• 文献检索
  • 文档翻译
  • 深度研究
  • 学术资讯
  • Suppr Zotero 插件Zotero 插件
  • 邀请有礼
  • 套餐&价格
  • 历史记录
应用&插件
Suppr Zotero 插件Zotero 插件浏览器插件Mac 客户端Windows 客户端微信小程序
定价
高级版会员购买积分包购买API积分包
服务
文献检索文档翻译深度研究API 文档MCP 服务
关于我们
关于 Suppr公司介绍联系我们用户协议隐私条款
关注我们

Suppr 超能文献

核心技术专利:CN118964589B侵权必究
粤ICP备2023148730 号-1Suppr @ 2026

文献检索

告别复杂PubMed语法,用中文像聊天一样搜索,搜遍4000万医学文献。AI智能推荐,让科研检索更轻松。

立即免费搜索

文件翻译

保留排版,准确专业,支持PDF/Word/PPT等文件格式,支持 12+语言互译。

免费翻译文档

深度研究

AI帮你快速写综述,25分钟生成高质量综述,智能提取关键信息,辅助科研写作。

立即免费体验

基于放射组学的模型,利用钆塞酸增强 MRI 对肝硬化病因进行分类。

A radiomics-based model to classify the etiology of liver cirrhosis using gadoxetic acid-enhanced MRI.

机构信息

Department of Diagnostic and Interventional Radiology, Charité-Universitätsmedizin Berlin, Corporate Member of Freie Universität Berlin, Humboldt-Universität Zu Berlin, Berlin Institute of Health, Augustenburger Platz 1, 13353, Berlin, Germany.

Berlin Institute of Health (BIH), Anna-Louisa-Karsch-Straße 2, 10178, Berlin, Germany.

出版信息

Sci Rep. 2021 May 24;11(1):10778. doi: 10.1038/s41598-021-90257-9.

DOI:10.1038/s41598-021-90257-9
PMID:34031487
原文链接:https://pmc.ncbi.nlm.nih.gov/articles/PMC8144372/
Abstract

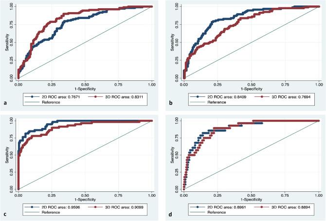
The implementation of radiomics in radiology is gaining interest due to its wide range of applications. To develop a radiomics-based model for classifying the etiology of liver cirrhosis using gadoxetic acid-enhanced MRI, 248 patients with a known etiology of liver cirrhosis who underwent 306 gadoxetic acid-enhanced MRI examinations were included in the analysis. MRI examinations were classified into 6 groups according to the etiology of liver cirrhosis: alcoholic cirrhosis, viral hepatitis, cholestatic liver disease, nonalcoholic steatohepatitis (NASH), autoimmune hepatitis, and other. MRI examinations were randomized into training and testing subsets. Radiomics features were extracted from regions of interest segmented in the hepatobiliary phase images. The fivefold cross-validated models (2-dimensional-(2D) and 3-dimensional-(3D) based) differentiating cholestatic cirrhosis from noncholestatic etiologies had the best accuracy (87.5%, 85.6%), sensitivity (97.6%, 95.6%), predictive value (0.883, 0.877), and area under curve (AUC) (0.960, 0.910). The AUC was larger in the 2D-model for viral hepatitis, cholestatic cirrhosis, and NASH-associated cirrhosis (P-value of 0.05, 0.05, 0.87, respectively). In alcoholic cirrhosis, the AUC for the 3D model was larger (P = 0.01). The overall intra-class correlation coefficient (ICC) estimates and their 95% confident intervals (CI) for all features combined was 0.68 (CI 0.56-0.87) for 2D and 0.71 (CI 0.61-0.93) for 3D measurements suggesting moderate reliability. Radiomics-based analysis of hepatobiliary phase images of gadoxetic acid-enhanced MRI may be a promising noninvasive method for identifying the etiology of liver cirrhosis with better performance of the 2D- compared with the 3D-generated models.

摘要

基于钆塞酸增强 MRI 的放射组学模型对肝硬化病因学的分类:多中心研究。放射组学在放射学中的应用越来越受到关注,因为它的应用范围很广。为了开发一种基于放射组学的模型,用于使用钆塞酸增强 MRI 对肝硬化的病因进行分类,我们对 248 例已知肝硬化病因的患者进行了 306 次钆塞酸增强 MRI 检查,对这些患者进行了分析。根据肝硬化的病因,将 MRI 检查分为 6 组:酒精性肝硬化、病毒性肝炎、胆汁淤积性肝病、非酒精性脂肪性肝炎(NASH)、自身免疫性肝炎和其他。MRI 检查被随机分为训练和测试子集。从肝胆期图像的感兴趣区域中提取放射组学特征。五重交叉验证模型(基于 2 维和 3 维)在区分胆汁淤积性肝硬化与非胆汁淤积性病因方面具有最佳的准确性(87.5%,85.6%)、敏感性(97.6%,95.6%)、预测值(0.883,0.877)和曲线下面积(AUC)(0.960,0.910)。在病毒性肝炎、胆汁淤积性肝硬化和 NASH 相关性肝硬化中,2D 模型的 AUC 更大(P 值分别为 0.05、0.05、0.87)。在酒精性肝硬化中,3D 模型的 AUC 更大(P=0.01)。所有特征联合的总体组内相关系数(ICC)估计值及其 95%置信区间(CI)为 2D 为 0.68(CI 0.56-0.87),3D 为 0.71(CI 0.61-0.93),表明具有中度可靠性。基于钆塞酸增强 MRI 肝胆期图像的放射组学分析可能是一种很有前途的非侵入性方法,可用于识别肝硬化的病因,与 3D 生成的模型相比,2D 模型的性能更好。

https://cdn.ncbi.nlm.nih.gov/pmc/blobs/407e/8144372/48cc88ece224/41598_2021_90257_Fig5_HTML.jpg
https://cdn.ncbi.nlm.nih.gov/pmc/blobs/407e/8144372/ada8ef7d39eb/41598_2021_90257_Fig1_HTML.jpg
https://cdn.ncbi.nlm.nih.gov/pmc/blobs/407e/8144372/7fc522f1dabd/41598_2021_90257_Fig2_HTML.jpg
https://cdn.ncbi.nlm.nih.gov/pmc/blobs/407e/8144372/2a12ce11ccdd/41598_2021_90257_Fig3_HTML.jpg
https://cdn.ncbi.nlm.nih.gov/pmc/blobs/407e/8144372/22a2c2f5d04b/41598_2021_90257_Fig4_HTML.jpg
https://cdn.ncbi.nlm.nih.gov/pmc/blobs/407e/8144372/48cc88ece224/41598_2021_90257_Fig5_HTML.jpg
https://cdn.ncbi.nlm.nih.gov/pmc/blobs/407e/8144372/ada8ef7d39eb/41598_2021_90257_Fig1_HTML.jpg
https://cdn.ncbi.nlm.nih.gov/pmc/blobs/407e/8144372/7fc522f1dabd/41598_2021_90257_Fig2_HTML.jpg
https://cdn.ncbi.nlm.nih.gov/pmc/blobs/407e/8144372/2a12ce11ccdd/41598_2021_90257_Fig3_HTML.jpg
https://cdn.ncbi.nlm.nih.gov/pmc/blobs/407e/8144372/22a2c2f5d04b/41598_2021_90257_Fig4_HTML.jpg
https://cdn.ncbi.nlm.nih.gov/pmc/blobs/407e/8144372/48cc88ece224/41598_2021_90257_Fig5_HTML.jpg

相似文献

1
A radiomics-based model to classify the etiology of liver cirrhosis using gadoxetic acid-enhanced MRI.基于放射组学的模型,利用钆塞酸增强 MRI 对肝硬化病因进行分类。
Sci Rep. 2021 May 24;11(1):10778. doi: 10.1038/s41598-021-90257-9.
2
Radiomics model based on preoperative gadoxetic acid-enhanced MRI for predicting liver failure.基于术前钆塞酸增强 MRI 的放射组学模型预测肝衰竭。
World J Gastroenterol. 2020 Mar 21;26(11):1208-1220. doi: 10.3748/wjg.v26.i11.1208.
3
A radiomics-based biomarker for cytokeratin 19 status of hepatocellular carcinoma with gadoxetic acid-enhanced MRI.基于影像组学的钆塞酸增强 MRI 肝细胞癌细胞角蛋白 19 状态的生物标志物
Eur Radiol. 2020 May;30(5):3004-3014. doi: 10.1007/s00330-019-06585-y. Epub 2020 Jan 30.
4
Radiomics Analysis of Gadoxetic Acid-enhanced MRI for Staging Liver Fibrosis.钆塞酸增强 MRI 影像学组学分析用于肝纤维化分期。
Radiology. 2019 Feb;290(2):380-387. doi: 10.1148/radiol.2018181197. Epub 2018 Dec 4.
5
Hepatobiliary phase in cirrhotic patients with different Model for End-stage Liver Disease score: comparison of the performance of gadoxetic acid to gadobenate dimeglumine.肝硬化患者不同终末期肝病模型评分的肝胆期:钆塞酸二钠与钆贝葡胺的性能比较。
Eur Radiol. 2019 Jun;29(6):3090-3099. doi: 10.1007/s00330-018-5884-2. Epub 2018 Dec 13.
6
Performance of gadoxetic acid MRI and diffusion-weighted imaging for the diagnosis of early recurrence of hepatocellular carcinoma.钆塞酸 MRI 和扩散加权成像在诊断肝细胞癌早期复发中的性能。
Eur Radiol. 2020 Jan;30(1):186-194. doi: 10.1007/s00330-019-06351-0. Epub 2019 Aug 1.
7
Determining the efficacy of functional liver imaging score (FLIS) obtained from gadoxetic acid-enhanced MRI in patients with chronic liver disease and liver cirrhosis: the relationship between Albumin-Bilirubin (ALBI) grade and FLIS.探讨慢性肝病和肝硬化患者从钆塞酸增强 MRI 获得的功能肝脏成像评分(FLIS)的疗效:ALBI 分级与 FLIS 的关系。
Abdom Radiol (NY). 2022 Jul;47(7):2325-2334. doi: 10.1007/s00261-022-03557-7. Epub 2022 Jun 7.
8
Assessment of liver fibrosis with gadoxetic acid-enhanced MRI: comparisons with transient elastography, ElastPQ, and serologic fibrosis markers.钆塞酸增强 MRI 评估肝纤维化:与瞬时弹性成像、ElastPQ 和血清纤维化标志物的比较。
Abdom Radiol (NY). 2019 Aug;44(8):2769-2780. doi: 10.1007/s00261-019-02041-z.
9
Staging liver fibrosis in chronic hepatitis B with T relaxation time index on gadoxetic acid-enhanced MRI: Comparison with aspartate aminotransferase-to-platelet ratio index and FIB-4.使用钆塞酸增强磁共振成像的T弛豫时间指数对慢性乙型肝炎患者的肝纤维化进行分期:与天冬氨酸氨基转移酶与血小板比值指数及FIB-4的比较
J Magn Reson Imaging. 2017 Apr;45(4):1186-1194. doi: 10.1002/jmri.25440. Epub 2016 Aug 26.
10
Imaging-Based Staging of Hepatic Fibrosis in Patients with Hepatitis B: A Dynamic Radiomics Model Based on Gd-EOB-DTPA-Enhanced MRI.基于影像的乙型肝炎患者肝纤维化分期:一种基于钆塞酸二钠增强MRI的动态影像组学模型
Biomolecules. 2021 Feb 18;11(2):307. doi: 10.3390/biom11020307.

引用本文的文献

1
MRI Radiomics to Predict Early Treatment Response to TACE Combined with Lenvatinib Plus a PD-1 Inhibitor for Hepatocellular Carcinoma with Portal Vein Tumor Thrombus.磁共振成像放射组学预测经动脉化疗栓塞联合乐伐替尼加PD-1抑制剂对伴门静脉癌栓肝细胞癌的早期治疗反应
J Hepatocell Carcinoma. 2025 May 16;12:985-998. doi: 10.2147/JHC.S513696. eCollection 2025.
2
Clinic-radiomics model using liver magnetic resonance imaging helps predict chronicity of drug-induced liver injury.基于肝脏磁共振成像的临床放射组学模型有助于预测药物性肝损伤的慢性程度。
Hepatol Int. 2023 Dec;17(6):1626-1636. doi: 10.1007/s12072-023-10539-4. Epub 2023 May 15.
3

本文引用的文献

1
The Image Biomarker Standardization Initiative: Standardized Quantitative Radiomics for High-Throughput Image-based Phenotyping.影像生物标志物标准化倡议:高通量基于影像表型的标准化定量放射组学。
Radiology. 2020 May;295(2):328-338. doi: 10.1148/radiol.2020191145. Epub 2020 Mar 10.
2
Systematic review: The diagnostic efficacy of gadoxetic acid-enhanced MRI for liver fibrosis staging.系统评价:钆塞酸增强 MRI 对肝纤维化分期的诊断效能。
Eur J Radiol. 2020 Apr;125:108857. doi: 10.1016/j.ejrad.2020.108857. Epub 2020 Jan 30.
3
Evaluating hepatotoxic effects of chemotherapeutic agents with gadoxetic-acid-enhanced magnetic resonance imaging.
CT radiomics model combined with clinical and radiographic features for discriminating peripheral small cell lung cancer from peripheral lung adenocarcinoma.
结合临床和影像学特征的CT影像组学模型用于鉴别外周型小细胞肺癌和外周型肺腺癌
Front Oncol. 2023 Mar 20;13:1157891. doi: 10.3389/fonc.2023.1157891. eCollection 2023.
4
Updates on Quantitative MRI of Diffuse Liver Disease: A Narrative Review.漫谈肝脏弥散性疾病的定量 MRI 研究进展
Biomed Res Int. 2022 Dec 28;2022:1147111. doi: 10.1155/2022/1147111. eCollection 2022.
5
Deep learning supports the differentiation of alcoholic and other-than-alcoholic cirrhosis based on MRI.深度学习支持基于 MRI 区分酒精性和非酒精性肝硬化。
Sci Rep. 2022 May 18;12(1):8297. doi: 10.1038/s41598-022-12410-2.
6
Radiomics: A Primer on Processing Workflow and Analysis.影像组学:处理工作流程和分析简介。
Semin Ultrasound CT MR. 2022 Apr;43(2):142-146. doi: 10.1053/j.sult.2022.02.003. Epub 2022 Feb 12.
使用钆塞酸增强磁共振成像评估化疗药物的肝毒性作用。
Eur J Radiol. 2020 Mar;124:108807. doi: 10.1016/j.ejrad.2019.108807. Epub 2019 Dec 31.
4
Radiomics-Based Machine Learning Technology Enables Better Differentiation Between Glioblastoma and Anaplastic Oligodendroglioma.基于影像组学的机器学习技术能够更好地区分胶质母细胞瘤和间变性少突胶质细胞瘤。
Front Oncol. 2019 Nov 5;9:1164. doi: 10.3389/fonc.2019.01164. eCollection 2019.
5
Intraclass correlation - A discussion and demonstration of basic features.组内相关系数 - 基本特征的讨论与演示。
PLoS One. 2019 Jul 22;14(7):e0219854. doi: 10.1371/journal.pone.0219854. eCollection 2019.
6
B-mode ultrasound for the assessment of hepatic fibrosis: a quantitative multiparametric analysis for a radiomics approach.B 型超声评估肝纤维化:一种基于放射组学方法的定量多参数分析。
Sci Rep. 2019 Jun 18;9(1):8708. doi: 10.1038/s41598-019-45043-z.
7
Radiomic analysis of contrast-enhanced CT predicts microvascular invasion and outcome in hepatocellular carcinoma.基于增强 CT 的影像组学分析预测肝细胞癌的微血管侵犯及预后
J Hepatol. 2019 Jun;70(6):1133-1144. doi: 10.1016/j.jhep.2019.02.023. Epub 2019 Mar 13.
8
Radiomics-based classification of hepatocellular carcinoma and hepatic haemangioma on precontrast magnetic resonance images.基于影像组学的肝细胞癌和肝血管瘤在对比前磁共振图像上的分类
BMC Med Imaging. 2019 Mar 11;19(1):23. doi: 10.1186/s12880-019-0321-9.
9
Radiomics Analysis of Gadoxetic Acid-enhanced MRI for Staging Liver Fibrosis.钆塞酸增强 MRI 影像学组学分析用于肝纤维化分期。
Radiology. 2019 Feb;290(2):380-387. doi: 10.1148/radiol.2018181197. Epub 2018 Dec 4.
10
Burden of liver diseases in the world.世界范围内的肝脏疾病负担。
J Hepatol. 2019 Jan;70(1):151-171. doi: 10.1016/j.jhep.2018.09.014. Epub 2018 Sep 26.