Suppr超能文献

引力主导碰撞:一种针对最大残骸质量的模型,包含对“肇事逃逸”和密度分层的处理

Gravity-dominated Collisions: A Model for the Largest Remnant Masses with Treatment for "Hit and Run" and Density Stratification.

作者信息

Gabriel Travis S J, Jackson Alan P, Asphaug Erik, Reufer Andreas, Jutzi Martin, Benz Willy

机构信息

Arizona State University, 781 E Terrace Mall, ISTB4, Room 795, Tempe, AZ 85287-6004, USA.

Centre for Planetary Sciences, University of Toronto, 1265 Military Trail, Toronto, Ontario, M1C 1A4, Canada.

出版信息

Astrophys J. 2020 Mar 20;892(1):40. doi: 10.3847/1538-4357/ab528d. Epub 2020 Mar 24.

Abstract

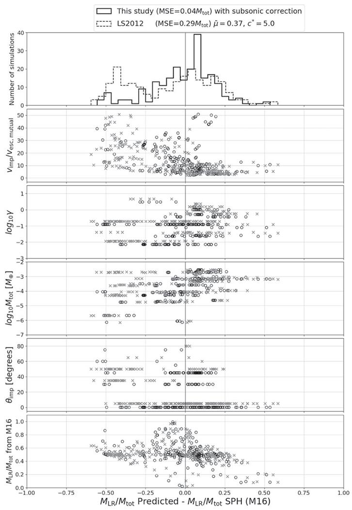
We develop empirical relationships for the accretion and erosion of colliding gravity-dominated bodies of various compositions under conditions expected in late-stage solar system formation. These are fast, easily coded relationships based on a large database of smoothed particle hydrodynamics (SPH) simulations of collisions between bodies of different compositions, including those that are water rich. The accuracy of these relations is also comparable to the deviations of results between different SPH codes and initial thermal/rotational conditions. We illustrate the paucity of disruptive collisions between major bodies, as compared to collisions between less massive planetesimals in late-stage planet formation, and thus focus on more probable, low-velocity collisions, though our relations remain relevant to disruptive collisions as well. We also pay particular attention to the transition zone between merging collisions and those where the impactor does not merge with the target, but continues downrange, a "hit-and-run" collision. We find that hit-and-run collisions likely occur more often in density-stratified bodies and across a wider range of impact angles than suggested by the most commonly used analytic approximation. We also identify a possible transitional zone in gravity-dominated collisions where larger bodies may undergo more disruptive collisions when the impact velocity exceeds the sound speed, though understanding this transition warrants further study. Our results are contrary to the commonly assumed invariance of total mass (scale), density structure, and material composition on the largest remnants of giant impacts. We provide an algorithm for adopting our model into -body planet formation simulations, so that the mass of growing planets and debris can be tracked.

摘要

我们建立了经验关系,用于描述在太阳系形成后期预期条件下,各种成分的碰撞引力主导天体的吸积和侵蚀情况。这些关系基于一个大型数据库,该数据库包含不同成分天体(包括富含水的天体)碰撞的光滑粒子流体动力学(SPH)模拟结果,具有快速、易于编码的特点。这些关系的准确性也与不同SPH代码和初始热/旋转条件下结果的偏差相当。我们说明了在行星形成后期,与较小质量的星子之间的碰撞相比,大天体之间破坏性碰撞的稀少性,因此我们关注更可能发生的低速碰撞,尽管我们的关系也与破坏性碰撞相关。我们还特别关注合并碰撞与撞击体不与目标合并而是继续沿射程前进的碰撞(即“肇事逃逸”碰撞)之间的过渡区域。我们发现,肇事逃逸碰撞在密度分层的天体中可能更频繁地发生,且发生的撞击角度范围比最常用的解析近似所暗示的更广。我们还确定了引力主导碰撞中一个可能的过渡区域,当撞击速度超过声速时,较大的天体可能会经历更多的破坏性碰撞,不过对这一过渡的理解仍需进一步研究。我们 的结果与通常假设的关于巨大撞击最大残余物的总质量(尺度)、密度结构和物质组成的不变性相反。我们提供了一种算法,可将我们的模型应用于多体行星形成模拟中,以便跟踪正在增长的行星和碎片的质量。

https://cdn.ncbi.nlm.nih.gov/pmc/blobs/b9fa/8097937/f99bcb46d40e/nihms-1690526-f0001.jpg

文献检索

告别复杂PubMed语法,用中文像聊天一样搜索,搜遍4000万医学文献。AI智能推荐,让科研检索更轻松。

立即免费搜索

文件翻译

保留排版,准确专业,支持PDF/Word/PPT等文件格式,支持 12+语言互译。

免费翻译文档

深度研究

AI帮你快速写综述,25分钟生成高质量综述,智能提取关键信息,辅助科研写作。

立即免费体验