Suppr超能文献

使用基于消费者的可穿戴活动追踪器为患有妊娠糖尿病的孕妇设定身体活动目标和测量步数:探索接受度和有效性。

Using a consumer-based wearable activity tracker for physical activity goal setting and measuring steps in pregnant women with gestational diabetes mellitus: exploring acceptance and validity.

机构信息

Department of Public Health, The University of Tennessee, Knoxville, 390 HPER, 1914 Andy Holt Ave, Knoxville, TN, 37996, USA.

The University of Tennessee, Graduate School of Medicine, 1924 Alcoa Highway, Knoxville, TN, 37920, USA.

出版信息

BMC Pregnancy Childbirth. 2021 Jun 8;21(1):420. doi: 10.1186/s12884-021-03900-8.

Abstract

BACKGROUND

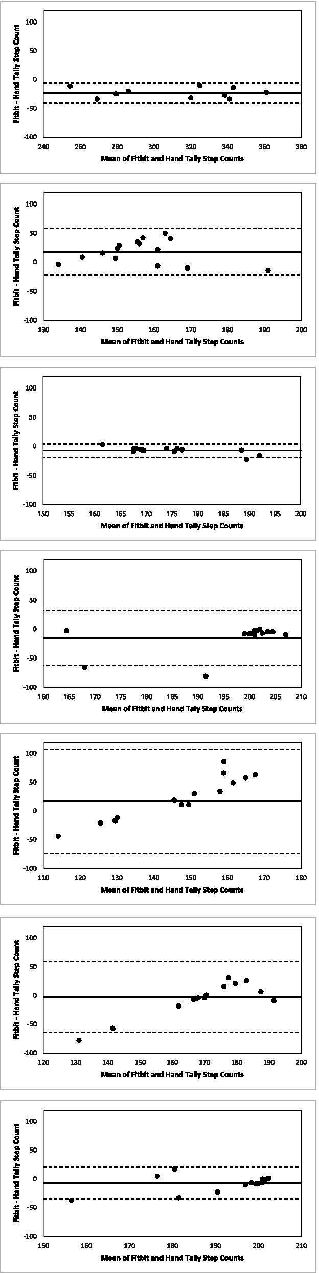
Activity monitoring devices may be used to facilitate goal-setting, self-monitoring, and feedback towards a step-based physical activity (PA) goal. This study examined the performance of the wrist-worn Fitbit Charge 3™ (FC3) and sought opinions on walking and stepping-in-place from women with gestational diabetes (GDM).

METHODS

Participants completed six 2-min metronome-assisted over ground bouts that varied by cadence (67, 84, or 100 steps per minute) and mode (walking or stepping-in-place; N = 15), with the sequence randomized. Steps were estimated by FC3 and measured, in duplicate, by direct observation (hand-tally device, criterion). Equivalence testing by the two one-sided tests (TOST) method assessed agreement within ± 15%. Mean absolute percent error (MAPE) of steps were compared to 10%, the accuracy standard of the Consumer Technology Association (CTA)™. A subset (n = 10) completed a timed, 200-m self-paced walk to assess natural walking pace and cadence. All participants completed semi-structured interviews, which were transcribed and analyzed using descriptive and interpretive coding.

RESULTS

Mean age was 27.0 years (SD 4.2), prepregnancy BMI 29.4 kg/m (8.3), and gestational age 32.8 weeks (SD 2.6). The FC3 was equivalent to hand-tally for bouts of metronome-assisted walking and stepping-in-place at 84 and 100 steps per minute (i.e., P < .05), although walking at 100 steps per minute (P = .01) was no longer equivalent upon adjustment for multiple comparisons (i.e., at P < .007). The FC3 was equivalent to hand-tally during the 200-m walk (i.e., P < .001), in which mean pace was 68.2 m per minute (SD 10.7), or 2.5 miles per hour, and mean cadence 108.5 steps per minute (SD 6.5). For walking at 84 and 100 steps per minute, stepping-in-place at 100 steps per minute, and the 200-m walk, MAPE was within 10%, the accuracy standard of the CTA™. Interviews revealed motivation for PA, that stepping-in-place was an acceptable alternative to walking, and competing responsibilities made it difficult to find time for PA.

CONCLUSIONS

The FC3 appears to be a valid step counter during the third trimester, particularly when walking or stepping-in-place at or close to women's preferred cadence.

摘要

背景

活动监测设备可用于辅助设定目标、自我监测和提供反馈,以帮助人们达到基于步数的身体活动(PA)目标。本研究旨在评估可穿戴腕带 Fitbit Charge 3(FC3)的性能,并了解患有妊娠期糖尿病(GDM)的女性对步行和原地踏步的看法。

方法

参与者完成了 6 次 2 分钟的节拍器辅助的地面运动,节拍器的步速分别为 67、84 或 100 步/分钟,且运动模式(步行或原地踏步)随机排列。通过 FC3 估计步数,并使用直接观察(手动计数设备,标准)进行重复测量。使用双单边检验(TOST)方法进行等效性检验,以评估±15%范围内的一致性。与消费者技术协会(CTA)™规定的 10%的准确性标准相比,比较了步数的平均绝对百分比误差(MAPE)。选择了一部分(n=10)参与者完成 200 米的定时自我 paced 步行,以评估自然行走速度和步速。所有参与者都完成了半结构化访谈,对访谈内容进行转录并使用描述性和解释性编码进行分析。

结果

参与者的平均年龄为 27.0 岁(标准差 4.2),孕前 BMI 为 29.4kg/m²(8.3),妊娠周数为 32.8 周(标准差 2.6)。在 84 步/分钟和 100 步/分钟的节拍器辅助步行和原地踏步运动中,FC3 与手动计数结果相当(即 P<.05),但在进行多次比较的调整后(即 P<.007),100 步/分钟的步行运动不再等效。在 200 米步行运动中,FC3 与手动计数结果相当(即 P<.001),平均速度为 68.2 米/分钟(标准差 10.7),或 2.5 英里/小时,平均步速为 108.5 步/分钟(标准差 6.5)。在 84 步/分钟和 100 步/分钟的步行运动、100 步/分钟的原地踏步运动以及 200 米步行运动中,MAPE 均在 10%以内,达到了 CTA™的准确性标准。访谈揭示了参与者对 PA 的积极性,即原地踏步是步行的一种可接受的替代方式,而且竞争的责任使得她们很难找到时间进行 PA。

结论

FC3 似乎是妊娠晚期的一种有效的计步器,尤其是在接近女性首选步速或步速为女性首选步速时,无论是步行还是原地踏步。

https://cdn.ncbi.nlm.nih.gov/pmc/blobs/0ad8/8188700/f7e711982d01/12884_2021_3900_Fig1_HTML.jpg

相似文献

2
A catalog of validity indices for step counting wearable technologies during treadmill walking: the CADENCE-adults study.
Int J Behav Nutr Phys Act. 2022 Sep 8;19(1):117. doi: 10.1186/s12966-022-01350-9.
4
Longitudinal changes in walking cadence across pregnancy and postpartum.
Gait Posture. 2020 Jun;79:234-238. doi: 10.1016/j.gaitpost.2020.05.012. Epub 2020 May 14.
6
Accuracy of wearable physical activity trackers in people with Parkinson's disease.
Gait Posture. 2018 Jun;63:104-108. doi: 10.1016/j.gaitpost.2018.04.034. Epub 2018 Apr 24.
7
Are Wrist-Worn Activity Trackers and Mobile Applications Valid for Assessing Physical Activity in High School Students? Wearfit Study.
J Sports Sci Med. 2022 Sep 1;21(3):356-375. doi: 10.52082/jssm.2022.356. eCollection 2022 Sep.
9
Walking Cadence during Moderate-Intensity Physical Activity in Pregnant Women.
Int J Environ Res Public Health. 2021 Jun 19;18(12):6593. doi: 10.3390/ijerph18126593.
10
How valid are wearable physical activity trackers for measuring steps?
Eur J Sport Sci. 2017 Apr;17(3):360-368. doi: 10.1080/17461391.2016.1255261. Epub 2016 Dec 2.

引用本文的文献

本文引用的文献

2
Longitudinal changes in walking cadence across pregnancy and postpartum.
Gait Posture. 2020 Jun;79:234-238. doi: 10.1016/j.gaitpost.2020.05.012. Epub 2020 May 14.
4
14. Management of Diabetes in Pregnancy: .
Diabetes Care. 2020 Jan;43(Suppl 1):S183-S192. doi: 10.2337/dc20-S014.
5
2. Classification and Diagnosis of Diabetes: .
Diabetes Care. 2020 Jan;43(Suppl 1):S14-S31. doi: 10.2337/dc20-S002.
6
Walking for health during pregnancy: A literature review and considerations for future research.
J Sport Health Sci. 2019 Sep;8(5):401-411. doi: 10.1016/j.jshs.2018.11.004. Epub 2018 Nov 17.
8
Standardizing Analytic Methods and Reporting in Activity Monitor Validation Studies.
Med Sci Sports Exerc. 2019 Aug;51(8):1767-1780. doi: 10.1249/MSS.0000000000001966.
9
2. Classification and Diagnosis of Diabetes: .
Diabetes Care. 2019 Jan;42(Suppl 1):S13-S28. doi: 10.2337/dc19-S002.

文献AI研究员

20分钟写一篇综述,助力文献阅读效率提升50倍。

立即体验

用中文搜PubMed

大模型驱动的PubMed中文搜索引擎

马上搜索

文档翻译

学术文献翻译模型,支持多种主流文档格式。

立即体验