• 文献检索
  • 文档翻译
  • 深度研究
  • 学术资讯
  • Suppr Zotero 插件Zotero 插件
  • 邀请有礼
  • 套餐&价格
  • 历史记录
应用&插件
Suppr Zotero 插件Zotero 插件浏览器插件Mac 客户端Windows 客户端微信小程序
定价
高级版会员购买积分包购买API积分包
服务
文献检索文档翻译深度研究API 文档MCP 服务
关于我们
关于 Suppr公司介绍联系我们用户协议隐私条款
关注我们

Suppr 超能文献

核心技术专利:CN118964589B侵权必究
粤ICP备2023148730 号-1Suppr @ 2026

文献检索

告别复杂PubMed语法,用中文像聊天一样搜索,搜遍4000万医学文献。AI智能推荐,让科研检索更轻松。

立即免费搜索

文件翻译

保留排版,准确专业,支持PDF/Word/PPT等文件格式,支持 12+语言互译。

免费翻译文档

深度研究

AI帮你快速写综述,25分钟生成高质量综述,智能提取关键信息,辅助科研写作。

立即免费体验

十二年单中心经验表明,为胃肠道和妇科原发性肿瘤制定的腹膜表面恶性肿瘤治疗方案得以安全实施。

Twelve-Year Single Center Experience Shows Safe Implementation of Developed Peritoneal Surface Malignancy Treatment Protocols for Gastrointestinal and Gynecological Primary Tumors.

作者信息

Horvath Philipp, Yurttas Can, Beckert Stefan, Königsrainer Alfred, Königsrainer Ingmar

机构信息

Comprehensive Cancer Center, Department of General, Visceral and Transplant Surgery, University of Tübingen, 72076 Tübingen, Germany.

Department of General and Visceral Surgery, Schwarzwald-Baar Klinikum, 78052 Villingen-Schwenningen, Germany.

出版信息

Cancers (Basel). 2021 May 19;13(10):2471. doi: 10.3390/cancers13102471.

DOI:10.3390/cancers13102471
PMID:34069475
原文链接:https://pmc.ncbi.nlm.nih.gov/articles/PMC8159136/
Abstract

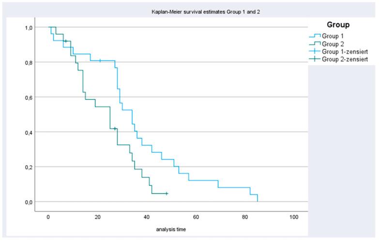
(1) : Cytoreductive surgery and hyperthermic intraperitoneal chemotherapy provide survival benefits to selected patients. We aimed to report our experience and the evolution of our peritoneal surface malignancy program. (2) : From June 2005 to June 2017, 399 patients who underwent cytoreductive surgery plus hyperthermic intraperitoneal chemotherapy at the Tübingen University Hospital were analyzed from a prospectively collected database. (3) : Peritoneal metastasis from colorectal cancer was the leading indication (group 1: 28%; group 2: 32%). The median PCI was 15.5 (range, 1-39) in group 1 and 11 (range, 1-39) in group 2 ( = 0.002). Regarding the completeness of cytoreduction (CC), a score of 0 was achieved in 63% vs. 69% for group 1 and 2, respectively ( = 0.010). Median overall survival rates for patients in group 1 and 2 for colon cancer, ovarian cancer, gastric cancer and appendix cancer were 34 and 25 months; 45 months and not reached; 30 and 16 months; 39 months and not reached, respectively. The occurrence of grade-III and -IV complications slightly differed between groups (14.5% vs. 15.6%). No 30-day mortality occurred. (4) : Specialized centers are able to provide low-morbidity cytoreductive surgery and hyperthermic intraperitoneal chemotherapy without mortality. Strict patient selection during the time period significantly improved CC scores.

摘要

(1):细胞减灭术和腹腔内热灌注化疗为特定患者带来生存益处。我们旨在报告我们的经验以及我们腹膜表面恶性肿瘤治疗方案的演变。(2):从2005年6月至2017年6月,对图宾根大学医院399例行细胞减灭术加腹腔内热灌注化疗的患者,从一个前瞻性收集的数据库进行分析。(3):结直肠癌腹膜转移是主要指征(第1组:28%;第2组:32%)。第1组的中位腹膜癌指数(PCI)为15.5(范围1 - 39),第2组为11(范围1 - 39)(P = 0.002)。关于细胞减灭的完整性(CC),第1组和第2组分别有63%和69%达到0分(P = 0.010)。第1组和第2组结肠癌、卵巢癌、胃癌和阑尾癌患者的中位总生存率分别为34个月和25个月;45个月和未达到;30个月和16个月;39个月和未达到。III级和IV级并发症的发生率在两组间略有差异(14.5%对15.6%)。未发生30天死亡率。(4):专业中心能够提供低发病率的细胞减灭术和腹腔内热灌注化疗且无死亡率。在此期间严格的患者选择显著提高了CC评分。

https://cdn.ncbi.nlm.nih.gov/pmc/blobs/6e4d/8159136/04dd608cbc55/cancers-13-02471-g002.jpg
https://cdn.ncbi.nlm.nih.gov/pmc/blobs/6e4d/8159136/09b076d2a5df/cancers-13-02471-g001.jpg
https://cdn.ncbi.nlm.nih.gov/pmc/blobs/6e4d/8159136/04dd608cbc55/cancers-13-02471-g002.jpg
https://cdn.ncbi.nlm.nih.gov/pmc/blobs/6e4d/8159136/09b076d2a5df/cancers-13-02471-g001.jpg
https://cdn.ncbi.nlm.nih.gov/pmc/blobs/6e4d/8159136/04dd608cbc55/cancers-13-02471-g002.jpg

相似文献

1
Twelve-Year Single Center Experience Shows Safe Implementation of Developed Peritoneal Surface Malignancy Treatment Protocols for Gastrointestinal and Gynecological Primary Tumors.十二年单中心经验表明,为胃肠道和妇科原发性肿瘤制定的腹膜表面恶性肿瘤治疗方案得以安全实施。
Cancers (Basel). 2021 May 19;13(10):2471. doi: 10.3390/cancers13102471.
2
Evolution of Cytoreductive Surgery and Hyperthermic Intraperitoneal Chemotherapy for Colorectal Peritoneal Metastases: 8-Year Single-Institutional Experience.结直肠腹膜转移的细胞减灭术和腹腔热灌注化疗的演变:8 年单中心经验。
Dis Colon Rectum. 2019 Oct;62(10):1195-1203. doi: 10.1097/DCR.0000000000001456.
3
Cytoreductive surgery and hyperthermic intraperitoneal chemotherapy combined with liver resection for concurrent peritoneal and hepatic metastases of gastrointestinal and gynecological primary tumors.细胞减灭术和腹腔内热灌注化疗联合肝切除术治疗胃肠和妇科原发性肿瘤的同时性腹膜和肝转移。
J Visc Surg. 2019 Dec;156(6):475-484. doi: 10.1016/j.jviscsurg.2019.06.007. Epub 2019 Jul 16.
4
Repeated cytoreductive surgery (CRS) with hyperthermic intraperitoneal chemotherapy (HIPEC) in patients with recurrent peritoneal carcinomatosis.复发性腹膜癌患者的重复细胞减灭术(CRS)联合腹腔热灌注化疗(HIPEC)
World J Surg Oncol. 2016 Feb 24;14(1):42. doi: 10.1186/s12957-016-0804-x.
5
Neoadjuvant chemotherapy followed by hyperthermic intraperitoneal chemotherapy for patients with colorectal peritoneal metastasis: a retrospective study of its safety and efficacy.新辅助化疗联合腹腔热灌注化疗治疗结直肠腹膜转移患者的安全性和有效性:一项回顾性研究。
World J Surg Oncol. 2021 May 17;19(1):151. doi: 10.1186/s12957-021-02255-w.
6
Outcomes of cytoreductive surgery and hyperthermic intraperitoneal chemotherapy for colorectal cancer with peritoneal metastasis.结直肠癌伴腹膜转移行细胞减灭术及腹腔热灌注化疗的疗效
Medicine (Baltimore). 2016 Dec;95(52):e5522. doi: 10.1097/MD.0000000000005522.
7
Cytoreductive surgery and hyperthermic intraperitoneal chemotherapy (HIPEC) for colorectal and appendiceal peritoneal metastases - The Hong Kong experience and literature review.结直肠和阑尾腹膜转移的细胞减灭术和腹腔热灌注化疗(HIPEC)-香港经验和文献复习。
Asian J Surg. 2021 Jan;44(1):221-228. doi: 10.1016/j.asjsur.2020.05.010. Epub 2020 Jun 27.
8
Cytoreductive Surgery Plus Hyperthermic Intraperitoneal Chemotherapy for Patients with Peritoneal Metastases from Endometrial Cancer.细胞减灭术联合腹腔热灌注化疗治疗子宫内膜癌腹膜转移患者。
Ann Surg Oncol. 2018 Mar;25(3):679-687. doi: 10.1245/s10434-017-6307-3. Epub 2017 Dec 27.
9
High-grade postoperative complications affect survival outcomes of patients with colorectal Cancer peritoneal metastases treated with Cytoreductive surgery and Hyperthermic Intraperitoneal chemotherapy.结直肠癌腹膜转移患者行细胞减灭术和腹腔热灌注化疗后,高等级术后并发症影响生存结局。
BMC Cancer. 2021 Jan 7;21(1):41. doi: 10.1186/s12885-020-07756-7.
10
201 consecutive cytoreductive surgery (CRS) and hyperthermic intraperitoneal chemotherapy (HIPEC) procedures in a single Asian tertiary centre.在一个亚洲三级医疗中心进行的201例减瘤手术(CRS)及腹腔内热灌注化疗(HIPEC)手术。
Int J Hyperthermia. 2017 May;33(3):288-294. doi: 10.1080/02656736.2016.1262064. Epub 2016 Dec 14.

引用本文的文献

1
Hyperthermic intraperitoneal chemotherapy for patients with gastric cancer based on laboratory tests is safe: a single Chinese center analysis.基于实验室检测的胃癌患者腹腔内热化疗是安全的:单中心中国研究分析。
BMC Surg. 2022 Sep 18;22(1):342. doi: 10.1186/s12893-022-01795-6.
2
[Current status of surgical treatment of peritoneal metastases from colorectal cancer].[结直肠癌腹膜转移的外科治疗现状]
Chirurgie (Heidelb). 2022 Dec;93(12):1126-1132. doi: 10.1007/s00104-022-01694-9. Epub 2022 Aug 20.

本文引用的文献

1
Cytoreductive surgery plus hyperthermic intraperitoneal chemotherapy versus cytoreductive surgery alone for colorectal peritoneal metastases (PRODIGE 7): a multicentre, randomised, open-label, phase 3 trial.细胞减灭术联合腹腔热灌注化疗与单纯细胞减灭术治疗结直肠腹膜转移瘤(PRODIGE 7):一项多中心、随机、开放标签、3 期临床试验。
Lancet Oncol. 2021 Feb;22(2):256-266. doi: 10.1016/S1470-2045(20)30599-4. Epub 2021 Jan 18.
2
In-Hospital Mortality and Complication Rates According to Health Insurance Data in Patients Undergoing Hyperthermic Intraperitoneal Chemotherapy for Peritoneal Surface Malignancies in Germany.德国接受腹腔内热灌注化疗治疗腹膜表面恶性肿瘤患者的住院死亡率和并发症发生率与健康保险数据相关。
Ann Surg Oncol. 2021 Jul;28(7):3823-3830. doi: 10.1245/s10434-020-09301-z. Epub 2020 Nov 9.
3
Results from the PROPHYLOCHIP-PRODIGE 15 trial.PROPHYLOCHIP-PRODIGE 15试验的结果。
Lancet Oncol. 2020 Nov;21(11):e496. doi: 10.1016/S1470-2045(20)30497-6.
4
Prognostic Impact of Primary Side and RAS/RAF Mutations in a Surgical Series of Colorectal Cancer with Peritoneal Metastases.原发灶侧和 RAS/RAF 突变对结直肠癌伴腹膜转移手术系列的预后影响。
Ann Surg Oncol. 2021 Jun;28(6):3332-3342. doi: 10.1245/s10434-020-09161-7. Epub 2020 Sep 24.
5
Perioperative and Oncological Outcomes of Combined Hepatectomy with Complete Cytoreduction and Hyperthermic Intraperitoneal Chemotherapy for Metastatic Colorectal Cancer.联合肝切除与完全减瘤术和腹腔内热灌注化疗治疗转移性结直肠癌的围手术期和肿瘤学结果。
Ann Surg Oncol. 2021 Jun;28(6):3320-3329. doi: 10.1245/s10434-020-09165-3. Epub 2020 Sep 23.
6
Hyperthermic intraperitoneal chemotherapy (HIPEC) for ovarian cancer recurrence: systematic review and meta-analysis.热腹腔内化疗(HIPEC)治疗复发性卵巢癌:系统评价与荟萃分析
Gland Surg. 2020 Aug;9(4):1140-1148. doi: 10.21037/gs-20-335.
7
Oxaliplatin versus mitomycin C in HIPEC for peritoneal metastasis from colorectal cancer: a systematic review and meta-analysis of comparative studies.奥沙利铂与丝裂霉素 C 在 HIPEC 治疗结直肠癌腹膜转移中的比较:系统评价和荟萃分析。
Int J Colorectal Dis. 2020 Oct;35(10):1831-1839. doi: 10.1007/s00384-020-03702-y. Epub 2020 Jul 28.
8
Second-look surgery plus hyperthermic intraperitoneal chemotherapy versus surveillance in patients at high risk of developing colorectal peritoneal metastases (PROPHYLOCHIP-PRODIGE 15): a randomised, phase 3 study.二期手术加腹腔内热灌注化疗与监测在有发生结直肠腹膜转移高危患者中的对比(PROPHYLOCHIP-PRODIGE 15):一项随机、3 期研究。
Lancet Oncol. 2020 Sep;21(9):1147-1154. doi: 10.1016/S1470-2045(20)30322-3. Epub 2020 Jul 24.
9
Selection of patients with ovarian cancer who may show survival benefit from hyperthermic intraperitoneal chemotherapy: A systematic review and meta-analysis.可能从腹腔热灌注化疗中获得生存益处的卵巢癌患者的选择:一项系统评价和荟萃分析。
Medicine (Baltimore). 2019 Dec;98(50):e18355. doi: 10.1097/MD.0000000000018355.
10
Secondary Surgical Cytoreduction for Recurrent Ovarian Cancer.复发性卵巢癌的二次手术细胞减灭术。
N Engl J Med. 2019 Nov 14;381(20):1929-1939. doi: 10.1056/NEJMoa1902626.