Suppr超能文献

感知社会支持对一年级医学生注意缺陷多动障碍与抑郁症状关系的影响:结构方程模型方法

Impact of Perceived Social Support on the Relationship between ADHD and Depressive Symptoms among First Year Medical Students: A Structural Equation Model Approach.

作者信息

Karawekpanyawong Nuntaporn, Wongpakaran Tinakon, Wongpakaran Nahathai, Boonnag Chiraphat, Siritikul Sirinut, Chalanunt Sirikorn, Kuntawong Pimolpun

机构信息

Department of Psychiatry, Faculty of Medicine, Chiang Mai University, Chiang Mai 50200, Thailand.

Faculty of Medicine, Chiang Mai University, Chiang Mai 50200, Thailand.

出版信息

Children (Basel). 2021 May 16;8(5):401. doi: 10.3390/children8050401.

Abstract

BACKGROUND

Attention deficit hyperactivity disorder (ADHD) is associated with depression among college students, while perceived social support is also associated with depression, especially among young adults. This study aimed to examine to what extent perceived social support mediated the relationship between ADHD symptoms and depressive symptoms.

METHODS

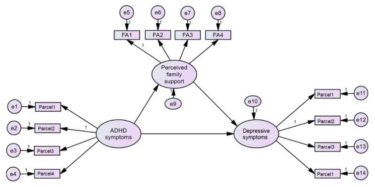
In total, 124 first year medical students completed the Adult ADHD Self-Report Scale Screener (ASRS), the Patient Health questionnaire-9 and the revised Thai Multidimensional scale of perceived social support reflecting ADHD symptoms, depressive symptoms, and perceive social support, i.e., family members, friends and other significant people, respectively. Structural equation modeling was used to investigate the hypothesized mediation model.

RESULTS

ADHD symptoms exhibited a significant indirect effect on depressive symptoms via perceived social support. ADHD symptoms initially had a direct effect on depression; thereafter, it reduced to a non-significance effect after perceived social support was added. The total variance explained by this model was 35.2%. The mediation model with family support as a mediator showed the highest effect size.

CONCLUSIONS

The study highlighted the importance of perceived social support, particularly family support, on depressive symptoms among young medical students experiencing ADHD symptoms. The model suggests promising relationships for further research on ADHD-related depression and potential treatment in the future.

摘要

背景

注意力缺陷多动障碍(ADHD)与大学生的抑郁有关,而感知到的社会支持也与抑郁有关,尤其是在年轻人中。本研究旨在探讨感知到的社会支持在多大程度上介导了ADHD症状与抑郁症状之间的关系。

方法

共有124名一年级医学生完成了成人ADHD自陈量表筛查版(ASRS)、患者健康问卷-9以及修订后的泰国多维感知社会支持量表,分别反映ADHD症状、抑郁症状以及感知到的社会支持,即家庭成员、朋友和其他重要人物的支持。采用结构方程模型来研究假设的中介模型。

结果

ADHD症状通过感知到的社会支持对抑郁症状表现出显著的间接影响。ADHD症状最初对抑郁有直接影响;此后,在加入感知到的社会支持后,这种影响降至不显著。该模型解释的总方差为35.2%。以家庭支持为中介的中介模型显示出最大的效应量。

结论

该研究强调了感知到的社会支持,特别是家庭支持,对有ADHD症状的年轻医学生抑郁症状的重要性。该模型为未来关于ADHD相关抑郁及潜在治疗的进一步研究提示了有前景的关系。

https://cdn.ncbi.nlm.nih.gov/pmc/blobs/e0fa/8156751/f9a23eb6d183/children-08-00401-g001.jpg

文献AI研究员

20分钟写一篇综述,助力文献阅读效率提升50倍。

立即体验

用中文搜PubMed

大模型驱动的PubMed中文搜索引擎

马上搜索

文档翻译

学术文献翻译模型,支持多种主流文档格式。

立即体验