Suppr超能文献

一种基于DTMB的无源双基地雷达中参考信号提纯的联合低秩和稀疏方法。

A Joint Low-Rank and Sparse Method for Reference Signal Purification in DTMB-Based Passive Bistatic Radar.

作者信息

Zuo Luo, Wang Jun, Zhao Te, Cheng Zuhan

机构信息

National Laboratory of Radar Signal Processing, Xidian University, Xi'an 710071, China.

出版信息

Sensors (Basel). 2021 May 22;21(11):3607. doi: 10.3390/s21113607.

Abstract

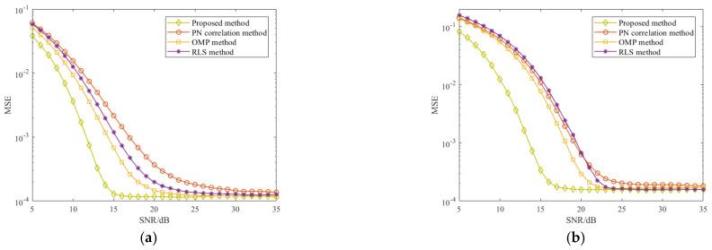
In a digital terrestrial multimedia broadcasting (DTMB)-based passive bistatic radar (PBR) system, the received reference signal often suffers from serious multipath effect, which decreases the detection ability of low-observable targets in urban environments. In order to improve the target detection performance, a novel reference signal purification method based on the low-rank and sparse feature is proposed in this paper. Specifically, this method firstly performs synchronization operations to the received reference signal and thus obtains the corresponding pseudo-noise (PN) sequences. Then, by innovatively exploiting the inherent low-rank structure of DTMB signals, the noise component in PN sequences is reduced. After that, a temporal correlation (TC)-based adaptive orthogonal matching pursuit (OMP) method, i.e., TC-AOMP, is performed to acquire the reliable channel estimation, whereby the previous noise-reduced PN sequences and a new halting criterion are utilized to improve channel estimation accuracy. Finally, the purification reference signal is obtained via equalization operation. The advantage of the proposed method is that it can obtain superior channel estimation performance and is more efficient compared to existing methods. Numerical and experimental results collected from the DTMB-based PBR system are presented to demonstrate the effectiveness of the proposed method.

摘要

在基于数字地面多媒体广播(DTMB)的无源双基地雷达(PBR)系统中,接收到的参考信号常常受到严重的多径效应影响,这降低了城市环境中低可观测目标的检测能力。为了提高目标检测性能,本文提出了一种基于低秩和稀疏特征的新型参考信号净化方法。具体而言,该方法首先对接收到的参考信号进行同步操作,从而获得相应的伪噪声(PN)序列。然后,通过创新性地利用DTMB信号固有的低秩结构,降低PN序列中的噪声成分。之后,执行基于时间相关性(TC)的自适应正交匹配追踪(OMP)方法,即TC-AOMP,以获得可靠的信道估计,利用先前降噪后的PN序列和新的停止准则来提高信道估计精度。最后,通过均衡操作获得净化后的参考信号。所提方法的优点在于它能够获得优异的信道估计性能,并且与现有方法相比效率更高。给出了从基于DTMB的PBR系统收集的数值和实验结果,以证明所提方法的有效性。

https://cdn.ncbi.nlm.nih.gov/pmc/blobs/e924/8196861/4148801d406e/sensors-21-03607-g001.jpg

文献检索

告别复杂PubMed语法,用中文像聊天一样搜索,搜遍4000万医学文献。AI智能推荐,让科研检索更轻松。

立即免费搜索

文件翻译

保留排版,准确专业,支持PDF/Word/PPT等文件格式,支持 12+语言互译。

免费翻译文档

深度研究

AI帮你快速写综述,25分钟生成高质量综述,智能提取关键信息,辅助科研写作。

立即免费体验