Zheng Fang, Chen Ruochan, Yao Run, Huang Yaxiong, Tan Xin, Liu Jiyang, Li Ning, Xie Yuanlin
The First Hospital of Changsha, Changsha, Hunan, China.
Hunan Key Laboratory of Viral Hepatitis, Xiangya Hospital, Central South University, Changsha, 410008, Hunan, China.
Infect Dis Ther. 2021 Sep;10(3):1391-1405. doi: 10.1007/s40121-021-00458-y. Epub 2021 Jun 10.
The coronavirus disease 2019 (COVID-19), caused by the severe acute respiratory syndrome coronavirus 2 (SARS-CoV-2), has rapidly spread throughout China and worldwide. Little is known about the dynamic changes in the patient immune responses to SARS-CoV-2 and how different responses are correlated with disease severity and outcomes.
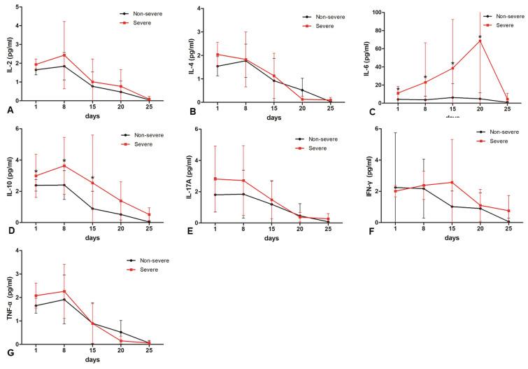
Seventy-four patients with confirmed COVID-19 were enrolled in this prospective research. The demographic information, medical history, symptoms, signs and laboratory results were analyzed and compared between severe and non-severe patients. The leukocytes, lymphocyte subsets and inflammatory cytokines were longitudinally collected.
Of the 74 patients included, 17 suffered from severe disease. The severe patients tended be older (65.29 ± 12.33 years vs. 45.37 ± 18.66 years) and had a greater degree of underlying disease (41.18% vs. 24.56%), lower baseline lymphocyte counts [0.64 (0.46-0.95) × 10 vs. 1.27 (0.95-1.70) × 10], higher neutrophil-lymphocyte ratios [NLRs; 3.76 (3.15-5.51) vs. 2.07 (1.48-2.93)] and lower baseline eosinophil counts [0 (0-0.01) × 10 vs. 0.03 (0.01-0.06) × 10] than those in non-severe patients. The baseline helper T (Th) cells (335.47 vs. 666.46/μl), suppressor T(Ts) cells (158 vs. 334/μl), B cells (95 vs. 210/μl) and natural killer (NK) cells (52 vs. 122/μl) were significantly decreased in severe cases compared to that in non-severe cases. In addition, the baseline neutrophils were positively correlated with the severity of COVID-19, and the baseline lymphocytes were negatively correlated with the severity of COVID-19. The dynamic change of T cells, Th cells and IFN-γ in the severe cases were parallel to the amelioration of the disease.
Collectively, our study provides novel information on the kinetics of the immune responses in a cohort of COVID-19 patients with different disease severities. Furthermore, our study indicates that both innate and adaptive immune responses correlate with better clinical outcomes.
2019冠状病毒病(COVID-19)由严重急性呼吸综合征冠状病毒2(SARS-CoV-2)引起,已在中国和全球迅速传播。关于患者对SARS-CoV-2免疫反应的动态变化以及不同反应如何与疾病严重程度和结局相关,目前知之甚少。
74例确诊的COVID-19患者纳入本前瞻性研究。分析并比较了重症和非重症患者的人口统计学信息、病史、症状、体征和实验室检查结果。纵向收集白细胞、淋巴细胞亚群和炎性细胞因子。
74例患者中,17例为重症。重症患者年龄偏大(65.29±12.33岁 vs. 45.37±18.66岁),基础疾病程度更高(41.18% vs. 24.56%),基线淋巴细胞计数更低[0.64(0.46 - 0.95)×10 vs. 1.27(0.95 - 1.70)×10],中性粒细胞与淋巴细胞比值[NLRs;3.76(3.15 - 5.51) vs. 2.07(1.48 - 2.93)]更高,基线嗜酸性粒细胞计数更低[0(0 - 0.01)×10 vs. 0.03(0.01 - 0.06)×10]。与非重症患者相比,重症患者的基线辅助性T(Th)细胞(335.47 vs. 666.46/μl)、抑制性T(Ts)细胞(158 vs. 334/μl)、B细胞(95 vs. 210/μl)和自然杀伤(NK)细胞(52 vs. 122/μl)显著减少。此外,基线中性粒细胞与COVID-19严重程度呈正相关,基线淋巴细胞与COVID-19严重程度呈负相关。重症患者中T细胞、Th细胞和IFN-γ的动态变化与疾病改善情况平行。
总体而言,我们的研究提供了关于不同疾病严重程度的COVID-19患者队列免疫反应动力学的新信息。此外,我们的研究表明,固有免疫和适应性免疫反应均与更好的临床结局相关。