• 文献检索
  • 文档翻译
  • 深度研究
  • 学术资讯
  • Suppr Zotero 插件Zotero 插件
  • 邀请有礼
  • 套餐&价格
  • 历史记录
应用&插件
Suppr Zotero 插件Zotero 插件浏览器插件Mac 客户端Windows 客户端微信小程序
定价
高级版会员购买积分包购买API积分包
服务
文献检索文档翻译深度研究API 文档MCP 服务
关于我们
关于 Suppr公司介绍联系我们用户协议隐私条款
关注我们

Suppr 超能文献

核心技术专利:CN118964589B侵权必究
粤ICP备2023148730 号-1Suppr @ 2026

文献检索

告别复杂PubMed语法,用中文像聊天一样搜索,搜遍4000万医学文献。AI智能推荐,让科研检索更轻松。

立即免费搜索

文件翻译

保留排版,准确专业,支持PDF/Word/PPT等文件格式,支持 12+语言互译。

免费翻译文档

深度研究

AI帮你快速写综述,25分钟生成高质量综述,智能提取关键信息,辅助科研写作。

立即免费体验

利妥昔单抗治疗成人频繁复发或依赖类固醇的微小病变病或局灶节段性肾小球硬化症的疗效和安全性:一项系统评价和荟萃分析。

Efficacy and safety of rituximab in adult frequent-relapsing or steroid-dependent minimal change disease or focal segmental glomerulosclerosis: a systematic review and meta-analysis.

作者信息

Xue Cheng, Yang Bo, Xu Jing, Zhou Chenchen, Zhang Liming, Gao Xiang, Dai Bing, Yu Shengqiang, Mao Zhiguo, Mei Changlin, Xu Chenggang

机构信息

Division of Nephrology, Kidney Institute of CPLA (Chinese People's Liberation Army), Changzheng Hospital, Second Military Medical University, Shanghai, China.

Department of Nephrology, the Third Affiliated Hospital of Second Military Medical University, Shanghai, China.

出版信息

Clin Kidney J. 2020 Nov 21;14(4):1042-1054. doi: 10.1093/ckj/sfaa191. eCollection 2021 Apr.

DOI:10.1093/ckj/sfaa191
PMID:34094516
原文链接:https://pmc.ncbi.nlm.nih.gov/articles/PMC8173623/
Abstract

BACKGROUND

The efficacy and safety of rituximab (RTX) in adult frequent-relapsing (FR) or steroid-dependent (SD) nephrotic syndrome (NS), including minimal change disease (MCD) or focal segmental glomerulosclerosis (FSGS), are still inconclusive.

METHODS

We performed a systematic review and meta-analysis registered in  PROSPERO (CRD42019148102) by pooling data of cohort studies or case series on adult patients with difficult-to-treat NS. Steroid-resistant NS was excluded. The primary outcomes were the complete remission (CR) rate and the relapse rate. Partial remission (PR) rate, no response (NR) rate and adverse events were the secondary outcomes. A random-effects model was performed for all the outcomes.

RESULTS

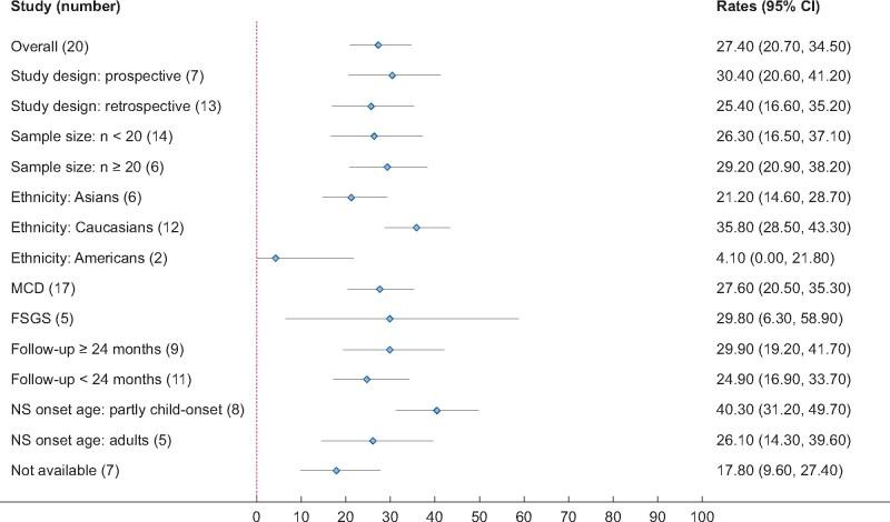
We included 21 studies involving 382 adult MCD/FSGS subjects with a median follow-up duration from 12 to 43 months. RTX treatment induced a pooled 84.2% CR rate [95% confidence interval (CI): 67.7-96.3%], while MCD patients had a high 91.6% CR rate and FSGS patients a moderate 43% CR rate. However, 27.4% (95% CI 20.7-34.5%) of the patients relapsed during the follow-up. The pooled PR and NR rates were 5.8% (95% CI 1.2-12.5%) and 5.2% (95% CI 0.0-15.0%), respectively. RTX was associated with trivial adverse events and good tolerance.

CONCLUSIONS

In summary, by pooling results of current pilot studies, RTX may be an effective and relatively safe alternative for most adult FR or SD MCD/FSGS to displace calcineurin inhibitors or prednisone in the hierarchy of treatment. More clinical trials comparing RTX with other immunosuppressants and concerning the long-term adverse events are needed.

摘要

背景

利妥昔单抗(RTX)在成人频繁复发(FR)或依赖类固醇(SD)的肾病综合征(NS)(包括微小病变病(MCD)或局灶节段性肾小球硬化(FSGS))中的疗效和安全性仍无定论。

方法

我们通过汇总关于成年难治性NS患者的队列研究或病例系列数据,进行了一项在PROSPERO(CRD42019148102)注册的系统评价和荟萃分析。排除了类固醇抵抗性NS。主要结局为完全缓解(CR)率和复发率。部分缓解(PR)率、无反应(NR)率和不良事件为次要结局。对所有结局采用随机效应模型。

结果

我们纳入了21项研究,涉及382例成年MCD/FSGS患者,中位随访时间为12至43个月。RTX治疗的汇总CR率为84.2%[95%置信区间(CI):67.7 - 96.3%],而MCD患者的CR率较高,为91.6%,FSGS患者的CR率为中等水平,为43%。然而,27.4%(95% CI 20.7 - 34.5%)的患者在随访期间复发。汇总的PR率和NR率分别为5.8%(95% CI 1.2 - 12.5%)和5.2%(95% CI 0.0 - 15.0%)。RTX与轻微不良事件相关且耐受性良好。

结论

总之,通过汇总当前初步研究的结果,对于大多数成年FR或SD MCD/FSGS患者,RTX可能是一种有效且相对安全的替代药物,可在治疗层级中取代钙调神经磷酸酶抑制剂或泼尼松。需要更多比较RTX与其他免疫抑制剂以及关注长期不良事件的临床试验。

https://cdn.ncbi.nlm.nih.gov/pmc/blobs/1146/8173623/86f04a228d43/sfaa191f6.jpg
https://cdn.ncbi.nlm.nih.gov/pmc/blobs/1146/8173623/c68464198532/sfaa191f1.jpg
https://cdn.ncbi.nlm.nih.gov/pmc/blobs/1146/8173623/191f3cf6d199/sfaa191f2.jpg
https://cdn.ncbi.nlm.nih.gov/pmc/blobs/1146/8173623/49c880073e5c/sfaa191f3.jpg
https://cdn.ncbi.nlm.nih.gov/pmc/blobs/1146/8173623/fe4f052746cd/sfaa191f4.jpg
https://cdn.ncbi.nlm.nih.gov/pmc/blobs/1146/8173623/3585ccb8f85a/sfaa191f5.jpg
https://cdn.ncbi.nlm.nih.gov/pmc/blobs/1146/8173623/86f04a228d43/sfaa191f6.jpg
https://cdn.ncbi.nlm.nih.gov/pmc/blobs/1146/8173623/c68464198532/sfaa191f1.jpg
https://cdn.ncbi.nlm.nih.gov/pmc/blobs/1146/8173623/191f3cf6d199/sfaa191f2.jpg
https://cdn.ncbi.nlm.nih.gov/pmc/blobs/1146/8173623/49c880073e5c/sfaa191f3.jpg
https://cdn.ncbi.nlm.nih.gov/pmc/blobs/1146/8173623/fe4f052746cd/sfaa191f4.jpg
https://cdn.ncbi.nlm.nih.gov/pmc/blobs/1146/8173623/3585ccb8f85a/sfaa191f5.jpg
https://cdn.ncbi.nlm.nih.gov/pmc/blobs/1146/8173623/86f04a228d43/sfaa191f6.jpg

相似文献

1
Efficacy and safety of rituximab in adult frequent-relapsing or steroid-dependent minimal change disease or focal segmental glomerulosclerosis: a systematic review and meta-analysis.利妥昔单抗治疗成人频繁复发或依赖类固醇的微小病变病或局灶节段性肾小球硬化症的疗效和安全性:一项系统评价和荟萃分析。
Clin Kidney J. 2020 Nov 21;14(4):1042-1054. doi: 10.1093/ckj/sfaa191. eCollection 2021 Apr.
2
Rituximab therapy for focal segmental glomerulosclerosis and minimal change disease in adults: a systematic review and meta-analysis.利妥昔单抗治疗成人局灶节段性肾小球硬化症和微小病变性肾病:系统评价和荟萃分析。
BMC Nephrol. 2020 Apr 15;21(1):134. doi: 10.1186/s12882-020-01797-7.
3
Efficacy of Rituximab for Minimal Change Disease and Focal Segmental Glomerulosclerosis with Frequently Relapsing or Steroid-Dependent Nephrotic Syndrome in Adults: A Chinese Multicenter Retrospective Study.利妥昔单抗治疗成人频繁复发或激素依赖型肾病综合征伴微小病变性肾病和局灶节段性肾小球硬化的疗效:一项中国多中心回顾性研究。
Am J Nephrol. 2024;55(1):25-36. doi: 10.1159/000535010. Epub 2023 Nov 14.
4
Rituximab in adult patients with multi-relapsing/steroid-dependent minimal change disease and focal segmental glomerulosclerosis: a report of 5 cases.利妥昔单抗治疗成人复发性/激素依赖性微小病变肾病和局灶节段性肾小球硬化症:5 例报告
Wien Klin Wochenschr. 2013 Jun;125(11-12):328-33. doi: 10.1007/s00508-013-0366-7. Epub 2013 Apr 27.
5
Rituximab in Steroid-Dependent Podocytopathies.利妥昔单抗治疗依赖类固醇的足细胞病
Glomerular Dis. 2024 Jul 1;4(1):129-136. doi: 10.1159/000539922. eCollection 2024 Jan-Dec.
6
Efficacy of low-dose rituximab in minimal change disease and prevention of relapse.低剂量利妥昔单抗治疗微小病变性肾病及预防复发的疗效。
BMC Nephrol. 2023 Apr 26;24(1):112. doi: 10.1186/s12882-023-03092-7.
7
Rituximab treatment for relapsing minimal change disease and focal segmental glomerulosclerosis: a systematic review.利妥昔单抗治疗复发性微小病变病和局灶节段性肾小球硬化:一项系统评价
Am J Nephrol. 2014;39(4):322-30. doi: 10.1159/000360908. Epub 2014 Apr 15.
8
Rituximab treatment in adults with refractory minimal change disease or focal segmental glomerulosclerosis.利妥昔单抗治疗难治性微小病变病或局灶节段性肾小球硬化症的成人患者。
Oncotarget. 2017 Oct 15;8(55):93438-93443. doi: 10.18632/oncotarget.21833. eCollection 2017 Nov 7.
9
Obinutuzumab May Be an Effective and Safe Option for Adult Minimal Change Disease and Focal Segmental Glomerulosclerosis Patients after Multitarget Therapy Including Rituximab.对于接受包括利妥昔单抗在内的多靶点治疗后的成人微小病变病和局灶节段性肾小球硬化症患者,奥妥珠单抗可能是一种有效且安全的选择。
Am J Nephrol. 2025;56(1):111-120. doi: 10.1159/000541972. Epub 2024 Oct 11.
10
Rituximab treatment of adults with primary focal segmental glomerulosclerosis.利妥昔单抗治疗成人原发性局灶节段性肾小球硬化症。
Sci Rep. 2023 Apr 25;13(1):6740. doi: 10.1038/s41598-023-33678-y.

引用本文的文献

1
Targeting CD20 for B-cell Depletion in Autoimmune Kidney Disease: Next Generation.针对自身免疫性肾脏疾病中B细胞耗竭的CD20靶向治疗:新一代疗法
BioDrugs. 2025 Sep 8. doi: 10.1007/s40259-025-00742-0.
2
Emerging role of Rituximab in adult minimal change disease: a narrative review of clinical evidence, biomarkers and future perspectives.利妥昔单抗在成人微小病变病中的新作用:临床证据、生物标志物及未来展望的叙述性综述
BMC Nephrol. 2025 Mar 26;26(1):152. doi: 10.1186/s12882-025-04086-3.
3
The role of obinutuzumab in rituximab-refractory membranous nephropathy and minimal change disease.

本文引用的文献

1
Rituximab therapy for focal segmental glomerulosclerosis and minimal change disease in adults: a systematic review and meta-analysis.利妥昔单抗治疗成人局灶节段性肾小球硬化症和微小病变性肾病:系统评价和荟萃分析。
BMC Nephrol. 2020 Apr 15;21(1):134. doi: 10.1186/s12882-020-01797-7.
2
Rituximab or Cyclosporine in the Treatment of Membranous Nephropathy.利妥昔单抗或环孢素治疗膜性肾病。
N Engl J Med. 2019 Jul 4;381(1):36-46. doi: 10.1056/NEJMoa1814427.
3
Efficacy and acceptability of immunosuppressive agents for pediatric frequently-relapsing and steroid-dependent nephrotic syndrome: A network meta-analysis of randomized controlled trials.
奥妥珠单抗在利妥昔单抗难治性膜性肾病和微小病变肾病中的作用。
Clin Kidney J. 2025 Feb 8;18(3):sfaf039. doi: 10.1093/ckj/sfaf039. eCollection 2025 Mar.
4
Long-term efficacy of Rituximab in steroid dependent and frequent relapsing adult nephrotic syndrome.利妥昔单抗治疗依赖类固醇且频繁复发的成人肾病综合征的长期疗效
BMC Nephrol. 2025 Mar 6;26(1):126. doi: 10.1186/s12882-025-04035-0.
5
Antinephrin autoantibodies: rethinking the pathogenesis of minimal change disease.抗肾素自身抗体:重新思考微小病变病的发病机制。
Ren Fail. 2024 Dec;46(2):2434192. doi: 10.1080/0886022X.2024.2434192. Epub 2024 Dec 2.
6
Management of immune-mediated glomerular diseases in the elderly.老年人免疫介导性肾小球疾病的管理。
Ren Fail. 2024 Dec;46(2):2411848. doi: 10.1080/0886022X.2024.2411848. Epub 2024 Oct 8.
7
Rituximab in Steroid-Dependent Podocytopathies.利妥昔单抗治疗依赖类固醇的足细胞病
Glomerular Dis. 2024 Jul 1;4(1):129-136. doi: 10.1159/000539922. eCollection 2024 Jan-Dec.
8
Case report: Effective treatment of rituximab-resistant minimal change disease with obinutuzumab in an adult.病例报告:奥滨尤妥珠单抗治疗成人利妥昔单抗耐药性微小病变性肾病的疗效。
Front Immunol. 2024 Jul 29;15:1407461. doi: 10.3389/fimmu.2024.1407461. eCollection 2024.
9
Immunosuppression for adult steroid-dependent or frequently relapsing nephrotic syndrome: A systematic review and meta-analysis.成人类固醇依赖型或频繁复发型肾病综合征的免疫抑制治疗:系统评价和荟萃分析。
PLoS One. 2024 Jul 31;19(7):e0307981. doi: 10.1371/journal.pone.0307981. eCollection 2024.
10
The efficacy and safety of rituximab with or without glucocorticoid in inducing remission of MCD with different clinical presentations in adults: a retrospective study.利妥昔单抗联合或不联合糖皮质激素诱导成人不同临床表现微小病变性肾病缓解的疗效与安全性:一项回顾性研究
Clin Kidney J. 2024 May 3;17(6):sfae139. doi: 10.1093/ckj/sfae139. eCollection 2024 Jun.
免疫抑制剂治疗儿童频繁复发及激素依赖型肾病综合征的疗效与可接受性:一项随机对照试验的网状Meta分析
Medicine (Baltimore). 2019 May;98(22):e15927. doi: 10.1097/MD.0000000000015927.
4
Continuous B-cell depletion in frequently relapsing, steroid-dependent and steroid-resistant nephrotic syndrome.频繁复发、依赖类固醇和抵抗类固醇的肾病综合征中的持续性B细胞耗竭
Clin Kidney J. 2018 Jul 24;12(2):224-231. doi: 10.1093/ckj/sfy067. eCollection 2019 Apr.
5
Emerging therapeutic strategies for minimal change disease and focal and segmental glomerulosclerosis.微小病变病和局灶节段性肾小球硬化症的新兴治疗策略。
Expert Opin Investig Drugs. 2018 Nov;27(11):839-879. doi: 10.1080/13543784.2018.1540587. Epub 2018 Oct 30.
6
Comparison of the response of frequently relapsing steroid-dependent minimal change nephrotic syndrome to rituximab therapy between childhood-onset and adult-onset disease.儿童期起病和成人期起病的频繁复发的类固醇依赖型微小病变肾病综合征对利妥昔单抗治疗反应的比较。
Medicine (Baltimore). 2018 Oct;97(42):e12704. doi: 10.1097/MD.0000000000012704.
7
Incidence of unintended pregnancy among female sex workers in low-income and middle-income countries: a systematic review and meta-analysis.低收入和中等收入国家女性性工作者意外怀孕的发生率:一项系统评价和荟萃分析。
BMJ Open. 2018 Sep 17;8(9):e021779. doi: 10.1136/bmjopen-2018-021779.
8
Therapeutic efficacy of rituximab for the management of adult-onset steroid-dependent nephrotic syndrome: a retrospective study.利妥昔单抗治疗成人起病的激素依赖型肾病综合征的疗效:一项回顾性研究。
Clin Exp Nephrol. 2019 Feb;23(2):207-214. doi: 10.1007/s10157-018-1630-y. Epub 2018 Aug 18.
9
Rituximab as a front-line therapy for adult-onset minimal change disease with nephrotic syndrome.利妥昔单抗作为成人起病的微小病变肾病综合征的一线治疗药物。
Oncotarget. 2018 Jun 22;9(48):28799-28804. doi: 10.18632/oncotarget.25612.
10
Dialysis modality and mortality in polycystic kidney disease.多囊肾病的透析方式与死亡率
Hemodial Int. 2018 Oct;22(4):515-523. doi: 10.1111/hdi.12673. Epub 2018 May 18.