Suppr超能文献

铍、镁和钪与卡宾及碳二磷烯键合的研究。 需注意,原文中“Spodium”可能有误,推测可能是“Scandium(钪)” 。

Study of Beryllium, Magnesium, and Spodium Bonds to Carbenes and Carbodiphosphoranes.

作者信息

Jabłoński Mirosław

机构信息

Faculty of Chemistry, Nicolaus Copernicus University, 87-100 Toruń, Poland.

出版信息

Molecules. 2021 Apr 14;26(8):2275. doi: 10.3390/molecules26082275.

Abstract

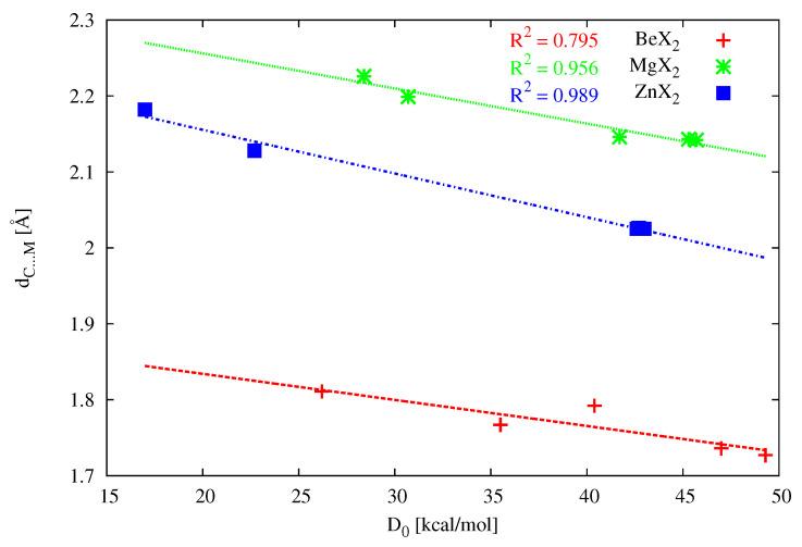
The aim of this article is to present results of theoretical study on the properties of C⋯M bonds, where C is either a carbene or carbodiphosphorane carbon atom and M is an acidic center of MX2 (M = Be, Mg, Zn). Due to the rarity of theoretical data regarding the C⋯Zn bond (i.e., the zinc bond), the main focus is placed on comparing the characteristics of this interaction with C⋯Be (beryllium bond) and C⋯Mg (magnesium bond). For this purpose, theoretical studies (ωB97X-D/6-311++G(2df,2p)) have been performed for a large group of dimers formed by MX2 (X = H, F, Cl, Br, Me) and either a carbene ((NH2)2C, imidazol-2-ylidene, imidazolidin-2-ylidene, tetrahydropyrymid-2-ylidene, cyclopropenylidene) or carbodiphosphorane ((PH3)2C, (NH3)2C) molecule. The investigated dimers are characterized by a very strong charge transfer effect from either the carbene or carbodiphosphorane molecule to the MX2 one. This may even be over six times as strong as in the water dimer. According to the QTAIM and NCI method, the zinc bond is not very different than the beryllium bond, with both featuring a significant covalent contribution. However, the zinc bond should be definitely stronger if delocalization index is considered.

摘要

本文旨在呈现关于C⋯M键性质的理论研究结果,其中C为卡宾或碳二亚磷烷碳原子,M为MX2(M = Be、Mg、Zn)的酸性中心。由于关于C⋯Zn键(即锌键)的理论数据较少,主要重点在于将这种相互作用的特征与C⋯Be(铍键)和C⋯Mg(镁键)进行比较。为此,对由MX2(X = H、F、Cl、Br、Me)与卡宾((NH2)2C、咪唑 - 2 - 亚基、咪唑烷 - 2 - 亚基、四氢吡啶 - 2 - 亚基、环丙烯亚基)或碳二亚磷烷((PH3)2C、(NH3)2C)分子形成的一大组二聚体进行了理论研究(ωB97X - D/6 - 311++G(2df,2p))。所研究的二聚体的特征是存在从卡宾或碳二亚磷烷分子到MX2分子的非常强的电荷转移效应。这甚至可能比水二聚体中的电荷转移效应强六倍以上。根据量子拓扑原子分子理论(QTAIM)和非共价相互作用(NCI)方法,锌键与铍键没有太大差异,两者都具有显著的共价贡献。然而,如果考虑离域指数,锌键肯定更强。

https://cdn.ncbi.nlm.nih.gov/pmc/blobs/a7a7/8071025/e28c86049d31/molecules-26-02275-g001.jpg

文献检索

告别复杂PubMed语法,用中文像聊天一样搜索,搜遍4000万医学文献。AI智能推荐,让科研检索更轻松。

立即免费搜索

文件翻译

保留排版,准确专业,支持PDF/Word/PPT等文件格式,支持 12+语言互译。

免费翻译文档

深度研究

AI帮你快速写综述,25分钟生成高质量综述,智能提取关键信息,辅助科研写作。

立即免费体验