Suppr超能文献

溶解度测定、Hansen 溶解度参数及百里醌在(异丙醇+水)体系中的热力学评价。

Solubility Determination, Hansen Solubility Parameters and Thermodynamic Evaluation of Thymoquinone in (Isopropanol + Water) Compositions.

机构信息

Department of Pharmaceutics, College of Pharmacy, King Khalid University, Abha 61441, Saudi Arabia.

Department of Pharmacognosy, College of Pharmacy, Prince Sattam Bin Abdulaziz University, Al-Kharj 11942, Saudi Arabia.

出版信息

Molecules. 2021 May 26;26(11):3195. doi: 10.3390/molecules26113195.

Abstract

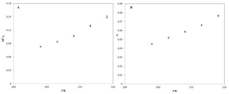
This article studies the solubility, Hansen solubility parameters (HSPs), and thermodynamic behavior of a naturally-derived bioactive thymoquinone (TQ) in different binary combinations of isopropanol (IPA) and water (HO). The mole fraction solubilities () of TQ in various (IPA + HO) compositions are measured at 298.2-318.2 K and 0.1 MPa. The HSPs of TQ, neat IPA, neat HO, and binary (IPA + HO) compositions free of TQ are also determined. The data of TQ are regressed by van't Hoff, Apelblat, Yalkowsky-Roseman, Buchowski-Ksiazczak , Jouyban-Acree, and Jouyban-Acree-van't Hoff models. The maximum and minimum values of TQ are recorded in neat IPA (7.63 × 10 at 318.2 K) and neat HO (8.25 × 10 at 298.2 K), respectively. The solubility of TQ is recorded as increasing with the rise in temperature and IPA mass fraction in all (IPA + HO) mixtures, including pure IPA and pure HO. The HSP of TQ is similar to that of pure IPA, suggesting the great potential of IPA in TQ solubilization. The maximum molecular solute-solvent interactions are found in TQ-IPA compared to TQ-HO. A thermodynamic study indicates an endothermic and entropy-driven dissolution of TQ in all (IPA + HO) mixtures, including pure IPA and pure HO.

摘要

本文研究了天然生物活性化合物百里香醌(TQ)在异丙醇(IPA)和水(HO)不同二元混合物中的溶解度、Hansen 溶解度参数(HSPs)和热力学行为。在 298.2-318.2 K 和 0.1 MPa 的条件下,测量了 TQ 在不同(IPA+HO)组成中的摩尔分数溶解度()。还测定了 TQ、纯 IPA、纯 HO 和不含 TQ 的二元(IPA+HO)混合物的 HSPs。TQ 的数据通过 van't Hoff、Apelblat、Yalkowsky-Roseman、Buchowski-Ksiazczak、Jouyban-Acree 和 Jouyban-Acree-van't Hoff 模型进行回归。TQ 的最大和最小 值分别记录在纯 IPA(318.2 K 时为 7.63×10)和纯 HO(298.2 K 时为 8.25×10)中。在所有(IPA+HO)混合物中,包括纯 IPA 和纯 HO,TQ 的溶解度随温度和 IPA 质量分数的升高而增加。TQ 的 HSP 与纯 IPA 的 HSP 相似,这表明 IPA 在 TQ 增溶方面具有很大的潜力。与 TQ-HO 相比,TQ-IPA 中存在最大的分子溶质-溶剂相互作用。热力学研究表明,TQ 在所有(IPA+HO)混合物中,包括纯 IPA 和纯 HO,溶解是吸热和熵驱动的。

https://cdn.ncbi.nlm.nih.gov/pmc/blobs/e817/8199087/3fd9f0aff170/molecules-26-03195-g001.jpg

文献AI研究员

20分钟写一篇综述,助力文献阅读效率提升50倍。

立即体验

用中文搜PubMed

大模型驱动的PubMed中文搜索引擎

马上搜索

文档翻译

学术文献翻译模型,支持多种主流文档格式。

立即体验