Suppr超能文献

扩散受限蒽聚合物中的分子内三重态-三重态湮灭光子上转换

Intramolecular Triplet-Triplet Annihilation Photon Upconversion in Diffusionally Restricted Anthracene Polymer.

作者信息

Edhborg Fredrik, Bildirir Hakan, Bharmoria Pankaj, Moth-Poulsen Kasper, Albinsson Bo

机构信息

Department of Chemistry and Chemical Engineering, Chalmers University of Technology, Gothenburg 412 96, Sweden.

出版信息

J Phys Chem B. 2021 Jun 17;125(23):6255-6263. doi: 10.1021/acs.jpcb.1c02856. Epub 2021 Jun 3.

Abstract

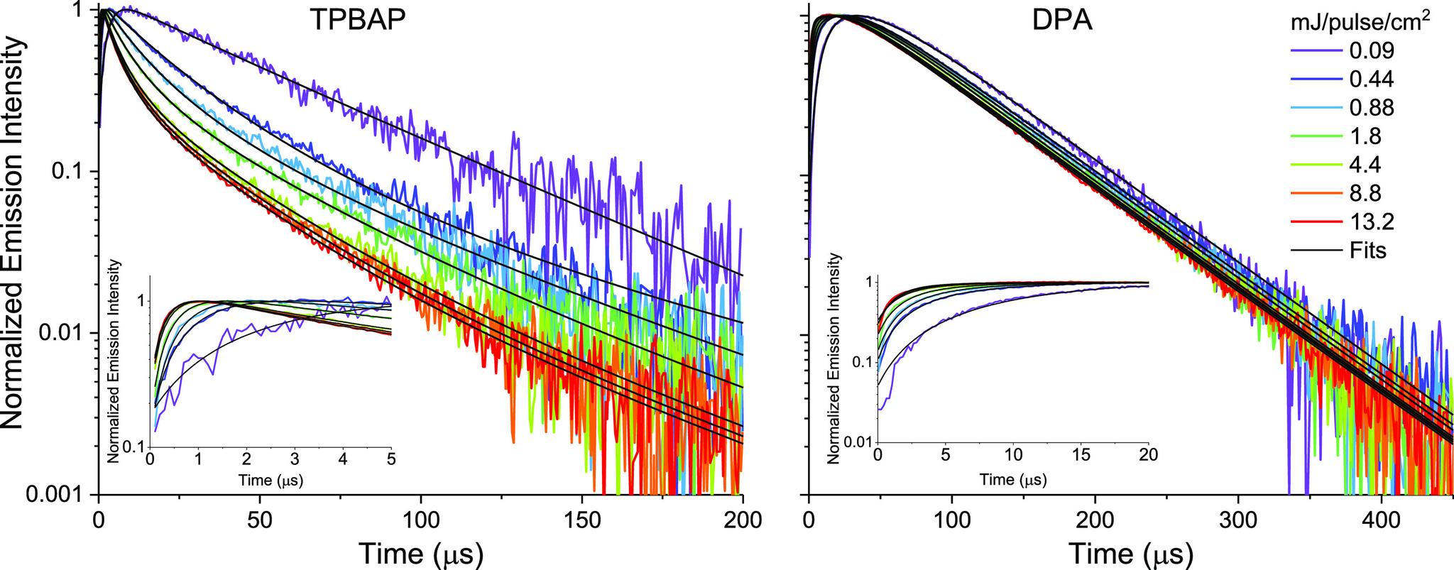
In the strive to develop triplet-triplet annihilation photon upconversion (TTA-UC) to become applicable in a viable technology, there is a need to develop upconversion systems that can function well in solid states. One method to achieve efficient solid-state TTA-UC systems is to replace the intermolecular energy-transfer steps with the corresponding intramolecular transfers, thereby minimizing loss channels involved in chromophore diffusion. Herein, we present a study of photon upconversion by TTA internally within a polymeric annihilator network (iTTA). By the design of the annihilator polymer and the choice of experiment conditions, we isolate upconversion emission governed by iTTA within the annihilator particles and eliminate possible external TTA between separate annihilator particles (xTTA). This approach leads to mechanistic insights into the process of iTTA and makes it possible to explore the upconversion kinetics and performance of a polymeric annihilator. In comparison to a monomeric upconversion system that only functions using xTTA, we show that upconversion in a polymeric annihilator is efficient also at extremely low annihilator concentrations and that the overall kinetics is significantly faster. The presented results show that intramolecular photon upconversion is a versatile concept for the development of highly efficient solid-state photon upconversion materials.

摘要

为了使三线态-三线态湮灭光子上转换(TTA-UC)技术得以发展并应用于可行的技术中,需要开发能够在固态中良好运行的上转换系统。实现高效固态TTA-UC系统的一种方法是用相应的分子内转移取代分子间能量转移步骤,从而最大限度地减少发色团扩散所涉及的损失通道。在此,我们展示了在聚合物湮灭剂网络(iTTA)内部通过TTA进行光子上转换的研究。通过设计湮灭剂聚合物和选择实验条件,我们分离出了湮灭剂颗粒内由iTTA控制的上转换发射,并消除了单独湮灭剂颗粒之间可能的外部TTA(xTTA)。这种方法有助于深入了解iTTA过程的机理,并使得探索聚合物湮灭剂的上转换动力学和性能成为可能。与仅使用xTTA起作用的单体上转换系统相比,我们表明聚合物湮灭剂中的上转换在极低的湮灭剂浓度下也是有效的,并且整体动力学明显更快。所呈现的结果表明,分子内光子上转换是开发高效固态光子上转换材料的一个通用概念。

https://cdn.ncbi.nlm.nih.gov/pmc/blobs/9648/8279549/d60cc2838da2/jp1c02856_0002.jpg

文献AI研究员

20分钟写一篇综述,助力文献阅读效率提升50倍。

立即体验

用中文搜PubMed

大模型驱动的PubMed中文搜索引擎

马上搜索

文档翻译

学术文献翻译模型,支持多种主流文档格式。

立即体验