Suppr超能文献

火蚁毒液生物碱:对土传和叶部植物病原体可能的控制措施。

Fire Ant Venom Alkaloids: Possible Control Measure for Soilborne and Foliar Plant Pathogens.

作者信息

Dawadi Sujan, Baysal-Gurel Fulya, Addesso Karla M, Liyanapathiranage Prabha, Simmons Terri

机构信息

Entomology Department, Purdue University, 901 W State Street, West Lafayette, IN 47907, USA.

Otis L. Floyd Nursery Research Center, Department of Agricultural and Environmental Sciences, Tennessee State University, McMinnville, TN 37110, USA.

出版信息

Pathogens. 2021 May 27;10(6):659. doi: 10.3390/pathogens10060659.

Abstract

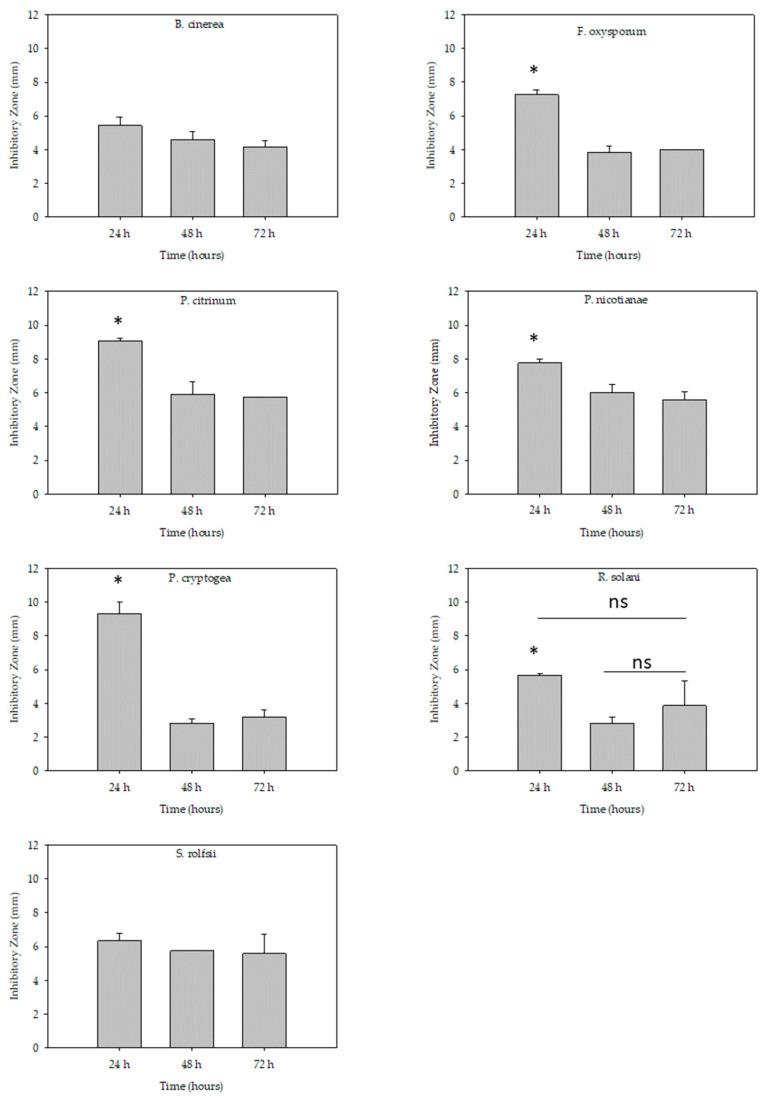
The purpose of this study was to evaluate fire ant venom alkaloids and an alarm pheromone analog against several plant pathogens, including , , , , , , , , and . All pathogens were tested against red imported fire ant venom alkaloid extract and alarm pheromone compound for growth inhibition in in vitro assay. The venom alkaloid extract inhibited fungal and oomycete pathogens. Neither of the treatments were effective against bacterial pathogens. Three soilborne pathogens, , , , and one foliar pathogen, were selected for further in-vivo assays on impatiens ( 'Super Elfin XP violet'). Total plant and root weight were higher in venom alkaloid treated plants compared to an inoculated control. The venom alkaloid treatment reduced damping-off, root rot severity, and pathogen recovery in soilborne pathogen inoculated plants. Similarly, venom alkaloid reduced Botrytis blight. However, higher venom rates caused foliar phytotoxicity on plants. Therefore, additional work is needed to evaluate rates of venom alkaloids or formulations to eliminate negative impacts on plants. Overall, these results suggest that red imported fire ant venom alkaloids may provide a basis for new products to control soilborne and foliar plant pathogens.

摘要

本研究的目的是评估火蚁毒液生物碱和一种报警信息素类似物对几种植物病原体的作用,这些病原体包括[此处原文缺失病原体具体名称]。在体外试验中,对所有病原体进行了针对红火蚁毒液生物碱提取物和报警信息素化合物的生长抑制测试。毒液生物碱提取物抑制了真菌和卵菌病原体。两种处理对细菌病原体均无效。选择了三种土传病原体[此处原文缺失病原体具体名称]和一种叶部病原体[此处原文缺失病原体具体名称],对凤仙花(‘超级小精灵XP紫罗兰’)进行进一步的体内试验。与接种对照相比,毒液生物碱处理的植物总株重和根重更高。毒液生物碱处理降低了土传病原体接种植物的猝倒病、根腐病严重程度以及病原体回收率。同样,毒液生物碱减轻了灰霉病。然而,较高剂量的毒液对植物造成了叶部毒性。因此,需要开展更多工作来评估毒液生物碱的剂量或配方,以消除对植物的负面影响。总体而言,这些结果表明,红火蚁毒液生物碱可能为控制土传和叶部植物病原体的新产品提供基础。

https://cdn.ncbi.nlm.nih.gov/pmc/blobs/4737/8229724/9592501b974a/pathogens-10-00659-g001.jpg

文献AI研究员

20分钟写一篇综述,助力文献阅读效率提升50倍。

立即体验

用中文搜PubMed

大模型驱动的PubMed中文搜索引擎

马上搜索

文档翻译

学术文献翻译模型,支持多种主流文档格式。

立即体验