• 文献检索
  • 文档翻译
  • 深度研究
  • 学术资讯
  • Suppr Zotero 插件Zotero 插件
  • 邀请有礼
  • 套餐&价格
  • 历史记录
应用&插件
Suppr Zotero 插件Zotero 插件浏览器插件Mac 客户端Windows 客户端微信小程序
定价
高级版会员购买积分包购买API积分包
服务
文献检索文档翻译深度研究API 文档MCP 服务
关于我们
关于 Suppr公司介绍联系我们用户协议隐私条款
关注我们

Suppr 超能文献

核心技术专利:CN118964589B侵权必究
粤ICP备2023148730 号-1Suppr @ 2026

文献检索

告别复杂PubMed语法,用中文像聊天一样搜索,搜遍4000万医学文献。AI智能推荐,让科研检索更轻松。

立即免费搜索

文件翻译

保留排版,准确专业,支持PDF/Word/PPT等文件格式,支持 12+语言互译。

免费翻译文档

深度研究

AI帮你快速写综述,25分钟生成高质量综述,智能提取关键信息,辅助科研写作。

立即免费体验

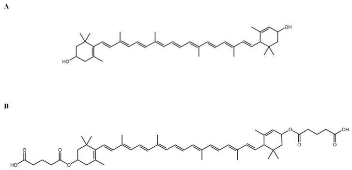
叶黄素酯前药叶黄素双戊二酸对 HO 诱导的人视网膜色素上皮细胞氧化应激的保护作用。

Protective Effects of a Lutein Ester Prodrug, Lutein Diglutaric Acid, against HO-Induced Oxidative Stress in Human Retinal Pigment Epithelial Cells.

机构信息

Cell and Animal Model Unit, Institute of Nutrition, Mahidol University, Nakhon Pathom 73170, Thailand.

Natural Products for Ageing and Chronic Diseases Research Unit, Faculty of Pharmaceutical Sciences, Chulalongkorn University, Bangkok 10330, Thailand.

出版信息

Int J Mol Sci. 2021 Apr 29;22(9):4722. doi: 10.3390/ijms22094722.

DOI:10.3390/ijms22094722
PMID:33946898
原文链接:https://pmc.ncbi.nlm.nih.gov/articles/PMC8125252/
Abstract

Oxidative stress-induced cell damage and death of the retinal pigmented epithelium (RPE), a polarized monolayer that maintains retinal health and homeostasis, lead to the development of age-related macular degeneration (AMD). Several studies show that the naturally occurring antioxidant Lutein (Lut) can protect RPE cells from oxidative stress. However, the poor solubility and low oral bioavailability limit the potential of Lut as a therapeutic agent. In this study, lutein diglutaric acid (Lut-DG), a prodrug of Lut, was synthesized and its ability to protect human ARPE-19 cells from oxidative stress was tested compared to Lut. Both Lut and Lut-DG significantly decreased HO-induced reactive oxygen species (ROS) production and protected RPE cells from oxidative stress-induced death. Moreover, the immunoblotting analysis indicated that both drugs exerted their protective effects by modulating phosphorylated MAPKs (p38, ERK1/2 and SAPK/JNK) and downstream molecules Bax, Bcl-2 and Cytochrome c. In addition, the enzymatic antioxidants glutathione peroxidase (GPx) and catalase (CAT) and non-enzymatic antioxidant glutathione (GSH) were enhanced in cells treated with Lut and Lut-DG. In all cases, Lut-DG was more effective than its parent drug against oxidative stress-induced damage to RPE cells. These findings highlight Lut-DG as a more potent compound than Lut with the protective effects against oxidative stress in RPE cells through the modulation of key MAPKs, apoptotic and antioxidant molecular pathways.

摘要

氧化应激诱导的视网膜色素上皮 (RPE) 细胞损伤和死亡,RPE 是维持视网膜健康和内稳态的极化单层细胞,导致年龄相关性黄斑变性 (AMD) 的发生。多项研究表明,天然存在的抗氧化剂叶黄素 (Lut) 可以保护 RPE 细胞免受氧化应激。然而,较差的溶解度和低口服生物利用度限制了 Lut 作为治疗剂的潜力。在这项研究中,合成了叶黄素双戊二酸酯 (Lut-DG),这是 Lut 的前体药物,并将其保护人 ARPE-19 细胞免受氧化应激的能力与 Lut 进行了比较。Lut 和 Lut-DG 均显著降低了 HO 诱导的活性氧 (ROS) 的产生,并保护 RPE 细胞免受氧化应激诱导的死亡。此外,免疫印迹分析表明,这两种药物通过调节磷酸化 MAPKs(p38、ERK1/2 和 SAPK/JNK)和下游分子 Bax、Bcl-2 和细胞色素 c 发挥其保护作用。此外,用 Lut 和 Lut-DG 处理的细胞中,酶抗氧化剂谷胱甘肽过氧化物酶 (GPx) 和过氧化氢酶 (CAT) 和非酶抗氧化剂谷胱甘肽 (GSH) 均增强。在所有情况下,Lut-DG 对 RPE 细胞氧化应激诱导损伤的作用均优于其母体药物。这些发现突出表明,Lut-DG 是一种比 Lut 更有效的化合物,通过调节关键的 MAPKs、凋亡和抗氧化分子途径,对 RPE 细胞的氧化应激具有保护作用。

https://cdn.ncbi.nlm.nih.gov/pmc/blobs/3b5c/8125252/5994befa70ef/ijms-22-04722-g007.jpg
https://cdn.ncbi.nlm.nih.gov/pmc/blobs/3b5c/8125252/ba9586267cbe/ijms-22-04722-g001.jpg
https://cdn.ncbi.nlm.nih.gov/pmc/blobs/3b5c/8125252/f15c5be5ff5b/ijms-22-04722-g002.jpg
https://cdn.ncbi.nlm.nih.gov/pmc/blobs/3b5c/8125252/4073b3c5b2c1/ijms-22-04722-g003.jpg
https://cdn.ncbi.nlm.nih.gov/pmc/blobs/3b5c/8125252/e5d03efe79b6/ijms-22-04722-g005.jpg
https://cdn.ncbi.nlm.nih.gov/pmc/blobs/3b5c/8125252/5994befa70ef/ijms-22-04722-g007.jpg
https://cdn.ncbi.nlm.nih.gov/pmc/blobs/3b5c/8125252/ba9586267cbe/ijms-22-04722-g001.jpg
https://cdn.ncbi.nlm.nih.gov/pmc/blobs/3b5c/8125252/f15c5be5ff5b/ijms-22-04722-g002.jpg
https://cdn.ncbi.nlm.nih.gov/pmc/blobs/3b5c/8125252/4073b3c5b2c1/ijms-22-04722-g003.jpg
https://cdn.ncbi.nlm.nih.gov/pmc/blobs/3b5c/8125252/e5d03efe79b6/ijms-22-04722-g005.jpg
https://cdn.ncbi.nlm.nih.gov/pmc/blobs/3b5c/8125252/5994befa70ef/ijms-22-04722-g007.jpg

相似文献

1
Protective Effects of a Lutein Ester Prodrug, Lutein Diglutaric Acid, against HO-Induced Oxidative Stress in Human Retinal Pigment Epithelial Cells.叶黄素酯前药叶黄素双戊二酸对 HO 诱导的人视网膜色素上皮细胞氧化应激的保护作用。
Int J Mol Sci. 2021 Apr 29;22(9):4722. doi: 10.3390/ijms22094722.
2
Protective Effects of Curcumin Ester Prodrug, Curcumin Diethyl Disuccinate against HO-Induced Oxidative Stress in Human Retinal Pigment Epithelial Cells: Potential Therapeutic Avenues for Age-Related Macular Degeneration.姜黄素酯前药、姜黄素二乙酯二琥珀酸酯对 HO 诱导的人视网膜色素上皮细胞氧化应激的保护作用:用于年龄相关性黄斑变性的潜在治疗途径。
Int J Mol Sci. 2019 Jul 9;20(13):3367. doi: 10.3390/ijms20133367.
3
Lutein protects retinal pigment epithelium from cytotoxic oxidative stress.叶黄素可保护视网膜色素上皮细胞免受细胞毒性氧化应激的损伤。
Cutan Ocul Toxicol. 2014 Jun;33(2):132-7. doi: 10.3109/15569527.2013.812108. Epub 2013 Jul 18.
4
Lutein improves cell viability and reduces Alu RNA accumulation in hydrogen peroxide challenged retinal pigment epithelial cells.叶黄素可提高细胞活力,并减少过氧化氢刺激的视网膜色素上皮细胞中Alu RNA的积累。
Cutan Ocul Toxicol. 2018 Mar;37(1):52-60. doi: 10.1080/15569527.2017.1335748. Epub 2017 Jun 20.
5
Protection of Kaempferol on Oxidative Stress-Induced Retinal Pigment Epithelial Cell Damage.山奈酚对氧化应激诱导的视网膜色素上皮细胞损伤的保护作用。
Oxid Med Cell Longev. 2018 Nov 21;2018:1610751. doi: 10.1155/2018/1610751. eCollection 2018.
6
Retino-protective effect of Bucida buceras against oxidative stress induced by H2O2 in human retinal pigment epithelial cells line.布西达树对人视网膜色素上皮细胞系中过氧化氢诱导的氧化应激的视网膜保护作用。
BMC Complement Altern Med. 2015 Jul 29;15:254. doi: 10.1186/s12906-015-0765-6.
7
Silk lutein extract and its combination with vitamin E reduce UVB-mediated oxidative damage to retinal pigment epithelial cells.丝叶叶黄素提取物及其与维生素 E 的组合可减少 UVB 介导的视网膜色素上皮细胞氧化损伤。
J Photochem Photobiol B. 2013 Jul 5;124:34-41. doi: 10.1016/j.jphotobiol.2013.04.003. Epub 2013 Apr 18.
8
Protective Effect of Combined Caffeic Acid Phenethyl Ester and Bevacizumab Against Hydrogen Peroxide-Induced Oxidative Stress in Human RPE Cells.咖啡酸苯乙酯与贝伐单抗联合应用对过氧化氢诱导的人视网膜色素上皮细胞氧化应激的保护作用
Curr Eye Res. 2017 Dec;42(12):1659-1666. doi: 10.1080/02713683.2017.1368085. Epub 2017 Sep 22.
9
Exendin-4 Protects Human Retinal Pigment Epithelial Cells from H2O2-Induced Oxidative Damage via Activation of NRF2 Signaling.Exendin-4 通过激活 NRF2 信号通路保护人视网膜色素上皮细胞免受 H2O2 诱导的氧化损伤。
Ophthalmic Res. 2020;63(4):404-412. doi: 10.1159/000504891. Epub 2019 Dec 20.
10
The novel triterpenoid RTA 408 protects human retinal pigment epithelial cells against H2O2-induced cell injury via NF-E2-related factor 2 (Nrf2) activation.新型三萜类化合物RTA 408通过激活核因子E2相关因子2(Nrf2)保护人视网膜色素上皮细胞免受过氧化氢诱导的细胞损伤。
Redox Biol. 2016 Aug;8:98-109. doi: 10.1016/j.redox.2015.12.005. Epub 2015 Dec 19.

引用本文的文献

1
Evidence for a Functional Link Between the Nrf2 Signalling Pathway and Cytoprotective Effect of S-Petasin in Human Retinal Pigment Epithelium Cells Exposed to Oxidative Stress.Nrf2信号通路与S-蜂斗菜素对遭受氧化应激的人视网膜色素上皮细胞的细胞保护作用之间功能联系的证据。
Antioxidants (Basel). 2025 Feb 4;14(2):180. doi: 10.3390/antiox14020180.
2
Glutathione: A Key Regulator of Extracellular Matrix and Cell Death in Intervertebral Disc Degeneration.谷胱甘肽:椎间盘退变中外基质和细胞死亡的关键调节剂。
Mediators Inflamm. 2024 Oct 1;2024:4482642. doi: 10.1155/2024/4482642. eCollection 2024.
3
Lutein and zeaxanthin reduce neuronal cell damage caused by lipid peroxidation.

本文引用的文献

1
Stabilisation of Lutein and Lutein Esters with Polyoxyethylene Sorbitan Monooleate, Medium-Chain Triglyceride Oil and Lecithin.用聚氧乙烯山梨醇酐单油酸酯、中链甘油三酸酯油和卵磷脂对叶黄素及叶黄素酯进行稳定化处理。
Foods. 2021 Feb 26;10(3):500. doi: 10.3390/foods10030500.
2
Chitosan-alginate nanoparticles as effective oral carriers to improve the stability, bioavailability, and cytotoxicity of curcumin diethyl disuccinate.壳聚糖-海藻酸钠纳米粒作为有效的口服载体提高姜黄素二琥珀酸二乙酯的稳定性、生物利用度和细胞毒性。
Carbohydr Polym. 2021 Mar 15;256:117426. doi: 10.1016/j.carbpol.2020.117426. Epub 2020 Nov 24.
3
Improved effect of a mitochondria-targeted antioxidant on hydrogen peroxide-induced oxidative stress in human retinal pigment epithelium cells.
叶黄素和玉米黄质可减少脂质过氧化引起的神经元细胞损伤。
Biochem Biophys Rep. 2024 Sep 27;40:101835. doi: 10.1016/j.bbrep.2024.101835. eCollection 2024 Dec.
4
Recent Advances in Our Understanding of Age-Related Macular Degeneration: Mitochondrial Dysfunction, Redox Signaling, and the Complement System.我们对年龄相关性黄斑变性认识的最新进展:线粒体功能障碍、氧化还原信号传导与补体系统
Aging Dis. 2024 Jan 24;16(3):1535-1575. doi: 10.14336/AD.2024.0124.
5
Anti-inflammatory effect of T1 cell-free supernatants through suppression of oxidative stress and NF-κB- and MAPK-signaling pathways.通过抑制氧化应激和 NF-κB-及 MAPK 信号通路发挥 T1 细胞无血清培养上清液的抗炎作用。
Appl Environ Microbiol. 2023 Oct 31;89(10):e0060823. doi: 10.1128/aem.00608-23. Epub 2023 Sep 13.
6
Autophagy Activation Promoted by Pulses of Light and Phytochemicals Counteracting Oxidative Stress during Age-Related Macular Degeneration.光脉冲和植物化学物质促进自噬激活,以对抗年龄相关性黄斑变性期间的氧化应激。
Antioxidants (Basel). 2023 May 30;12(6):1183. doi: 10.3390/antiox12061183.
7
Isolation and Identification of Dihydrophenanthrene Derivatives from with Protective Effects against Hydrogen-Peroxide-Induced Oxidative Stress of Human Retinal Pigment Epithelium ARPE-19 Cells.从[来源未提及]中分离和鉴定具有抗过氧化氢诱导的人视网膜色素上皮ARPE - 19细胞氧化应激保护作用的二氢菲衍生物。
Antioxidants (Basel). 2023 Mar 2;12(3):624. doi: 10.3390/antiox12030624.
8
Changes in the Expression Profile of Pyroptosis-Related Genes in Senescent Retinal Pigment Epithelial Cells after Lutein Treatment.叶黄素处理后衰老视网膜色素上皮细胞中焦亡相关基因表达谱的变化
Curr Issues Mol Biol. 2023 Feb 9;45(2):1500-1518. doi: 10.3390/cimb45020097.
9
Chemical, Antioxidant and Biological Studies of subsp. (Brassicaceae) Leaf Extract.subsp. (十字花科)叶提取物的化学、抗氧化和生物学研究。
Molecules. 2023 Jan 27;28(3):1254. doi: 10.3390/molecules28031254.
10
Anti-Inflammatory Activity and Mechanism of Sweet Corn Extract on Il-1β-Induced Inflammation in a Human Retinal Pigment Epithelial Cell Line (ARPE-19).甜玉米提取物对人视网膜色素上皮细胞系(ARPE-19)IL-1β诱导炎症的抗炎活性及作用机制。
Int J Mol Sci. 2023 Jan 27;24(3):2462. doi: 10.3390/ijms24032462.
线粒体靶向抗氧化剂对人视网膜色素上皮细胞过氧化氢诱导氧化应激的改善作用。
BMC Pharmacol Toxicol. 2021 Jan 20;22(1):7. doi: 10.1186/s40360-020-00471-w.
4
Antioxidative Effects of Ascorbic Acid and Astaxanthin on ARPE-19 Cells in an Oxidative Stress Model.抗坏血酸和虾青素在氧化应激模型中对ARPE-19细胞的抗氧化作用。
Antioxidants (Basel). 2020 Sep 6;9(9):833. doi: 10.3390/antiox9090833.
5
Molecular Insight into the Anti-Inflammatory Effects of the Curcumin Ester Prodrug Curcumin Diglutaric Acid In Vitro and In Vivo.分子水平上探究姜黄素二戊酸酯前药姜黄素体外和体内抗炎症作用。
Int J Mol Sci. 2020 Aug 9;21(16):5700. doi: 10.3390/ijms21165700.
6
Polygenic adaptation: a unifying framework to understand positive selection.多基因适应:理解正选择的统一框架。
Nat Rev Genet. 2020 Dec;21(12):769-781. doi: 10.1038/s41576-020-0250-z. Epub 2020 Jun 29.
7
Carotenoids and Chlorophylls as Antioxidants.类胡萝卜素和叶绿素作为抗氧化剂。
Antioxidants (Basel). 2020 Jun 9;9(6):505. doi: 10.3390/antiox9060505.
8
Understanding MAPK Signaling Pathways in Apoptosis.理解细胞凋亡中的 MAPK 信号通路。
Int J Mol Sci. 2020 Mar 28;21(7):2346. doi: 10.3390/ijms21072346.
9
Age-related macular degeneration therapy: a review.年龄相关性黄斑变性治疗:综述。
Curr Opin Ophthalmol. 2020 May;31(3):215-221. doi: 10.1097/ICU.0000000000000657.
10
Effects of lutein supplementation on inflammatory biomarkers and metabolic risk factors in adults with central obesity: study protocol for a randomised controlled study.叶黄素补充对中心性肥胖成年人炎症生物标志物和代谢危险因素的影响:一项随机对照研究的研究方案。
Trials. 2020 Jan 6;21(1):32. doi: 10.1186/s13063-019-3998-8.