Suppr超能文献

相似文献

2
Clinical and Immune Features of Hospitalized Pediatric Patients With Coronavirus Disease 2019 (COVID-19) in Wuhan, China.
JAMA Netw Open. 2020 Jun 1;3(6):e2010895. doi: 10.1001/jamanetworkopen.2020.10895.
4
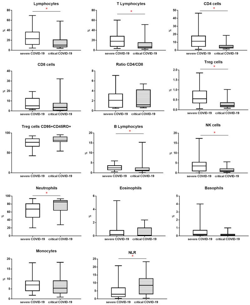
Dynamics of cytokines and lymphocyte subsets associated with the poor prognosis of severe COVID-19.
Eur Rev Med Pharmacol Sci. 2020 Dec;24(23):12536-12544. doi: 10.26355/eurrev_202012_24051.
6
Using IL-2R/lymphocytes for predicting the clinical progression of patients with COVID-19.
Clin Exp Immunol. 2020 Jul;201(1):76-84. doi: 10.1111/cei.13450. Epub 2020 May 15.
7
A systematic meta-analysis of immune signatures in patients with COVID-19.
Rev Med Virol. 2021 Jul;31(4):e2195. doi: 10.1002/rmv.2195. Epub 2020 Nov 20.
8
High Levels of Circulating IL-8 and Soluble IL-2R Are Associated With Prolonged Illness in Patients With Severe COVID-19.
Front Immunol. 2021 Jan 29;12:626235. doi: 10.3389/fimmu.2021.626235. eCollection 2021.
9
Cytokine profiling in Iranian patients with COVID-19; association with clinical severity.
Iran J Immunol. 2021 Mar;18(1):54-64. doi: 10.22034/iji.2021.87630.1810.
10
COVID-19 and Cancer: Discovery of Difference in Clinical Immune Indexes.
J Immunol Res. 2021 Oct 18;2021:8669098. doi: 10.1155/2021/8669098. eCollection 2021.

引用本文的文献

4
Neuro-Immune Interactions in Severe COVID-19 Infection.
Pathogens. 2022 Oct 29;11(11):1256. doi: 10.3390/pathogens11111256.
6
Role of T Regulatory Cells and Myeloid-Derived Suppressor Cells in COVID-19.
J Immunol Res. 2022 Apr 19;2022:5545319. doi: 10.1155/2022/5545319. eCollection 2022.

本文引用的文献

1
Platelet parameters and leukocyte morphology is altered in COVID-19 patients compared to non-COVID-19 patients with similar symptomatology.
Scand J Clin Lab Invest. 2021 May;81(3):213-217. doi: 10.1080/00365513.2021.1894601. Epub 2021 Mar 9.
2
IL-6 and IL-10 as predictors of disease severity in COVID-19 patients: results from meta-analysis and regression.
Heliyon. 2021 Feb;7(2):e06155. doi: 10.1016/j.heliyon.2021.e06155. Epub 2021 Jan 29.
5
The role of circulating eosinophils on COVID-19 mortality varies by race/ethnicity.
Allergy. 2021 Mar;76(3):925-927. doi: 10.1111/all.14708. Epub 2020 Dec 26.
7
Neutrophils and COVID-19: The road so far.
Int Immunopharmacol. 2021 Jan;90:107233. doi: 10.1016/j.intimp.2020.107233. Epub 2020 Nov 30.
8
Absolute Eosinophil Count Predicts Intensive Care Unit Transfer Among Elderly COVID-19 Patients From General Isolation Wards.
Front Med (Lausanne). 2020 Nov 4;7:585222. doi: 10.3389/fmed.2020.585222. eCollection 2020.
9
A Potential Role of Interleukin 10 in COVID-19 Pathogenesis.
Trends Immunol. 2021 Jan;42(1):3-5. doi: 10.1016/j.it.2020.10.012. Epub 2020 Nov 2.
10
Lymphopenia predicted illness severity and recovery in patients with COVID-19: A single-center, retrospective study.
PLoS One. 2020 Nov 18;15(11):e0241659. doi: 10.1371/journal.pone.0241659. eCollection 2020.

文献AI研究员

20分钟写一篇综述,助力文献阅读效率提升50倍。

立即体验

用中文搜PubMed

大模型驱动的PubMed中文搜索引擎

马上搜索

文档翻译

学术文献翻译模型,支持多种主流文档格式。

立即体验