• 文献检索
  • 文档翻译
  • 深度研究
  • 学术资讯
  • Suppr Zotero 插件Zotero 插件
  • 邀请有礼
  • 套餐&价格
  • 历史记录
应用&插件
Suppr Zotero 插件Zotero 插件浏览器插件Mac 客户端Windows 客户端微信小程序
定价
高级版会员购买积分包购买API积分包
服务
文献检索文档翻译深度研究API 文档MCP 服务
关于我们
关于 Suppr公司介绍联系我们用户协议隐私条款
关注我们

Suppr 超能文献

核心技术专利:CN118964589B侵权必究
粤ICP备2023148730 号-1Suppr @ 2026

文献检索

告别复杂PubMed语法,用中文像聊天一样搜索,搜遍4000万医学文献。AI智能推荐,让科研检索更轻松。

立即免费搜索

文件翻译

保留排版,准确专业,支持PDF/Word/PPT等文件格式,支持 12+语言互译。

免费翻译文档

深度研究

AI帮你快速写综述,25分钟生成高质量综述,智能提取关键信息,辅助科研写作。

立即免费体验

葛根绞股蓝通过调节肠道菌群和初级胆汁酸影响2型糖尿病大鼠

Ge-Gen-Jiao-Tai-Wan Affects Type 2 Diabetic Rats by Regulating Gut Microbiota and Primary Bile Acids.

作者信息

Chen Han, Yao Ye, Wang Wenbo, Wang Dongsheng

机构信息

Institute of Integrated Traditional Chinese and Western Medicine, Xiangya Hospital, Central South University, Changsha 410008, China.

Hunan Key Laboratory of Traditional Chinese Medicine for Gan of State Administration, Central South University, Changsha 410008, China.

出版信息

Evid Based Complement Alternat Med. 2021 Apr 16;2021:5585952. doi: 10.1155/2021/5585952. eCollection 2021.

DOI:10.1155/2021/5585952
PMID:33953783
原文链接:https://pmc.ncbi.nlm.nih.gov/articles/PMC8064793/
Abstract

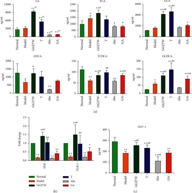
The Ge-Gen-Jiao-Tai-Wan (GGJTW) formula has been used to treat type 2 diabetes mellitus (T2DM) in China for a long time. Our previous study has proved that GGJTW could alleviate the type 2 diabetic symptoms, but the underlying mechanisms are still unclear. This study aimed to investigate the changes in gut microbiota and primary bile acids (PBAs) to determine the potential mechanisms of GGJTW in treating T2DM.The fecal transplant method and pseudogerm-free rats were used in our study.The16S rRNA gene sequencing method was used to analyze the changes in the intestinal flora, and PBAs in the colon contents were detected. Finally, the expression of farnesoid receptor (FXR), protein-coupled membrane receptor 5 (TGR5), and glucagon-like peptide-1 (GLP-1) was assessed. Following GGJTW treatment, we observed a decrease in blood glucose levels and improvements in glucose tolerance and serum lipid levels. Furthermore, we found that GGJTW could regulate the composition of the gut microbiota and upregulate the diabetic beneficial phylum and bile-acid-related genus . PBAs in the colon contents were increased in the GGJTW-treated group, accompanied by upregulated expression of the bile acid receptors FXR and TGR5 and increased concentrations of GLP-1. These results indicated that GGJTW could alleviate symptoms of type 2 diabetic rats by regulating the gut microbiota, promoting the production of PBAs, and upregulating the PBA-FXR/TGR5-GLP-1 pathway.

摘要

葛根交泰丸(GGJTW)在中国长期用于治疗2型糖尿病(T2DM)。我们之前的研究已证明GGJTW可缓解2型糖尿病症状,但其潜在机制仍不清楚。本研究旨在调查肠道微生物群和初级胆汁酸(PBAs)的变化,以确定GGJTW治疗T2DM的潜在机制。本研究采用粪便移植法和伪无菌大鼠。使用16S rRNA基因测序方法分析肠道菌群的变化,并检测结肠内容物中的PBAs。最后,评估法尼酯X受体(FXR)、G蛋白偶联膜受体5(TGR5)和胰高血糖素样肽-1(GLP-1)的表达。GGJTW治疗后,我们观察到血糖水平降低,葡萄糖耐量和血脂水平改善。此外,我们发现GGJTW可调节肠道微生物群的组成,上调对糖尿病有益的菌门和与胆汁酸相关的菌属。GGJTW治疗组结肠内容物中的PBAs增加,同时胆汁酸受体FXR和TGR5的表达上调,GLP-1浓度增加。这些结果表明,GGJTW可通过调节肠道微生物群、促进PBAs的产生以及上调PBA-FXR/TGR5-GLP-1途径来缓解2型糖尿病大鼠的症状。

https://cdn.ncbi.nlm.nih.gov/pmc/blobs/2231/8064793/052b110afdca/ECAM2021-5585952.007.jpg
https://cdn.ncbi.nlm.nih.gov/pmc/blobs/2231/8064793/45b562fbed01/ECAM2021-5585952.001.jpg
https://cdn.ncbi.nlm.nih.gov/pmc/blobs/2231/8064793/6c6a1bf0ef9e/ECAM2021-5585952.002.jpg
https://cdn.ncbi.nlm.nih.gov/pmc/blobs/2231/8064793/51d725732551/ECAM2021-5585952.003.jpg
https://cdn.ncbi.nlm.nih.gov/pmc/blobs/2231/8064793/40935bc2fde9/ECAM2021-5585952.004.jpg
https://cdn.ncbi.nlm.nih.gov/pmc/blobs/2231/8064793/c148f9b76923/ECAM2021-5585952.005.jpg
https://cdn.ncbi.nlm.nih.gov/pmc/blobs/2231/8064793/e4d6032ceb17/ECAM2021-5585952.006.jpg
https://cdn.ncbi.nlm.nih.gov/pmc/blobs/2231/8064793/052b110afdca/ECAM2021-5585952.007.jpg
https://cdn.ncbi.nlm.nih.gov/pmc/blobs/2231/8064793/45b562fbed01/ECAM2021-5585952.001.jpg
https://cdn.ncbi.nlm.nih.gov/pmc/blobs/2231/8064793/6c6a1bf0ef9e/ECAM2021-5585952.002.jpg
https://cdn.ncbi.nlm.nih.gov/pmc/blobs/2231/8064793/51d725732551/ECAM2021-5585952.003.jpg
https://cdn.ncbi.nlm.nih.gov/pmc/blobs/2231/8064793/40935bc2fde9/ECAM2021-5585952.004.jpg
https://cdn.ncbi.nlm.nih.gov/pmc/blobs/2231/8064793/c148f9b76923/ECAM2021-5585952.005.jpg
https://cdn.ncbi.nlm.nih.gov/pmc/blobs/2231/8064793/e4d6032ceb17/ECAM2021-5585952.006.jpg
https://cdn.ncbi.nlm.nih.gov/pmc/blobs/2231/8064793/052b110afdca/ECAM2021-5585952.007.jpg

相似文献

1
Ge-Gen-Jiao-Tai-Wan Affects Type 2 Diabetic Rats by Regulating Gut Microbiota and Primary Bile Acids.葛根绞股蓝通过调节肠道菌群和初级胆汁酸影响2型糖尿病大鼠
Evid Based Complement Alternat Med. 2021 Apr 16;2021:5585952. doi: 10.1155/2021/5585952. eCollection 2021.
2
Metabolomics-based evidence of the hypoglycemic effect of Ge-Gen-Jiao-Tai-Wan in type 2 diabetic rats via UHPLC-QTOF/MS analysis.基于代谢组学的 UHPLC-QTOF/MS 分析表明二陈加代赭丸对 2 型糖尿病大鼠具有降血糖作用。
J Ethnopharmacol. 2018 Jun 12;219:299-318. doi: 10.1016/j.jep.2018.03.026. Epub 2018 Mar 23.
3
Cyclocarya paliurus polysaccharides alleviate type 2 diabetic symptoms by modulating gut microbiota and short-chain fatty acids.青钱柳叶多糖通过调节肠道微生物群和短链脂肪酸来缓解 2 型糖尿病症状。
Phytomedicine. 2020 Oct;77:153268. doi: 10.1016/j.phymed.2020.153268. Epub 2020 Jun 30.
4
Farnesoid X receptor induces Takeda G-protein receptor 5 cross-talk to regulate bile acid synthesis and hepatic metabolism.法尼酯X受体诱导武田G蛋白偶联受体5相互作用以调节胆汁酸合成和肝脏代谢。
J Biol Chem. 2017 Jun 30;292(26):11055-11069. doi: 10.1074/jbc.M117.784322. Epub 2017 May 6.
5
Berberine alleviates type 2 diabetic symptoms by altering gut microbiota and reducing aromatic amino acids.小檗碱通过改变肠道微生物群和减少芳香族氨基酸来缓解 2 型糖尿病症状。
Biomed Pharmacother. 2020 Nov;131:110669. doi: 10.1016/j.biopha.2020.110669. Epub 2020 Sep 13.
6
Gut microbiota regulates postprandial GLP-1 response via ileal bile acid-TGR5 signaling.肠道微生物群通过回肠胆汁酸-TGR5 信号调节餐后 GLP-1 反应。
Gut Microbes. 2023 Dec;15(2):2274124. doi: 10.1080/19490976.2023.2274124. Epub 2023 Nov 9.
7
Fibroblast growth factor 21 improves insulin sensitivity by modulating the bile acid-gut microbiota axis in type Ⅱ diabetic mice.成纤维细胞生长因子 21 通过调节 2 型糖尿病小鼠的胆汁酸-肠道微生物群轴改善胰岛素敏感性。
Free Radic Biol Med. 2024 Nov 1;224:600-617. doi: 10.1016/j.freeradbiomed.2024.09.017. Epub 2024 Sep 15.
8
The Gut Microbiota as a Therapeutic Target in IBD and Metabolic Disease: A Role for the Bile Acid Receptors FXR and TGR5.肠道微生物群作为炎症性肠病和代谢性疾病的治疗靶点:胆汁酸受体FXR和TGR5的作用
Microorganisms. 2015 Oct 10;3(4):641-66. doi: 10.3390/microorganisms3040641.
9
Bile Acid Injection Regulated Blood Glucose in T2DM Rats Via the TGR5/GLP-1 Rather than FXR/FGF15 Pathway.胆汁酸注射通过TGR5/GLP-1而非FXR/FGF15途径调节2型糖尿病大鼠的血糖。
Altern Ther Health Med. 2024 Dec;30(12):480-485.
10
Role of Bile Acids and GLP-1 in Mediating the Metabolic Improvements of Bariatric Surgery.胆汁酸和 GLP-1 在介导减重手术代谢改善中的作用。
Gastroenterology. 2019 Mar;156(4):1041-1051.e4. doi: 10.1053/j.gastro.2018.11.017. Epub 2018 Nov 13.

引用本文的文献

1
Bile acids as a key target: traditional Chinese medicine for precision management of insulin resistance in type 2 diabetes mellitus through the gut microbiota-bile acids axis.胆汁酸作为关键靶点:通过肠道微生物群-胆汁酸轴精准管理2型糖尿病胰岛素抵抗的中药研究
Front Endocrinol (Lausanne). 2024 Dec 10;15:1481270. doi: 10.3389/fendo.2024.1481270. eCollection 2024.
2
Managing Type 2 Diabetes Mellitus via the Regulation of Gut Microbiota: A Chinese Medicine Perspective.通过调节肠道微生物群来管理 2 型糖尿病:中医视角。
Nutrients. 2024 Nov 18;16(22):3935. doi: 10.3390/nu16223935.
3
Ge-Gen-Qin-Lian decoction alleviates the symptoms of type 2 diabetes mellitus with inflammatory bowel disease via regulating the AGE-RAGE pathway.

本文引用的文献

1
Berberine alleviates type 2 diabetic symptoms by altering gut microbiota and reducing aromatic amino acids.小檗碱通过改变肠道微生物群和减少芳香族氨基酸来缓解 2 型糖尿病症状。
Biomed Pharmacother. 2020 Nov;131:110669. doi: 10.1016/j.biopha.2020.110669. Epub 2020 Sep 13.
2
TGR5 Signaling in Hepatic Metabolic Health.TGR5 信号在肝脏代谢健康中的作用。
Nutrients. 2020 Aug 26;12(9):2598. doi: 10.3390/nu12092598.
3
Cyclocarya paliurus polysaccharides alleviate type 2 diabetic symptoms by modulating gut microbiota and short-chain fatty acids.
膈根芩连汤通过调节 AGE-RAGE 通路缓解 2 型糖尿病合并炎症性肠病的症状。
BMC Complement Med Ther. 2024 Jun 10;24(1):225. doi: 10.1186/s12906-024-04526-x.
4
leaves alleviate high-sucrose diet-induced obesity by improving intestinal metabolic disorders.叶子通过改善肠道代谢紊乱来缓解高蔗糖饮食引起的肥胖。
Aging (Albany NY). 2024 Mar 14;16(6):5452-5470. doi: 10.18632/aging.205657.
5
Pharmacomicrobiomics and type 2 diabetes mellitus: A novel perspective towards possible treatment.药物微生物组学与 2 型糖尿病:一种新的治疗视角。
Front Endocrinol (Lausanne). 2023 Mar 23;14:1149256. doi: 10.3389/fendo.2023.1149256. eCollection 2023.
6
Circadian secretion rhythm of GLP-1 and its influencing factors.GLP-1 的昼夜分泌节律及其影响因素。
Front Endocrinol (Lausanne). 2022 Dec 2;13:991397. doi: 10.3389/fendo.2022.991397. eCollection 2022.
7
Gut Microbiota and Antidiabetic Drugs: Perspectives of Personalized Treatment in Type 2 Diabetes Mellitus.肠道微生物群与抗糖尿病药物:2 型糖尿病个体化治疗的视角。
Front Cell Infect Microbiol. 2022 May 31;12:853771. doi: 10.3389/fcimb.2022.853771. eCollection 2022.
8
Beneficial Actions of Essential Fatty Acids in Streptozotocin-Induced Type 1 Diabetes Mellitus.必需脂肪酸在链脲佐菌素诱导的1型糖尿病中的有益作用。
Front Nutr. 2022 May 19;9:890277. doi: 10.3389/fnut.2022.890277. eCollection 2022.
9
Development and Validation of Ultrahigh-Performance Liquid Chromatography Coupled with Triple Quadrupole Mass Spectrometry Method for Quantitative Determination of Ten Active Compounds in Ge-Gen-Jiao-Tai-Wan.超高效液相色谱-三重四极杆质谱联用法测定葛根交泰丸中十种活性成分的方法开发与验证
J Anal Methods Chem. 2022 Apr 10;2022:4713799. doi: 10.1155/2022/4713799. eCollection 2022.
10
Revealing the Hypoglycemic Effects and Mechanism of GABA-Rich Germinated Adzuki Beans on T2DM Mice by Untargeted Serum Metabolomics.基于非靶向血清代谢组学揭示富含γ-氨基丁酸的发芽赤小豆对2型糖尿病小鼠的降血糖作用及机制
Front Nutr. 2021 Dec 14;8:791191. doi: 10.3389/fnut.2021.791191. eCollection 2021.
青钱柳叶多糖通过调节肠道微生物群和短链脂肪酸来缓解 2 型糖尿病症状。
Phytomedicine. 2020 Oct;77:153268. doi: 10.1016/j.phymed.2020.153268. Epub 2020 Jun 30.
4
San-Huang-Tang protects obesity/diabetes induced NAFLD by upregulating PGC-1α/PEPCK signaling in obese and galr1 knockout mice models.三黄汤通过上调肥胖和 Galr1 基因敲除小鼠模型中 PGC-1α/PEPCK 信号来保护肥胖/糖尿病诱导的非酒精性脂肪性肝病。
J Ethnopharmacol. 2020 Mar 25;250:112483. doi: 10.1016/j.jep.2019.112483. Epub 2019 Dec 13.
5
Bacteroidetes and Firmicutes levels in gut microbiota and effects of hosts TLR2/TLR4 gene expression levels in adult type 1 diabetes patients in Istanbul, Turkey.肠道微生物群中拟杆菌门和厚壁菌门的水平以及土耳其伊斯坦布尔成人 1 型糖尿病患者 TLR2/TLR4 基因表达水平对其的影响。
J Diabetes Complications. 2020 Feb;34(2):107449. doi: 10.1016/j.jdiacomp.2019.107449. Epub 2019 Sep 11.
6
The effect of Shengpuhuang-tang on retinal inflammation in streptozotocin-induced diabetic rats by NF-κB pathway.圣愈降糖汤通过 NF-κB 通路对链脲佐菌素诱导的糖尿病大鼠视网膜炎症的影响。
J Ethnopharmacol. 2020 Jan 30;247:112275. doi: 10.1016/j.jep.2019.112275. Epub 2019 Oct 4.
7
Regulatory effect of a Chinese herbal medicine formula on non-alcoholic fatty liver disease.中药方剂对非酒精性脂肪肝的调控作用。
World J Gastroenterol. 2019 Sep 14;25(34):5105-5119. doi: 10.3748/wjg.v25.i34.5105.
8
Metabolomics study on the therapeutic effect of traditional Chinese medicine Xue-Fu-Zhu-Yu decoction in coronary heart disease based on LC-Q-TOF/MS and GC-MS analysis.基于 LC-Q-TOF/MS 和 GC-MS 分析的 Xue-Fu-Zhu-Yu decoction 治疗冠心病代谢组学研究。
Drug Metab Pharmacokinet. 2019 Oct;34(5):340-349. doi: 10.1016/j.dmpk.2019.07.004. Epub 2019 Aug 2.
9
The Chinese Herbal Formula Shenzhu Tiaopi Granule Results in Metabolic Improvement in Type 2 Diabetic Rats by Modulating the Gut Microbiota.中药配方神术调脾颗粒通过调节肠道菌群改善2型糖尿病大鼠的代谢。
Evid Based Complement Alternat Med. 2019 Jun 4;2019:6976394. doi: 10.1155/2019/6976394. eCollection 2019.
10
Analysis of Health Benefits Conferred by Species from Kefir.分析开菲尔中 种属带来的健康益处。
Nutrients. 2019 Jun 1;11(6):1252. doi: 10.3390/nu11061252.