• 文献检索
  • 文档翻译
  • 深度研究
  • 学术资讯
  • Suppr Zotero 插件Zotero 插件
  • 邀请有礼
  • 套餐&价格
  • 历史记录
应用&插件
Suppr Zotero 插件Zotero 插件浏览器插件Mac 客户端Windows 客户端微信小程序
定价
高级版会员购买积分包购买API积分包
服务
文献检索文档翻译深度研究API 文档MCP 服务
关于我们
关于 Suppr公司介绍联系我们用户协议隐私条款
关注我们

Suppr 超能文献

核心技术专利:CN118964589B侵权必究
粤ICP备2023148730 号-1Suppr @ 2026

文献检索

告别复杂PubMed语法,用中文像聊天一样搜索,搜遍4000万医学文献。AI智能推荐,让科研检索更轻松。

立即免费搜索

文件翻译

保留排版,准确专业,支持PDF/Word/PPT等文件格式,支持 12+语言互译。

免费翻译文档

深度研究

AI帮你快速写综述,25分钟生成高质量综述,智能提取关键信息,辅助科研写作。

立即免费体验

帕博利珠单抗治疗转移性尿路上皮癌的疗效和安全性:日本单中心回顾性分析。

Effectiveness and safety profile of pembrolizumab for metastatic urothelial cancer: A retrospective single-center analysis in Japan.

机构信息

Department of Urology, Cancer Institute Hospital, Japanese Foundation for Cancer Research, Tokyo, Japan.

Department of Medical Oncology, Cancer Institute Hospital, Japanese Foundation for Cancer Research, Tokyo, Japan.

出版信息

Cancer Rep (Hoboken). 2021 Dec;4(6):e1398. doi: 10.1002/cnr2.1398. Epub 2021 May 2.

DOI:10.1002/cnr2.1398
PMID:33934570
原文链接:https://pmc.ncbi.nlm.nih.gov/articles/PMC8714548/
Abstract

BACKGROUND

The paradigm of medical treatment for metastatic urothelial carcinoma is dramatically changing through the introduction of pembrolizumab.

AIM

We investigated the treatment effectiveness, the safety profile, and the prognostic factors of pembrolizumab in Japanese real-world clinical practice.

METHODS AND RESULTS

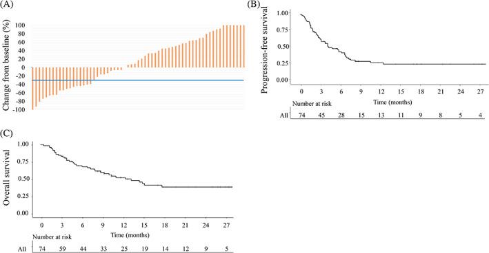
The medical records of 74 consecutive Japanese patients with metastatic urothelial cancer (UC), who started pembrolizumab as a second- or later-line treatment at our institution between January 2018 and March 2020, were reviewed and statistically analyzed. The median follow-up period after initiation of pembrolizumab was 8.5 (interquartile range: 3.5-15.7) months. The objective response rate was 30.2%, the median progression-free survival period was 4.9 months, and the median overall survival (OS) period was 13.3 months. Evaluation revealed that 39 (52.9%) patients experienced adverse events (AEs), among whom eight patients (10.9%) had severe AEs (grade 3 or more), including grade 5 hemophagocytic syndrome. Multivariate analysis indicated that the presence of liver metastasis, worse performance status (≥2), elevated serum lactate dehydrogenase, and increased C-reactive protein were predictive of shorter OS.

CONCLUSION

We studied the effectiveness and safety profile of pembrolizumab therapy in Japanese UC patients. We believe that the data presented here will be useful for clinical physicians.

摘要

背景

随着帕博利珠单抗的引入,转移性尿路上皮癌的治疗模式发生了重大变化。

目的

我们研究了派姆单抗在日本真实临床实践中的治疗效果、安全性概况和预后因素。

方法和结果

回顾性分析了 2018 年 1 月至 2020 年 3 月期间在我院接受派姆单抗二线或后线治疗的 74 例转移性尿路上皮癌(UC)日本患者的病历,并进行了统计学分析。从开始使用派姆单抗到进行统计分析的中位随访时间为 8.5 个月(四分位距:3.5-15.7)。客观缓解率为 30.2%,中位无进展生存期为 4.9 个月,中位总生存期(OS)为 13.3 个月。评估发现,39 例(52.9%)患者出现不良反应(AE),其中 8 例(10.9%)发生严重 AE(3 级或以上),包括 5 级噬血细胞综合征。多变量分析表明,肝转移、较差的体力状态(≥2 级)、血清乳酸脱氢酶升高和 C 反应蛋白升高是 OS 较短的预测因素。

结论

我们研究了派姆单抗治疗日本 UC 患者的有效性和安全性概况。我们相信,这里提供的数据将对临床医生有用。

https://cdn.ncbi.nlm.nih.gov/pmc/blobs/a5da/8714548/290b3d0f4b21/CNR2-4-e1398-g001.jpg
https://cdn.ncbi.nlm.nih.gov/pmc/blobs/a5da/8714548/290b3d0f4b21/CNR2-4-e1398-g001.jpg
https://cdn.ncbi.nlm.nih.gov/pmc/blobs/a5da/8714548/290b3d0f4b21/CNR2-4-e1398-g001.jpg

相似文献

1
Effectiveness and safety profile of pembrolizumab for metastatic urothelial cancer: A retrospective single-center analysis in Japan.帕博利珠单抗治疗转移性尿路上皮癌的疗效和安全性:日本单中心回顾性分析。
Cancer Rep (Hoboken). 2021 Dec;4(6):e1398. doi: 10.1002/cnr2.1398. Epub 2021 May 2.
2
Cost-effectiveness of Pembrolizumab as Second-line Therapy for the Treatment of Locally Advanced or Metastatic Urothelial Carcinoma in Sweden.帕博利珠单抗二线治疗瑞典局部晚期或转移性尿路上皮癌的成本效果分析。
Eur Urol Oncol. 2020 Oct;3(5):663-670. doi: 10.1016/j.euo.2018.09.012. Epub 2018 Nov 22.
3
Pembrolizumab versus chemotherapy in recurrent, advanced urothelial cancer in Japanese patients: a subgroup analysis of the phase 3 KEYNOTE-045 trial.帕博利珠单抗对比化疗治疗日本患者复发性、晚期尿路上皮癌:III 期 KEYNOTE-045 试验的亚组分析。
Int J Clin Oncol. 2020 Jan;25(1):165-174. doi: 10.1007/s10147-019-01545-4. Epub 2019 Nov 15.
4
Initial Experience of Pembrolizumab Therapy in Japanese Patients With Metastatic Urothelial Cancer.帕博利珠单抗治疗日本转移性尿路上皮癌患者的初步经验。
Anticancer Res. 2019 Jul;39(7):3887-3892. doi: 10.21873/anticanres.13539.
5
Gustave Roussy Immune score as a prognostic biomarker in patients with platinum-refractory metastatic urothelial carcinoma treated with pembrolizumab: YUSHIMA study.古斯塔夫·鲁西免疫评分作为铂类耐药转移性尿路上皮癌患者接受派姆单抗治疗的预后生物标志物:YUSHIMA 研究。
Int J Clin Oncol. 2024 Sep;29(9):1302-1310. doi: 10.1007/s10147-024-02563-7. Epub 2024 Jun 4.
6
Pembrolizumab alone or combined with chemotherapy versus chemotherapy as first-line therapy for advanced urothelial carcinoma (KEYNOTE-361): a randomised, open-label, phase 3 trial.帕博利珠单抗单药或联合化疗对比化疗作为晚期尿路上皮癌一线治疗(KEYNOTE-361):一项随机、开放标签、III 期临床试验。
Lancet Oncol. 2021 Jul;22(7):931-945. doi: 10.1016/S1470-2045(21)00152-2. Epub 2021 May 26.
7
Enfortumab vedotin prolongs overall survival in metastatic urothelial carcinoma following pembrolizumab therapy in real-world data.在真实世界数据中,恩福妥单抗与派姆单抗联合治疗转移性尿路上皮癌可延长总生存期。
Int J Urol. 2024 Jun;31(6):678-684. doi: 10.1111/iju.15437. Epub 2024 Feb 25.
8
Comparison of the Immunotherapy Response Evaluation Criteria in Solid Tumours (iRECIST) with RECIST for capturing treatment response of patients with metastatic urothelial carcinoma treated with pembrolizumab.比较免疫治疗实体瘤反应评估标准(iRECIST)与 RECIST 用于评估帕博利珠单抗治疗转移性尿路上皮癌患者的治疗反应。
BJU Int. 2021 Jan;127(1):90-95. doi: 10.1111/bju.15176. Epub 2020 Aug 6.
9
C-reactive Protein Is a Prognostic Factor for Survival in Metastatic Upper Tract Urothelial Carcinoma Patients Receiving Pembrolizumab.C-反应蛋白是接受派姆单抗治疗的转移性上尿路上皮癌患者生存的预后因素。
In Vivo. 2024 Jul-Aug;38(4):1823-1828. doi: 10.21873/invivo.13634.
10
Comparison of the efficacy of enfortumab vedotin between patients with metastatic urothelial carcinoma who were treated with avelumab or pembrolizumab: real-world data from a multi-institutional study in Japan.比较转移性尿路上皮癌患者接受avelumab 或 pembrolizumab 治疗后恩福妥单抗的疗效:来自日本多机构研究的真实世界数据。
J Cancer Res Clin Oncol. 2024 Apr 9;150(4):182. doi: 10.1007/s00432-024-05717-2.

引用本文的文献

1
Prognostic and predictive value of pre-treatment blood-based inflammatory biomarkers in patients with urothelial carcinoma treated with immune checkpoint inhibitors: a systematic review and meta-analysis.免疫检查点抑制剂治疗的尿路上皮癌患者治疗前血液炎症生物标志物的预后和预测价值:一项系统评价和荟萃分析
Front Immunol. 2025 Mar 17;16:1554048. doi: 10.3389/fimmu.2025.1554048. eCollection 2025.
2
Clinical significance of early kinetics of C‑reactive protein in patients with advanced urothelial carcinoma treated with pembrolizumab: Flare response and baseline levels predict oncological outcomes.帕博利珠单抗治疗晚期尿路上皮癌患者时C反应蛋白早期动力学的临床意义:炎症反应和基线水平可预测肿瘤学结局。
Oncol Lett. 2024 Oct 11;28(6):603. doi: 10.3892/ol.2024.14736. eCollection 2024 Dec.
3

本文引用的文献

1
Checkpoint Inhibition for Metastatic Urothelial Carcinoma After Chemotherapy-Real-World Clinical Impressions and Comparative Review of the Literature.化疗后转移性尿路上皮癌的检查点抑制——真实世界的临床印象及文献比较综述
Front Oncol. 2020 May 21;10:808. doi: 10.3389/fonc.2020.00808. eCollection 2020.
2
Immunotherapy to treat malignancy in patients with pre-existing autoimmunity.免疫疗法治疗伴有自身免疫的恶性肿瘤患者。
J Immunother Cancer. 2020 Apr;8(1). doi: 10.1136/jitc-2019-000356.
3
Safety and Efficacy of Immune Checkpoint Inhibitors in Patients With Cancer and Preexisting Autoimmune Disease: A Nationwide, Multicenter Cohort Study.
C-reactive protein (CRP) as a prognostic biomarker in patients with urothelial carcinoma: A systematic review and meta-analysis.C-反应蛋白(CRP)作为尿路上皮癌患者的预后生物标志物:系统评价和荟萃分析。
Crit Rev Oncol Hematol. 2024 May;197:104352. doi: 10.1016/j.critrevonc.2024.104352. Epub 2024 Apr 16.
4
The Predictive Potential of the Baseline C-Reactive Protein Levels for the Efficiency of Immune Checkpoint Inhibitors in Cancer Patients: A Systematic Review and Meta-Analysis.基线 C 反应蛋白水平对癌症患者免疫检查点抑制剂疗效的预测潜力:系统评价和荟萃分析。
Front Immunol. 2022 Feb 8;13:827788. doi: 10.3389/fimmu.2022.827788. eCollection 2022.
5
Clinical Benefit of Pembrolizumab in Advanced Urothelial Cancer Patients in Real-Life Setting: An Efficacy and Safety Monocentric Study.帕博利珠单抗在真实环境下晚期尿路上皮癌患者中的临床获益:一项疗效和安全性的单中心研究。
Curr Oncol. 2022 Feb 10;29(2):945-955. doi: 10.3390/curroncol29020080.
6
Prognostic and Predictive Factors in Advanced Urothelial Carcinoma Treated with Immune Checkpoint Inhibitors: A Review of the Current Evidence.免疫检查点抑制剂治疗晚期尿路上皮癌的预后和预测因素:当前证据综述
Cancers (Basel). 2021 Nov 3;13(21):5517. doi: 10.3390/cancers13215517.
7
Impact of C-reactive Protein Flare Response in Patients With Advanced Urothelial Carcinoma Who Received Pembrolizumab.接受派姆单抗治疗的晚期尿路上皮癌患者中 C 反应蛋白flare 反应的影响。
In Vivo. 2021 Nov-Dec;35(6):3563-3568. doi: 10.21873/invivo.12659.
免疫检查点抑制剂在患有癌症和自身免疫性疾病的患者中的安全性和疗效:一项全国性、多中心队列研究。
Arthritis Rheumatol. 2019 Dec;71(12):2100-2111. doi: 10.1002/art.41068. Epub 2019 Oct 21.
4
Initial Experience of Pembrolizumab Therapy in Japanese Patients With Metastatic Urothelial Cancer.帕博利珠单抗治疗日本转移性尿路上皮癌患者的初步经验。
Anticancer Res. 2019 Jul;39(7):3887-3892. doi: 10.21873/anticanres.13539.
5
Clinical Outcomes of Patients with Advanced Cancer and Pre-Existing Autoimmune Diseases Treated with Anti-Programmed Death-1 Immunotherapy: A Real-World Transverse Study.晚期癌症合并自身免疫性疾病患者接受抗程序性死亡-1 免疫治疗的临床结局:一项真实世界的横断面研究。
Oncologist. 2019 Jun;24(6):e327-e337. doi: 10.1634/theoncologist.2018-0618. Epub 2019 Feb 22.
6
Severe hemophagocytic lymphohistiocytosis in a melanoma patient treated with ipilimumab + nivolumab.黑色素瘤患者接受伊匹单抗+纳武单抗治疗后发生严重噬血细胞性淋巴组织细胞增生症。
J Immunother Cancer. 2018 Jul 16;6(1):73. doi: 10.1186/s40425-018-0384-0.
7
Recent advances in medical therapy for metastatic urothelial cancer.转移性尿路上皮癌的医学治疗新进展。
Int J Clin Oncol. 2018 Aug;23(4):599-607. doi: 10.1007/s10147-018-1260-0. Epub 2018 Mar 20.
8
High neutrophil-to-lymphocyte ratio predicts worse overall survival in patients with advanced/metastatic urothelial bladder cancer.高中性粒细胞与淋巴细胞比值预示晚期/转移性尿路上皮膀胱癌患者的总生存期更差。
Int J Urol. 2018 Mar;25(3):232-238. doi: 10.1111/iju.13480. Epub 2017 Nov 1.
9
Pembrolizumab as Second-Line Therapy for Advanced Urothelial Carcinoma.帕博利珠单抗作为晚期尿路上皮癌的二线治疗药物。
N Engl J Med. 2017 Mar 16;376(11):1015-1026. doi: 10.1056/NEJMoa1613683. Epub 2017 Feb 17.
10
Sarcopenia as a prognostic biomarker of advanced urothelial carcinoma.肌肉减少症作为晚期尿路上皮癌的预后生物标志物。
PLoS One. 2015 Jan 22;10(1):e0115895. doi: 10.1371/journal.pone.0115895. eCollection 2015.