baking biscuits on a sound thermodynamic basis. The model is part in a sequel targetted at physical understanding of biscuit baking with the purpose of reformulation of biscuits with respect to sucrose and sodium levels. The chemical leavening gases, CO2 and NH3, originate from the dissociation of sodium and ammonium bicarbonate. Next to water vapour, these produced gases create gas bubbles in the biscuit dough. The concentrations of the leavening agents and added salt lead to high ionic strength. Consequently, the activities of ions participating in the leavening reaction deviate strongly from ideality. The non-idealities are described using the Pitzer equations. The values of many parameters of the Pitzer model and equilibrium constants are obtained from the strong developed field of CO2 sequestering in ammonia solutions. The model describing the chemical reactions is coupled to a cell model describing the expansion of gas bubbles. Model simulations show that most of the produced gas originates from the bicarbonate, and the ammonium contributes significantly less. The functionality of ammonium as leavening agent is not quite clear, but it may help in reducing sodium levels.

摘要

在本文中,我们基于合理的热力学基础描述了烘焙饼干时膨松剂的化学反应。该模型是后续研究的一部分,旨在从物理角度理解饼干烘焙过程,以便在蔗糖和钠含量方面对饼干进行重新配方设计。化学膨松气体二氧化碳和氨气源于碳酸氢钠和碳酸氢铵的分解。除了水蒸气,这些产生的气体在饼干面团中形成气泡。膨松剂和添加盐的浓度导致高离子强度。因此,参与膨松反应的离子活度与理想情况有很大偏差。非理想性用皮泽方程描述。皮泽模型的许多参数值和平衡常数是从氨溶液中二氧化碳封存这一成熟领域获得的。描述化学反应的模型与描述气泡膨胀的单元模型相耦合。模型模拟表明,产生的大部分气体来自碳酸氢盐,铵的贡献要小得多。铵作为膨松剂的功能尚不完全清楚,但它可能有助于降低钠含量。

https://cdn.ncbi.nlm.nih.gov/pmc/blobs/9319/8056436/e307266d9ebe/gr7.jpg
https://cdn.ncbi.nlm.nih.gov/pmc/blobs/9319/8056436/6f2d11cbdf61/gr1.jpg
https://cdn.ncbi.nlm.nih.gov/pmc/blobs/9319/8056436/6acef3295768/gr2.jpg
https://cdn.ncbi.nlm.nih.gov/pmc/blobs/9319/8056436/322397b1cd87/gr3.jpg
https://cdn.ncbi.nlm.nih.gov/pmc/blobs/9319/8056436/b5022aa06cbc/gr4.jpg
https://cdn.ncbi.nlm.nih.gov/pmc/blobs/9319/8056436/b3a6262dfc97/gr5.jpg
https://cdn.ncbi.nlm.nih.gov/pmc/blobs/9319/8056436/a88249a69d7b/gr6.jpg
https://cdn.ncbi.nlm.nih.gov/pmc/blobs/9319/8056436/e307266d9ebe/gr7.jpg
https://cdn.ncbi.nlm.nih.gov/pmc/blobs/9319/8056436/6f2d11cbdf61/gr1.jpg
https://cdn.ncbi.nlm.nih.gov/pmc/blobs/9319/8056436/6acef3295768/gr2.jpg
https://cdn.ncbi.nlm.nih.gov/pmc/blobs/9319/8056436/322397b1cd87/gr3.jpg
https://cdn.ncbi.nlm.nih.gov/pmc/blobs/9319/8056436/b5022aa06cbc/gr4.jpg
https://cdn.ncbi.nlm.nih.gov/pmc/blobs/9319/8056436/b3a6262dfc97/gr5.jpg
https://cdn.ncbi.nlm.nih.gov/pmc/blobs/9319/8056436/a88249a69d7b/gr6.jpg
https://cdn.ncbi.nlm.nih.gov/pmc/blobs/9319/8056436/e307266d9ebe/gr7.jpg

相似文献

1
Thermodynamic description of the chemical leavening in biscuits.饼干中化学膨松剂的热力学描述。
Curr Res Food Sci. 2021 Mar 26;4:191-199. doi: 10.1016/j.crfs.2021.03.006. eCollection 2021.
2
Influence of different baking powders on physico-chemical, sensory and volatile compounds in biscuits and their impact on textural modifications during soaking.不同泡打粉对饼干理化性质、感官特性及挥发性成分的影响及其对浸泡过程中质地变化的作用
J Food Sci Technol. 2020 Oct;57(10):3864-3873. doi: 10.1007/s13197-020-04418-1. Epub 2020 Apr 13.
3
Application of CO Gas Hydrates as Leavening Agents in Black-and-White Cookies.一氧化碳气体水合物作为黑白饼干膨松剂的应用。
Foods. 2023 Jul 23;12(14):2797. doi: 10.3390/foods12142797.
4
Fate of aflatoxins B1 and G 1 residues during biscuit processing.饼干加工过程中黄曲霉毒素 B1 和 G1 残留的命运。
Mycotoxin Res. 1996 Sep;12(2):99-104. doi: 10.1007/BF03192268.
5
Mitigation of Acrylamide Content in Biscuits through Combined Physical and Chemical Strategies.通过物理和化学联合策略降低饼干中丙烯酰胺的含量
Foods. 2022 Aug 5;11(15):2343. doi: 10.3390/foods11152343.
6
An Innovative Approach in the Baking of Bread with CO Gas Hydrates as Leavening Agents.一种以一氧化碳气体水合物作为膨松剂烘焙面包的创新方法。
Foods. 2022 Nov 9;11(22):3570. doi: 10.3390/foods11223570.
7
Study of Physico-Chemical Properties of Dough and Wood Oven-Baked Pizza Base: The Effect of Leavening Time.面团和木柴烤箱烘焙披萨饼底的物理化学性质研究:发酵时间的影响。
Foods. 2023 Mar 26;12(7):1407. doi: 10.3390/foods12071407.
8
A dynamic micro-scale dough foaming and baking analysis - Comparison of dough inflation based on different leavening agents.动态微观尺度面团发泡与烘焙分析——基于不同膨松剂的面团膨胀比较
Food Res Int. 2023 Feb;164:112342. doi: 10.1016/j.foodres.2022.112342. Epub 2022 Dec 20.
9
Use of a pressuremeter to measure the kinetics of carbon dioxide evolution in chemically leavened wheat flour dough.使用压力计测量化学膨松小麦粉面团中二氧化碳逸出的动力学。
J Agric Food Chem. 2008 Nov 12;56(21):9855-61. doi: 10.1021/jf801125f. Epub 2008 Oct 9.
10
Waffle production: influence of batter ingredients on sticking of waffles at baking plates-Part II: effect of fat, leavening agent, and water.华夫饼制作:面糊成分对华夫饼在烤盘上粘连的影响 - 第二部分:脂肪、膨松剂和水的影响
Food Sci Nutr. 2016 Sep 20;5(3):513-520. doi: 10.1002/fsn3.425. eCollection 2017 May.

本文引用的文献

1
Understanding functionality of sucrose in biscuits for reformulation purposes.了解饼干中蔗糖的功能,以进行配方改革。
Crit Rev Food Sci Nutr. 2019;59(14):2225-2239. doi: 10.1080/10408398.2018.1442315. Epub 2018 Mar 9.
2
Predicting the solubility of mixtures of sugars and their replacers using the Flory-Huggins theory.利用弗洛里-哈金斯理论预测糖及其替代品混合物的溶解度。
Food Funct. 2017 Jan 25;8(1):360-371. doi: 10.1039/c6fo01497f.
3
Multiscale analysis of structure development in expanded starch snacks.
J Phys Condens Matter. 2014 Nov 19;26(46):464103. doi: 10.1088/0953-8984/26/46/464103. Epub 2014 Oct 27.
4
Cookie- versus cracker-baking--what's the difference? Flour functionality requirements explored by SRC and alveography.饼干面团与甜酥面团——有何区别?SRC 和 alveography 研究面粉功能要求。
Crit Rev Food Sci Nutr. 2014;54(1):115-38. doi: 10.1080/10408398.2011.578469.
5
Saltiness enhancement by savory aroma compounds.咸味增强剂的香气化合物。
J Food Sci. 2011 Jun-Jul;76(5):S280-8. doi: 10.1111/j.1750-3841.2011.02198.x. Epub 2011 May 17.
6
Kinetics of the reversible reaction of CO2(aq) with ammonia in aqueous solution.CO2(aq)与氨在水溶液中可逆反应的动力学。
J Phys Chem A. 2011 Jun 23;115(24):6405-12. doi: 10.1021/jp108491a. Epub 2011 May 20.
7
Use of a pressuremeter to measure the kinetics of carbon dioxide evolution in chemically leavened wheat flour dough.使用压力计测量化学膨松小麦粉面团中二氧化碳逸出的动力学。
J Agric Food Chem. 2008 Nov 12;56(21):9855-61. doi: 10.1021/jf801125f. Epub 2008 Oct 9.
8
Investigations on the promoting effect of ammonium hydrogencarbonate on the formation of acrylamide in model systems.碳酸氢铵对模型体系中丙烯酰胺形成的促进作用研究。
J Agric Food Chem. 2006 Dec 27;54(26):10253-61. doi: 10.1021/jf0625860.
9
Stewart and beyond: new models of acid-base balance.斯图尔特及其他:酸碱平衡的新模式。
Kidney Int. 2003 Sep;64(3):777-87. doi: 10.1046/j.1523-1755.2003.00177.x.