Suppr超能文献

特发性肺纤维化患者行多导睡眠图检测与发病率和死亡率降低相关:一项基于人群的队列研究。

Morbidity and mortality reduction associated with polysomnography testing in idiopathic pulmonary fibrosis: a population-based cohort study.

机构信息

Division of Respirology, Department of Medicine, St. Michael's Hospital, 30 Bond Street, Toronto, ON, M5B 1W8, Canada.

Keenan Research Centre in the Li Ka Shing Knowledge Institute, St Michael's Hospital, Toronto, ON, Canada.

出版信息

BMC Pulm Med. 2021 Jun 2;21(1):185. doi: 10.1186/s12890-021-01555-x.

Abstract

BACKGROUND

It is not well-known if diagnosing and treating sleep breathing disorders among individuals with idiopathic pulmonary fibrosis (IPF) improves health outcomes. We evaluated the association between receipt of laboratory-based polysomnography (which is the first step in the diagnosis and treatment of sleep breathing disorders in Ontario, Canada) and respiratory-related hospitalization and all-cause mortality among individuals with IPF.

METHODS

We used a retrospective, population-based, cohort study design, analyzing health administrative data from Ontario, Canada, from 2007 to 2019. Individuals with IPF were identified using an algorithm based on health administrative codes previously developed by IPF experts. Propensity score matching was used to account for potential differences in 41 relevant covariates between individuals that underwent polysomnography (exposed) and individuals that did not undergo polysomnography (controls), in order minimize potential confounding. Respiratory-related hospitalization and all-cause mortality were evaluated up to 12 months after the index date.

RESULTS

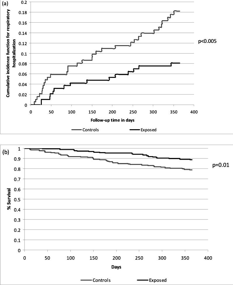
Out of 5044 individuals with IPF identified, 201 (4.0%) received polysomnography, and 189 (94.0%) were matched to an equal number of controls. Compared to controls, exposed individuals had significantly reduced rates of respiratory-related hospitalization (hazard ratio [HR] 0.43, 95% confidence interval [CI] 0.24-0.75), p = 0.003) and all-cause mortality (HR 0.49, 95% CI 0.30-0.80), p = 0.004). Significantly reduced rate of respiratory-related hospitalization (but not all-cause mortality) was also observed among those with >  = 1 respiratory-related hospitalization (HR 0.38, 95% CI 0.15-0.99) and systemic corticosteroid receipt (HR 0.37, 95% CI 0.19-0.94) in the year prior to the index date, which reflect sicker subgroups of persons.

CONCLUSIONS

Undergoing polysomnography was associated with significantly improved clinically-important health outcomes among individuals with IPF, highlighting the potential importance of incorporating this testing in IPF disease management.

摘要

背景

目前尚不清楚诊断和治疗特发性肺纤维化(IPF)患者的睡眠呼吸障碍是否能改善健康结局。我们评估了在加拿大安大略省,实验室多导睡眠图检查(这是诊断和治疗睡眠呼吸障碍的第一步)的接受情况与 IPF 患者的呼吸相关住院和全因死亡率之间的关联。

方法

我们使用回顾性、基于人群的队列研究设计,分析了来自加拿大安大略省的健康管理数据,时间范围为 2007 年至 2019 年。通过基于先前由 IPF 专家制定的健康管理代码的算法确定 IPF 患者。使用倾向评分匹配来解释多导睡眠图检查(暴露)和未接受多导睡眠图检查(对照)个体之间 41 个相关协变量的潜在差异,以尽量减少潜在的混杂。评估索引日期后 12 个月内的呼吸相关住院和全因死亡率。

结果

在确定的 5044 名 IPF 患者中,有 201 名(4.0%)接受了多导睡眠图检查,其中 189 名(94.0%)与相同数量的对照匹配。与对照组相比,暴露组的呼吸相关住院率(风险比 [HR] 0.43,95%置信区间 [CI] 0.24-0.75)和全因死亡率(HR 0.49,95%CI 0.30-0.80)均显著降低,p 值均 < 0.001)。在索引日期前一年接受 >  = 1 次呼吸相关住院治疗(HR 0.38,95%CI 0.15-0.99)和全身皮质激素治疗(HR 0.37,95%CI 0.19-0.94)的患者中,呼吸相关住院率(但非全因死亡率)也显著降低,这反映了病情更严重的亚组患者。

结论

多导睡眠图检查与 IPF 患者显著改善的临床重要健康结局相关,突出了在 IPF 疾病管理中纳入该检测的潜在重要性。

https://cdn.ncbi.nlm.nih.gov/pmc/blobs/92d7/8170825/330e6acbf068/12890_2021_1555_Fig1_HTML.jpg

文献AI研究员

20分钟写一篇综述,助力文献阅读效率提升50倍。

立即体验

用中文搜PubMed

大模型驱动的PubMed中文搜索引擎

马上搜索

文档翻译

学术文献翻译模型,支持多种主流文档格式。

立即体验