Suppr超能文献

奥妥珠单抗在利妥昔单抗难治性膜性肾病和微小病变肾病中的作用。

The role of obinutuzumab in rituximab-refractory membranous nephropathy and minimal change disease.

作者信息

Chen Zewei, Xu Dechao, Wu Shuangcheng, Liu Wenyu, Wu Jianxiang, Yu Shengqiang, Dai Bing, Mao Zhiguo, Gao Xiang

机构信息

Department of Nephrology, Changzheng Hospital, Naval Medical University, Shanghai, China.

Department of Nephrology, The First Navy Hospital of Southern Theater Command, Zhanjiang, Guangdong, China.

出版信息

Clin Kidney J. 2025 Feb 8;18(3):sfaf039. doi: 10.1093/ckj/sfaf039. eCollection 2025 Mar.

Abstract

BACKGROUND

Obinutuzumab, a new-generation anti-CD20 monoclonal antibody, was originally developed to overcome resistance to rituximab in B-cell malignancies. There is limited research regarding the use of obinutuzumab in patients with rituximab-refractory membranous nephropathy (MN) and minimal change disease (MCD).

METHODS

A retrospective analysis was performed at Changzheng Hospital from September 2022 to September 2024, and screened patients with rituximab-refractory MN or MCD. Participants were treated because they were refractory to rituximab and consented to receive infusions of obinutuzumab. Primary outcomes were defined as complete remission (CR, proteinuria <0.3 g/d) or partial remission (PR, proteinuria <3.5 g/d with a ≥50% reduction). Secondary outcome was immunological remission in patients with phospholipase A2 receptor (PLA2R)-related MN.

RESULTS

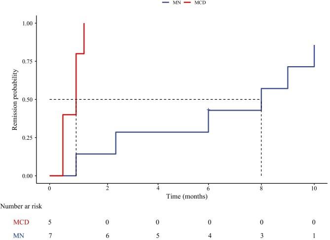
Seven patients with MN and five with MCD were included in the cohort. Among patients with MN, six of seven (86%) achieved at least PR, of whom two patients reached CR with a median time to first remission (either PR or CR) of 8.0 months. Among patients with positive serum anti-PLA2R antibodies at baseline, all achieved an immunological response. No patients experienced a relapse during the follow-up period. Among patients with MCD, all patients achieved a CR with the median time of 1.0 months. Patients who were steroid-dependent or immunosuppressant-dependent were able to taper their medications in the short term without experiencing relapse. No treatment-related severe adverse events were reported.

CONCLUSIONS

Our study demonstrated that obinutuzumab represents a promising alternative therapeutic option for the management of rituximab-refractory MN and MCD.

摘要

背景

奥妥珠单抗是一种新一代抗CD20单克隆抗体,最初研发用于克服B细胞恶性肿瘤对利妥昔单抗的耐药性。关于奥妥珠单抗在利妥昔单抗难治性膜性肾病(MN)和微小病变病(MCD)患者中的应用研究有限。

方法

2022年9月至2024年9月在长征医院进行了一项回顾性分析,筛选出利妥昔单抗难治性MN或MCD患者。参与者因对利妥昔单抗难治且同意接受奥妥珠单抗输注而接受治疗。主要结局定义为完全缓解(CR,蛋白尿<0.3 g/d)或部分缓解(PR,蛋白尿<3.5 g/d且减少≥50%)。次要结局是磷脂酶A2受体(PLA2R)相关MN患者的免疫缓解。

结果

该队列纳入了7例MN患者和5例MCD患者。在MN患者中,7例中有6例(86%)至少达到PR,其中2例患者达到CR,首次缓解(PR或CR)的中位时间为8.0个月。在基线血清抗PLA2R抗体阳性的患者中,所有患者均获得免疫反应。随访期间无患者复发。在MCD患者中,所有患者均达到CR,中位时间为1.0个月。依赖类固醇或免疫抑制剂的患者能够在短期内逐渐减少用药且未复发。未报告与治疗相关的严重不良事件。

结论

我们的研究表明,奥妥珠单抗是治疗利妥昔单抗难治性MN和MCD的一种有前景的替代治疗选择。

https://cdn.ncbi.nlm.nih.gov/pmc/blobs/e2ef/11914879/8e39448d3745/sfaf039fig1g.jpg

文献检索

告别复杂PubMed语法,用中文像聊天一样搜索,搜遍4000万医学文献。AI智能推荐,让科研检索更轻松。

立即免费搜索

文件翻译

保留排版,准确专业,支持PDF/Word/PPT等文件格式,支持 12+语言互译。

免费翻译文档

深度研究

AI帮你快速写综述,25分钟生成高质量综述,智能提取关键信息,辅助科研写作。

立即免费体验