• 文献检索
  • 文档翻译
  • 深度研究
  • 学术资讯
  • Suppr Zotero 插件Zotero 插件
  • 邀请有礼
  • 套餐&价格
  • 历史记录
应用&插件
Suppr Zotero 插件Zotero 插件浏览器插件Mac 客户端Windows 客户端微信小程序
定价
高级版会员购买积分包购买API积分包
服务
文献检索文档翻译深度研究API 文档MCP 服务
关于我们
关于 Suppr公司介绍联系我们用户协议隐私条款
关注我们

Suppr 超能文献

核心技术专利:CN118964589B侵权必究
粤ICP备2023148730 号-1Suppr @ 2026

文献检索

告别复杂PubMed语法,用中文像聊天一样搜索,搜遍4000万医学文献。AI智能推荐,让科研检索更轻松。

立即免费搜索

文件翻译

保留排版,准确专业,支持PDF/Word/PPT等文件格式,支持 12+语言互译。

免费翻译文档

深度研究

AI帮你快速写综述,25分钟生成高质量综述,智能提取关键信息,辅助科研写作。

立即免费体验

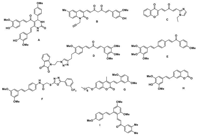
基于姜黄素和白藜芦醇的新型杂化物:合成、细胞毒性及对结肠癌细胞的抗增殖活性。

New Hybrids Based on Curcumin and Resveratrol: Synthesis, Cytotoxicity and Antiproliferative Activity against Colorectal Cancer Cells.

机构信息

Química de Plantas Colombianas, Faculty of Exact and Natural Sciences, Institute of Chemistry, University of Antioquia (UdeA), Calle 70 No. 52-21, Medellín AA 1226, Colombia.

出版信息

Molecules. 2021 May 1;26(9):2661. doi: 10.3390/molecules26092661.

DOI:10.3390/molecules26092661
PMID:34062841
原文链接:https://pmc.ncbi.nlm.nih.gov/articles/PMC8124228/
Abstract

We synthesized twelve hybrids based on curcumin and resveratrol, and their structures were elucidated by spectroscopic analysis. The chemopreventive potential of these compounds was evaluated against SW480 human colon adenocarcinoma cells, its metastatic derivative SW620, along with the non-malignant CHO-K1 cell line. Among the tested compounds, hybrids and (for SW480) and , and (for SW620) displayed the best cytotoxic activity with IC values ranging from 11.52 ± 2.78 to 29.33 ± 4.73 µM for both cell lines, with selectivity indices (SI) higher than 1, after 48 h of treatment. Selectivity indices were even higher than those reported for the reference drug, 5-fluorouracil (SI = 0.96), the starting compound resveratrol (SI = 0.45) and the equimolar mixture of curcumin plus resveratrol (SI = 0.77). The previous hybrids showed good antiproliferative activity.

摘要

我们合成了基于姜黄素和白藜芦醇的 12 种杂化物,并通过光谱分析阐明了它们的结构。这些化合物的化学预防潜力通过对 SW480 人结肠腺癌细胞及其转移性衍生物 SW620 以及非恶性 CHO-K1 细胞系进行评估。在测试的化合物中,杂化物和(针对 SW480)和,以及(针对 SW620)显示出最好的细胞毒性活性,IC 值范围为 11.52 ± 2.78 至 29.33 ± 4.73 μM,对于两种细胞系,在 48 小时的治疗后,选择性指数(SI)高于 1。选择性指数甚至高于参考药物 5-氟尿嘧啶(SI = 0.96)、起始化合物白藜芦醇(SI = 0.45)和姜黄素与白藜芦醇等摩尔混合物(SI = 0.77)。之前的杂化物表现出良好的抗增殖活性。

https://cdn.ncbi.nlm.nih.gov/pmc/blobs/cb6e/8124228/ccca89205566/molecules-26-02661-g003.jpg
https://cdn.ncbi.nlm.nih.gov/pmc/blobs/cb6e/8124228/8160fa402ec0/molecules-26-02661-g001.jpg
https://cdn.ncbi.nlm.nih.gov/pmc/blobs/cb6e/8124228/7aa68387f784/molecules-26-02661-g002.jpg
https://cdn.ncbi.nlm.nih.gov/pmc/blobs/cb6e/8124228/6a6a48ea38d4/molecules-26-02661-sch001.jpg
https://cdn.ncbi.nlm.nih.gov/pmc/blobs/cb6e/8124228/ccca89205566/molecules-26-02661-g003.jpg
https://cdn.ncbi.nlm.nih.gov/pmc/blobs/cb6e/8124228/8160fa402ec0/molecules-26-02661-g001.jpg
https://cdn.ncbi.nlm.nih.gov/pmc/blobs/cb6e/8124228/7aa68387f784/molecules-26-02661-g002.jpg
https://cdn.ncbi.nlm.nih.gov/pmc/blobs/cb6e/8124228/6a6a48ea38d4/molecules-26-02661-sch001.jpg
https://cdn.ncbi.nlm.nih.gov/pmc/blobs/cb6e/8124228/ccca89205566/molecules-26-02661-g003.jpg

相似文献

1
New Hybrids Based on Curcumin and Resveratrol: Synthesis, Cytotoxicity and Antiproliferative Activity against Colorectal Cancer Cells.基于姜黄素和白藜芦醇的新型杂化物:合成、细胞毒性及对结肠癌细胞的抗增殖活性。
Molecules. 2021 May 1;26(9):2661. doi: 10.3390/molecules26092661.
2
Proapoptotic Effect and Molecular Docking Analysis of Curcumin-Resveratrol Hybrids in Colorectal Cancer Chemoprevention.姜黄素-白藜芦醇杂化物在结直肠癌化学预防中的促凋亡作用及分子对接分析。
Molecules. 2022 May 28;27(11):3486. doi: 10.3390/molecules27113486.
3
New Hybrid Scaffolds Based on 5-FU/Curcumin: Synthesis, Cytotoxic, Antiproliferative and Pro-Apoptotic Effect.基于5-氟尿嘧啶/姜黄素的新型混合支架:合成、细胞毒性、抗增殖和促凋亡作用
Pharmaceutics. 2023 Apr 12;15(4):1221. doi: 10.3390/pharmaceutics15041221.
4
Resveratrol/Hydrazone Hybrids: Synthesis and Chemopreventive Activity against Colorectal Cancer Cells.白藜芦醇/腙类杂化物:合成及其对结肠癌细胞的化学预防活性
Pharmaceutics. 2022 Oct 24;14(11):2278. doi: 10.3390/pharmaceutics14112278.
5
Novel Curcumin Inspired Antineoplastic 1-Sulfonyl-4-Piperidones: Design, Synthesis and Molecular Modeling Studies.新型姜黄素启发的抗肿瘤 1-磺酰基-4-哌啶酮:设计、合成及分子模拟研究。
Anticancer Agents Med Chem. 2019;19(8):1069-1078. doi: 10.2174/1871520619666190408131639.
6
Synthesis and Chemopreventive Potential of 5-FU/Genistein Hybrids on Colorectal Cancer Cells.5-氟尿嘧啶/染料木黄酮杂合物对结肠癌细胞的合成及化学预防潜力
Pharmaceuticals (Basel). 2022 Oct 21;15(10):1299. doi: 10.3390/ph15101299.
7
Cytotoxicity and Apoptosis Effects of Curcumin Analogue (2E,6E)-2,6-Bis(2,3-Dimethoxybenzylidine) Cyclohexanone (DMCH) on Human Colon Cancer Cells HT29 and SW620 In Vitro.姜黄素类似物(2E,6E)-2,6-双(2,3-二甲氧基苯亚甲基)环己酮(DMCH)对体外人结肠癌细胞 HT29 和 SW620 的细胞毒性和细胞凋亡作用。
Molecules. 2021 Feb 26;26(5):1261. doi: 10.3390/molecules26051261.
8
Pro-apoptotic genes as new targets for single and combinatorial treatments with resveratrol and curcumin in colorectal cancer.促凋亡基因作为白藜芦醇和姜黄素单药及联合治疗结直肠癌的新靶点。
Food Funct. 2019 Jun 19;10(6):3717-3726. doi: 10.1039/c9fo01014a.
9
Synthetic resveratrol-curcumin hybrid derivative inhibits mitosis progression in estrogen positive MCF-7 breast cancer cells.合成白藜芦醇-姜黄素杂合体衍生物抑制雌激素阳性 MCF-7 乳腺癌细胞有丝分裂进程。
Toxicol In Vitro. 2018 Aug;50:75-85. doi: 10.1016/j.tiv.2018.02.020. Epub 2018 Mar 2.
10
Biological activity, design, synthesis and structure activity relationship of some novel derivatives of curcumin containing sulfonamides.含磺酰胺基姜黄素衍生物的生物活性、设计、合成及构效关系研究。
Eur J Med Chem. 2013 Jun;64:579-88. doi: 10.1016/j.ejmech.2013.03.012. Epub 2013 Mar 22.

引用本文的文献

1
Natural polyphenols as novel interventions for aging and age-related diseases: Exploring efficacy, mechanisms of action and implications for future research.天然多酚作为衰老及与年龄相关疾病的新型干预手段:探索其功效、作用机制及对未来研究的意义。
Chin Herb Med. 2024 Sep 3;17(2):279-291. doi: 10.1016/j.chmed.2024.09.001. eCollection 2025 Apr.
2
Synthetic Curcumin Analogs in the Treatment of Cancer: A Literature Review.合成姜黄素类似物在癌症治疗中的应用:文献综述
Curr Med Chem. 2024 Jan 23. doi: 10.2174/0109298673256932231123151626.
3
New Hybrid Scaffolds Based on 5-FU/Curcumin: Synthesis, Cytotoxic, Antiproliferative and Pro-Apoptotic Effect.

本文引用的文献

1
Effect of methoxy stilbenes-analogs of resveratrol-on the viability and induction of cell cycle arrest and apoptosis in human myeloid leukemia cells.甲氧基二苯乙烯类似物-白藜芦醇对人髓系白血病细胞活力及诱导细胞周期阻滞和凋亡的影响。
Mol Cell Biochem. 2020 Nov;474(1-2):113-123. doi: 10.1007/s11010-020-03837-0. Epub 2020 Jul 31.
2
Synthesis and Evaluation of S-allyl Cysteine Ester - Caffeic Acid Amide Hybrids as Potential Anticancer Agents.S-烯丙基半胱氨酸酯-咖啡酸酰胺杂化物作为潜在抗癌剂的合成与评价
Iran J Pharm Res. 2019 Fall;18(4):1770-1789. doi: 10.22037/ijpr.2019.15184.12921.
3
Global cancer statistics 2018: GLOBOCAN estimates of incidence and mortality worldwide for 36 cancers in 185 countries.
基于5-氟尿嘧啶/姜黄素的新型混合支架:合成、细胞毒性、抗增殖和促凋亡作用
Pharmaceutics. 2023 Apr 12;15(4):1221. doi: 10.3390/pharmaceutics15041221.
4
Resveratrol/Hydrazone Hybrids: Synthesis and Chemopreventive Activity against Colorectal Cancer Cells.白藜芦醇/腙类杂化物:合成及其对结肠癌细胞的化学预防活性
Pharmaceutics. 2022 Oct 24;14(11):2278. doi: 10.3390/pharmaceutics14112278.
5
Synthesis and Chemopreventive Potential of 5-FU/Genistein Hybrids on Colorectal Cancer Cells.5-氟尿嘧啶/染料木黄酮杂合物对结肠癌细胞的合成及化学预防潜力
Pharmaceuticals (Basel). 2022 Oct 21;15(10):1299. doi: 10.3390/ph15101299.
6
Chemopreventive Effect on Human Colon Adenocarcinoma Cells of Styrylquinolines: Synthesis, Cytotoxicity, Proapoptotic Effect and Molecular Docking Analysis.苯乙烯基喹啉类化合物对人结肠腺癌细胞的化学预防作用:合成、细胞毒性、促凋亡作用及分子对接分析。
Molecules. 2022 Oct 21;27(20):7108. doi: 10.3390/molecules27207108.
7
Cytotoxic and apoptotic potential of gemini-chrysophanol nanoparticles against human colorectal cancer HCT-116 cell lines.双子型大黄素纳米粒对人结直肠癌细胞 HCT-116 的细胞毒性和凋亡作用。
BMC Pharmacol Toxicol. 2022 Jul 23;23(1):56. doi: 10.1186/s40360-022-00597-z.
8
Proapoptotic Effect and Molecular Docking Analysis of Curcumin-Resveratrol Hybrids in Colorectal Cancer Chemoprevention.姜黄素-白藜芦醇杂化物在结直肠癌化学预防中的促凋亡作用及分子对接分析。
Molecules. 2022 May 28;27(11):3486. doi: 10.3390/molecules27113486.
9
Natural Product-Based Hybrids as Potential Candidates for the Treatment of Cancer: Focus on Curcumin and Resveratrol.基于天然产物的杂化物作为癌症治疗的潜在候选物:聚焦于姜黄素和白藜芦醇。
Molecules. 2021 Jul 31;26(15):4665. doi: 10.3390/molecules26154665.
全球癌症统计数据 2018:GLOBOCAN 对全球 185 个国家/地区 36 种癌症的发病率和死亡率的估计。
CA Cancer J Clin. 2018 Nov;68(6):394-424. doi: 10.3322/caac.21492. Epub 2018 Sep 12.
4
A novel synthetic curcumin derivative MHMM-41 induces ROS-mediated apoptosis and migration blocking of human lung cancer cells A549.一种新型合成姜黄素衍生物 MHMM-41 诱导人肺癌细胞 A549 中 ROS 介导的凋亡和迁移阻滞。
Biomed Pharmacother. 2018 Jul;103:391-398. doi: 10.1016/j.biopha.2018.04.086. Epub 2018 Apr 24.
5
Natural compounds and combination therapy in colorectal cancer treatment.天然化合物与联合疗法在结直肠癌治疗中的应用。
Eur J Med Chem. 2018 Jan 20;144:582-594. doi: 10.1016/j.ejmech.2017.12.039. Epub 2017 Dec 16.
6
Triclosan-caffeic acid hybrids: Synthesis, leishmanicidal, trypanocidal and cytotoxic activities.三氯生-咖啡酸杂化物:合成、抗利什曼原虫、抗锥虫及细胞毒性活性
Eur J Med Chem. 2017 Dec 1;141:73-83. doi: 10.1016/j.ejmech.2017.09.064. Epub 2017 Sep 29.
7
Liposomal curcumin and its application in cancer.脂质体姜黄素及其在癌症中的应用。
Int J Nanomedicine. 2017 Aug 21;12:6027-6044. doi: 10.2147/IJN.S132434. eCollection 2017.
8
Recent advances (2015-2016) in anticancer hybrids.抗癌杂合物的最新进展(2015 - 2016年)
Eur J Med Chem. 2017 Dec 15;142:179-212. doi: 10.1016/j.ejmech.2017.07.033. Epub 2017 Jul 20.
9
MicroRNA: A novel target of curcumin in cancer therapy.微小 RNA:姜黄素在癌症治疗中的新靶点。
J Cell Physiol. 2018 Apr;233(4):3004-3015. doi: 10.1002/jcp.26055. Epub 2017 Aug 3.
10
Resveratrol for breast cancer prevention and therapy: Preclinical evidence and molecular mechanisms.白藜芦醇在乳腺癌预防和治疗中的作用:临床前证据和分子机制。
Semin Cancer Biol. 2016 Oct;40-41:209-232. doi: 10.1016/j.semcancer.2015.11.001. Epub 2016 Jan 13.