Suppr超能文献

[CD45RO⁺记忆性T淋巴细胞作为非小细胞肺癌的候选标志物]

[CD45RO⁺ Memory T Lymphocytes As A Candidate Marker for Non-small Cell Lung Cancer].

作者信息

Tan Qifan, Li Haoyang, Yu Mengjun, Tang Xiaonan, Tan Jinjing, Zhang Shucai, Wang Jinghui

机构信息

Department of Medical Oncology, Beijing Chest Hospital, Capital Medical University, Beijing Tuberculosis and Thoracic Tumor Research Institute, Beijing 101149, China.

Cancer Research Center, Beijing Chest Hospital, Capital Medical University, 
Beijing Tuberculosis and Thoracic Tumor Research Institute, Beijing 101149, China.

出版信息

Zhongguo Fei Ai Za Zhi. 2021 Apr 20;24(4):254-264. doi: 10.3779/j.issn.1009-3419.2021.103.05.

Abstract

BACKGROUND

Lung cancer is the most common malignancy world-wide. There are a variety of immune infiltrating cells in tumor microenvironment, which is an important component of tumor immunity and has clinical significance for the prognosis of patients. CD45RO is a surface marker of memory T cells. The expression of CD45RO⁺ tumor infiltrating lymphocytes (TILs) is associated with the prognosis of many tumors. The purpose of this study was to evaluate the relationship between the density of CD45RO⁺ TILs in tumor and stromal area and the clinical characteristics of patients with non-small cell lung cancer (NSCLC) and its impact on the prognosis of patients. We aimed to explore the clinical value of CD45RO⁺ TILs and programmed cell death ligand 1 (PD-L1) as prognostic markers.

METHODS

Multiple fluorescent immunohistochemical staining was used to stain the tissue microarray chips of 167 patients with NSCLC, marking CD45RO, cytokeratin (CK) and PD-L1. Using artificial intelligence image recognition technology and tumor cell-specific CK staining, divide the tumor and stromal area in the tissue, evaluate the density of CD45RO⁺ TILs in the tumor and stromal area, and the expression level of PD-L1 in tumor cells. The non-parametric test was used to analyze the relationship between CD45RO⁺ TILs and the clinical characteristics of patients, and the Kaplan-Meier method and Cox risk ratio model were used to analyze the relationship between CD45RO⁺ TILs independently or in combination with PD-L1 and tumor prognosis.

RESULTS

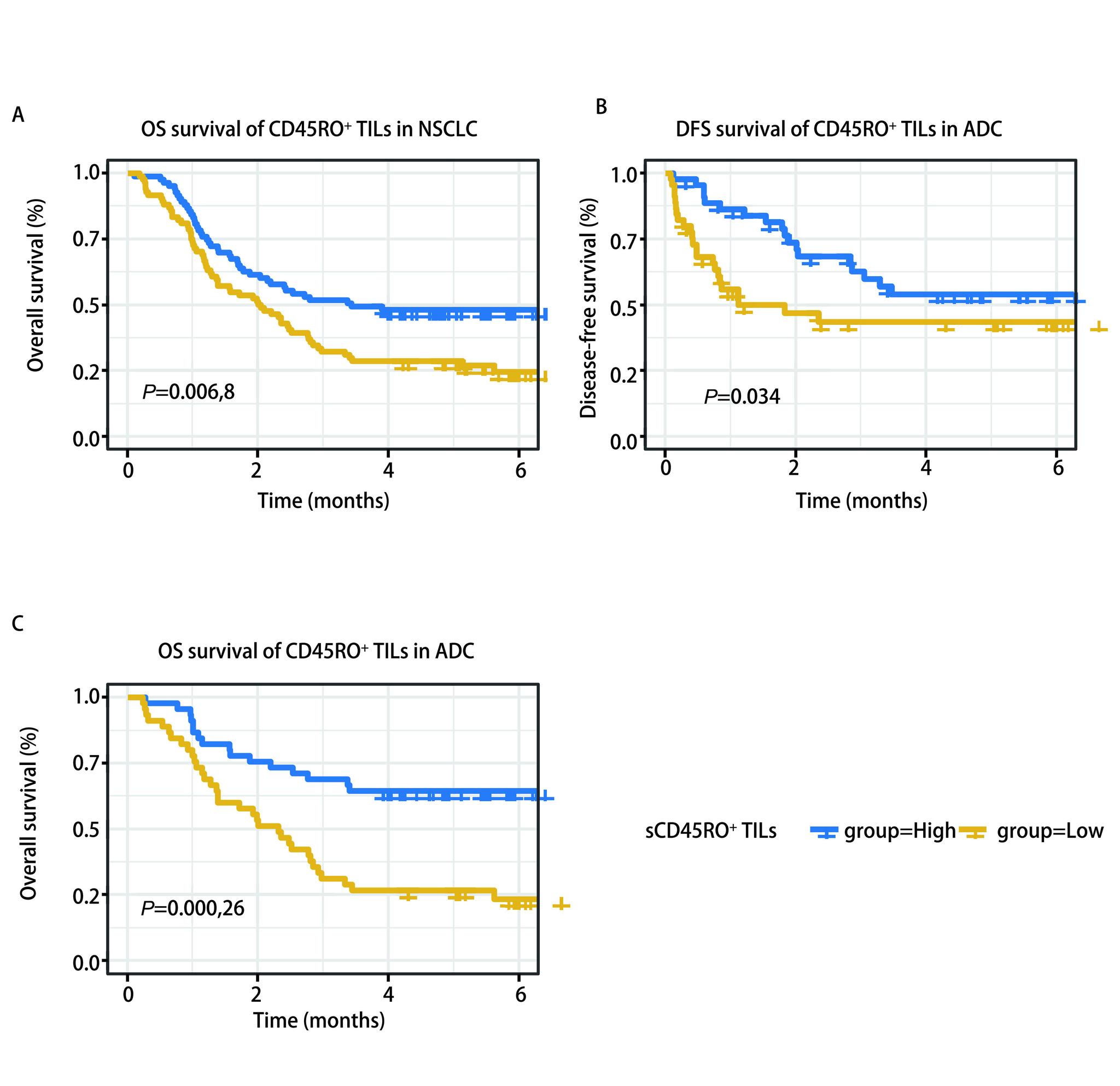
The density of CD45RO⁺ TILs was significantly associated with patient age, smoking, tumor stage, and pathological type. Single-factor survival analysis showed that NSCLC (P=0.007) stromal region and lung adenocarcinoma (LUAD) (P<0.001) with CD45RO⁺ TILs high density had better OS. Multivariate survival analysis showed that the high density of CD45RO⁺ TILs in the stromal region of NSCLC (HR=0.559, 95%CI: 0.377-0.829, P=0.004) and lung adenocarcinoma (HR=0.352, 95%CI: 0.193-0.641, P=0.001) were independent prognostic factors for overall survival time (OS). Combined with PD-L1 score of tumor cells in tumor tissues and infiltration score of CD45RO⁺ TILs in all tumor tissues, the patients were divided into 4 groups: patients with PD-L1⁺/CD45RO⁺ had the longest disease-free survival (DFS) time, and patients with PD-L1⁺/CD45RO- had the shortest DFS time. Multivariate Cox regression analysis showed that PD-L1⁺/CD45RO- was an independent prognostic factor for DFS and had a higher risk of poor prognosis compared to the other three groups (HR=2.221, 95%CI: 1.258-3.919, P=0.006).

CONCLUSIONS

In tumor tissues, the density of CD45RO⁺ TILs, as well as the combination of CD45RO⁺ TILs and PD-L1 in tumor areas, significantly correlated with clinicopathological features and prognosis of NSCLC, which can be used as a new prognosis marker.

摘要

背景

肺癌是全球最常见的恶性肿瘤。肿瘤微环境中存在多种免疫浸润细胞,这是肿瘤免疫的重要组成部分,对患者的预后具有临床意义。CD45RO是记忆T细胞的表面标志物。CD45RO⁺肿瘤浸润淋巴细胞(TILs)的表达与许多肿瘤的预后相关。本研究的目的是评估肿瘤和基质区域中CD45RO⁺TILs的密度与非小细胞肺癌(NSCLC)患者临床特征之间的关系及其对患者预后的影响。我们旨在探讨CD45RO⁺TILs和程序性细胞死亡配体1(PD-L1)作为预后标志物的临床价值。

方法

采用多重荧光免疫组织化学染色对167例NSCLC患者的组织芯片进行染色,标记CD45RO、细胞角蛋白(CK)和PD-L1。利用人工智能图像识别技术和肿瘤细胞特异性CK染色,划分组织中的肿瘤和基质区域,评估肿瘤和基质区域中CD45RO⁺TILs的密度以及肿瘤细胞中PD-L1的表达水平。采用非参数检验分析CD45RO⁺TILs与患者临床特征之间的关系,采用Kaplan-Meier法和Cox风险比模型分析CD45RO⁺TILs单独或与PD-L1联合与肿瘤预后之间的关系。

结果

CD45RO⁺TILs的密度与患者年龄、吸烟、肿瘤分期和病理类型显著相关。单因素生存分析显示,CD45RO⁺TILs高密度的NSCLC(P=0.007)基质区域和肺腺癌(LUAD)(P<0.001)的总生存期(OS)较好。多因素生存分析显示,NSCLC(HR=0.559,95%CI:0.377-0.829,P=0.004)和肺腺癌(HR=0.352,95%CI:0.193-0.641,P=0.001)基质区域中CD45RO⁺TILs的高密度是总生存时间(OS)的独立预后因素。结合肿瘤组织中肿瘤细胞的PD-L1评分和所有肿瘤组织中CD45RO⁺TILs的浸润评分,将患者分为4组:PD-L1⁺/CD45RO⁺患者的无病生存期(DFS)最长,PD-L1⁺/CD45RO-患者的DFS最短。多因素Cox回归分析显示,PD-L1⁺/CD45RO-是DFS的独立预后因素,与其他三组相比预后不良风险更高(HR=2.221,95%CI:1.258-3.919,P=0.006)。

结论

在肿瘤组织中,CD45RO⁺TILs的密度以及肿瘤区域中CD45RO⁺TILs与PD-L1的联合与NSCLC的临床病理特征和预后显著相关,可作为新的预后标志物。

https://cdn.ncbi.nlm.nih.gov/pmc/blobs/8001/8105606/22b901838765/zgfazz-24-4-254-1.jpg

文献AI研究员

20分钟写一篇综述,助力文献阅读效率提升50倍。

立即体验

用中文搜PubMed

大模型驱动的PubMed中文搜索引擎

马上搜索

文档翻译

学术文献翻译模型,支持多种主流文档格式。

立即体验