Suppr超能文献

社区居住老年人中晚期糖基化终末产物积累与膀胱过度活动症的关联:一项横断面须贺川研究。

Association of advanced glycation end-product accumulation with overactive bladder in community-dwelling elderly: A cross-sectional Sukagawa study.

作者信息

Omae Kenji, Kurita Noriaki, Takahashi Sei, Fukuma Shingo, Yamamoto Yosuke, Fukuhara Shunichi

机构信息

Kyoto University, School of Public Health in the Graduate School of Medicine, Department of Healthcare Epidemiology, Yoshida Konoe-cho, Sakyo-ku, Kyoto, Japan.

Fukushima Medical University, Center for Innovative Research for Communities and Clinical Excellence, 1 Hikarigaoka, Fukushima City, Fukushima, Japan.

出版信息

Asian J Urol. 2021 Apr;8(2):189-196. doi: 10.1016/j.ajur.2020.03.004. Epub 2020 Mar 27.

Abstract

OBJECTIVE

This study aimed to evaluate the influence of advanced glycation end-product (AGE) accumulation on the prevalence and severity of overactive bladder (OAB) in community-dwelling elderly adults.

METHODS

We conducted a cross-sectional study involving 269 Japanese community dwellers aged ≥75 years in 2015. AGE accumulation was non-invasively measured via skin autofluorescence (SAF) values using AGE Reader. The primary and secondary outcomes were the presence and severity of OAB evaluated using the Overactive Bladder Symptom Score (OABSS). Individuals with an urgency score of ≥2 and sum score of ≥3 were considered to have OAB. The associations of SAF with the prevalence and severity of OAB were assessed using logistic and linear regression models, respectively, adjusted for clinically important confounders.

RESULTS

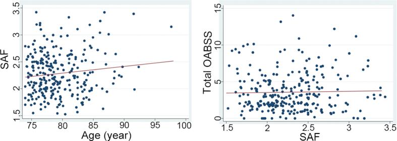
The median age of participants was 78 years. Of 269 participants, 110 (40.9%) were men and 75 (27.9%) had OAB. The median SAF was 2.2 arbitrary units (AUs). Increasing median SAF was observed with increasing age. Multivariable analysis revealed that SAF was not associated with either the likelihood of having OAB (odds ratio per AU=0.77, 95% confidence interval: 0.37-1.62) or the natural log-transformed OABSS (β per AU=-0.07, 95% confidence interval: -0.26-0.12).

CONCLUSIONS

In this study, AGE accumulation, as assessed by SAF, was not associated with the prevalence and severity of OAB in Japanese community-dwelling elderly people aged ≥75 years.

摘要

目的

本研究旨在评估晚期糖基化终产物(AGE)积累对社区居住老年成年人膀胱过度活动症(OAB)患病率及严重程度的影响。

方法

2015年,我们对269名年龄≥75岁的日本社区居民进行了一项横断面研究。使用AGE Reader通过皮肤自发荧光(SAF)值对AGE积累进行无创测量。主要和次要结局分别为使用膀胱过度活动症症状评分(OABSS)评估的OAB的存在情况及严重程度。尿急评分≥2且总分≥3的个体被视为患有OAB。分别使用逻辑回归和线性回归模型评估SAF与OAB患病率及严重程度的关联,并对具有临床意义的混杂因素进行校正。

结果

参与者的中位年龄为78岁。在269名参与者中,110名(40.9%)为男性,75名(27.9%)患有OAB。SAF的中位数为2.2任意单位(AU)。随着年龄的增加,SAF中位数也升高。多变量分析显示,SAF与患OAB的可能性(每AU比值比=0.77,95%置信区间:0.37 - 1.62)或自然对数转换后的OABSS(每AUβ=-0.07,95%置信区间:-0.26 - 0.12)均无关联。

结论

在本研究中,通过SAF评估的AGE积累与年龄≥75岁的日本社区居住老年人OAB的患病率及严重程度无关。

https://cdn.ncbi.nlm.nih.gov/pmc/blobs/0b7e/8099641/f6e8eb5e9de7/gr1.jpg

文献检索

告别复杂PubMed语法,用中文像聊天一样搜索,搜遍4000万医学文献。AI智能推荐,让科研检索更轻松。

立即免费搜索

文件翻译

保留排版,准确专业,支持PDF/Word/PPT等文件格式,支持 12+语言互译。

免费翻译文档

深度研究

AI帮你快速写综述,25分钟生成高质量综述,智能提取关键信息,辅助科研写作。

立即免费体验