Suppr超能文献

炎性乳腺癌患者特定原因死亡率的列线图估计:竞争风险分析。

Nomograms for Estimating Cause-Specific Death Rates of Patients With Inflammatory Breast Cancer: A Competing-Risks Analysis.

机构信息

Department of Clinical Research, The First Affiliated Hospital of Jinan University, Guangzhou, Guangdong Province, China.

School of Public Health, Xi'an Jiaotong University Health Science Center, Xi'an, Shaanxi Province, China.

出版信息

Technol Cancer Res Treat. 2021 Jan-Dec;20:15330338211016371. doi: 10.1177/15330338211016371.

Abstract

PURPOSE

Inflammatory breast cancer (IBC) is a rare, aggressive and special subtype of primary breast cancer. We aimed to establish competing-risks nomograms to predict the IBC-specific death (BCSD) and other-cause-specific death (OCSD) of IBC patients.

METHODS

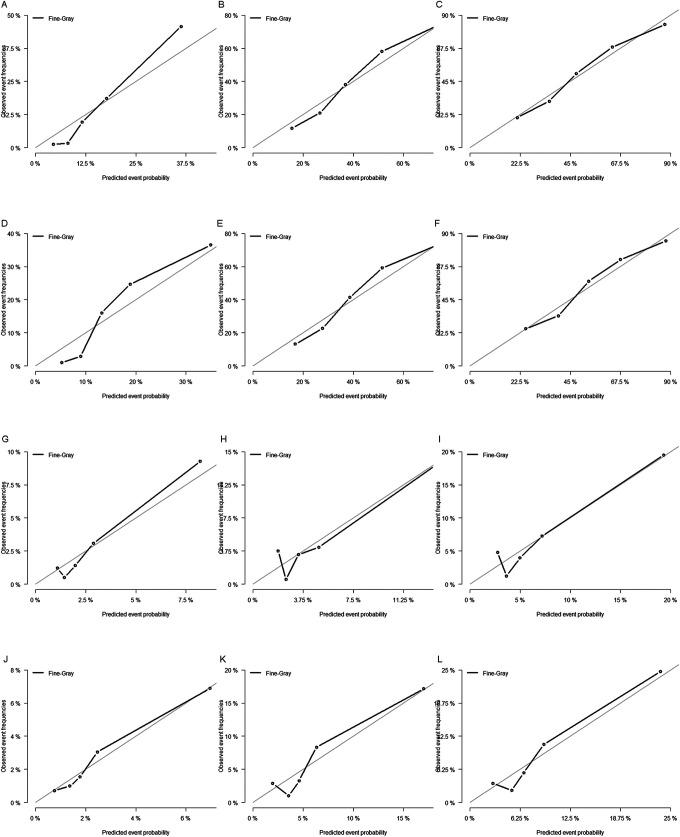
We extracted data on primary IBC patients from the SEER (Surveillance, Epidemiology, and End Results) database by applying specific inclusion and exclusion criteria. Cumulative incidence function (CIF) was used to calculate the cumulative incidence rates and Gray's test was used to evaluate the difference between groups. Fine-Gray proportional subdistribution hazard method was applied to identify the independent predictors. We then established nomograms to predict the 1-, 3-, and 5-year cumulative incidence rates of BCSD and OCSD based on the results. The calibration curves and concordance index (C-index) were adopted to validate the nomograms.

RESULTS

We enrolled 1699 eligible IBC patients eventually. In general, the 1-, 3-, and 5-years cumulative incidence rates of BCSD were 15.3%, 41.0%, and 50.7%, respectively, while those of OCSD were 3.0%, 5.1%, and 7.4%. The following 9 variables were independent predictive factors for BCSD: race, lymph node ratio (LNR), AJCC M stage, histological grade, ER (estrogen receptor) status, PR (progesterone receptor) status, HER-2 (human epidermal growth factor-like receptor 2) status, surgery status, and radiotherapy status. Meanwhile, age, ER, PR and chemotherapy status could predict OCSD independently. These factors were integrated for the construction of the competing-risks nomograms. The results of calibration curves and C-indexes indicated the nomograms had good performance.

CONCLUSIONS

Based on the SEER database, we established the first competing-risks nomograms to predict BCSD and OCSD of IBC patients. The good performance indicated that they could be incorporated in clinical practice to provide references for clinicians to make individualized treatment strategies.

摘要

目的

炎性乳腺癌(IBC)是一种罕见的、侵袭性的特殊乳腺癌亚型。本研究旨在建立竞争风险列线图以预测 IBC 患者的 IBC 特异性死亡(BCSD)和其他原因特异性死亡(OCSD)。

方法

我们通过应用特定的纳入和排除标准,从 SEER(监测、流行病学和最终结果)数据库中提取原发性 IBC 患者的数据。使用累积发生率函数(CIF)计算累积发生率,使用 Gray 检验评估组间差异。采用 Fine-Gray 比例亚分布风险方法识别独立预测因素。然后根据结果建立预测 BCSD 和 OCSD 1、3 和 5 年累积发生率的列线图。采用校准曲线和一致性指数(C-index)验证列线图。

结果

我们最终纳入了 1699 例符合条件的 IBC 患者。总体而言,BCSD 的 1、3 和 5 年累积发生率分别为 15.3%、41.0%和 50.7%,而 OCSD 的 1、3 和 5 年累积发生率分别为 3.0%、5.1%和 7.4%。以下 9 个变量是 BCSD 的独立预测因素:种族、淋巴结比值(LNR)、AJCC M 分期、组织学分级、ER(雌激素受体)状态、PR(孕激素受体)状态、HER-2(人类表皮生长因子受体 2)状态、手术状态和放疗状态。同时,年龄、ER、PR 和化疗状态可以独立预测 OCSD。这些因素被整合用于构建竞争风险列线图。校准曲线和 C-index 的结果表明,列线图具有良好的性能。

结论

基于 SEER 数据库,我们建立了首个预测 IBC 患者 BCSD 和 OCSD 的竞争风险列线图。良好的性能表明,它们可以纳入临床实践,为临床医生制定个体化治疗策略提供参考。

https://cdn.ncbi.nlm.nih.gov/pmc/blobs/64e9/8141985/12e49b978fff/10.1177_15330338211016371-fig1.jpg

文献AI研究员

20分钟写一篇综述,助力文献阅读效率提升50倍。

立即体验

用中文搜PubMed

大模型驱动的PubMed中文搜索引擎

马上搜索

文档翻译

学术文献翻译模型,支持多种主流文档格式。

立即体验