Suppr超能文献

在银/钴接力催化下,通过双炔丙基膦酸酯的串联[3,3] - 西格玛重排/[2 + 2]环加成反应制备取代环丁烯。

Access to substituted cyclobutenes by tandem [3,3]-sigmatropic rearrangement/[2 + 2] cycloaddition of dipropargylphosphonates under Ag/Co relay catalysis.

作者信息

Ni Qijian, Song Xiaoxiao, Png Chin Wen, Zhang Yongliang, Zhao Yu

机构信息

Key Laboratory of Functionalized Molecular Solids, Ministry of Education, Anhui Key Laboratory of Molecule-Based Materials (State Key Laboratory Cultivation Base), College of Chemistry and Materials Science, Anhui Normal University Wuhu 241002 Anhui China.

Department of Chemistry, National University of Singapore 3 Science Drive 3 Singapore 117543 Singapore

出版信息

Chem Sci. 2020 Oct 16;11(45):12329-12335. doi: 10.1039/d0sc02972f.

Abstract

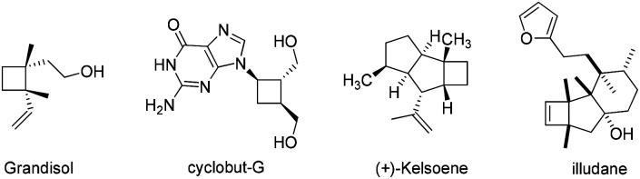
We present herein an unconventional tandem [3,3]-sigmatropic rearrangement/[2 + 2] cycloaddition of simple dipropargylphosphonates to deliver a range of bicyclic polysubstituted cyclobutenes and cyclobutanes under Ag/Co relay catalysis. An interesting switch from allene-allene to allene-alkyne cycloaddition was observed based on the substitution of the substrates, which further diversified the range of compounds accessible from this practical method. Significantly, preliminary biological screening of these new compounds identified promising candidates as suppressors of cellular proliferation.

摘要

我们在此展示了一种非传统的串联[3,3]-σ迁移重排/[2 + 2]环加成反应,即简单的二炔丙基膦酸酯在银/钴接力催化下反应,生成一系列双环多取代环丁烯和环丁烷。基于底物的取代情况,观察到了从丙二烯-丙二烯环加成到丙二烯-炔烃环加成的有趣转变,这进一步拓展了通过这种实用方法可获得的化合物范围。值得注意的是,对这些新化合物的初步生物学筛选确定了有前景的候选物作为细胞增殖抑制剂。

https://cdn.ncbi.nlm.nih.gov/pmc/blobs/e6bc/8162479/a67c2ed0c093/d0sc02972f-f1.jpg

文献检索

告别复杂PubMed语法,用中文像聊天一样搜索,搜遍4000万医学文献。AI智能推荐,让科研检索更轻松。

立即免费搜索

文件翻译

保留排版,准确专业,支持PDF/Word/PPT等文件格式,支持 12+语言互译。

免费翻译文档

深度研究

AI帮你快速写综述,25分钟生成高质量综述,智能提取关键信息,辅助科研写作。

立即免费体验