Mirzaali Mohammad J, Ghorbani Aref, Nakatani Kenichi, Nouri-Goushki Mahdiyeh, Tümer Nazli, Callens Sebastien J P, Janbaz Shahram, Accardo Angelo, Bico José, Habibi Mehdi, Zadpoor Amir A
Department of Biomechanical Engineering, Faculty of Mechanical, Maritime, and Materials Engineering, Delft University of Technology (TU Delft), Mekelweg 2, Delft, 2628 CD, The Netherlands.
Physics and Physical Chemistry of Foods, Department of Agrotechnology and Food Sciences, Wageningen University, Wageningen, 6708 WG, The Netherlands.
Adv Mater. 2021 Jul;33(30):e2008082. doi: 10.1002/adma.202008082. Epub 2021 Jun 13.
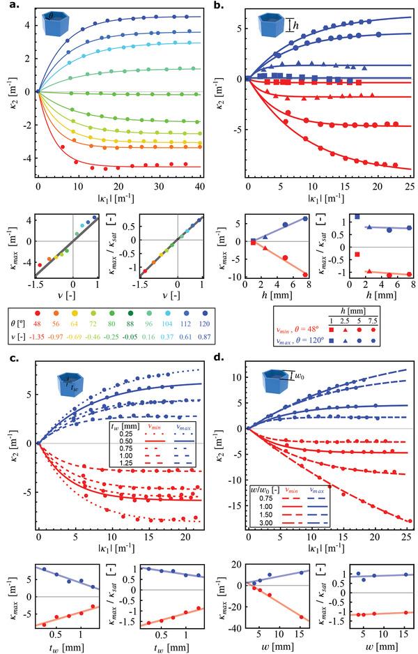
The design of advanced functional devices often requires the use of intrinsically curved geometries that belong to the realm of non-Euclidean geometry and remain a challenge for traditional engineering approaches. Here, it is shown how the simple deflection of thick meta-plates based on hexagonal cellular mesostructures can be used to achieve a wide range of intrinsic (i.e., Gaussian) curvatures, including dome-like and saddle-like shapes. Depending on the unit cell structure, non-auxetic (i.e., positive Poisson ratio) or auxetic (i.e., negative Poisson ratio) plates can be obtained, leading to a negative or positive value of the Gaussian curvature upon bending, respectively. It is found that bending such meta-plates along their longitudinal direction induces a curvature along their transverse direction. Experimentally and numerically, it is shown how the amplitude of this induced curvature is related to the longitudinal bending and the geometry of the meta-plate. The approach proposed here constitutes a general route for the rational design of advanced functional devices with intrinsically curved geometries. To demonstrate the merits of this approach, a scaling relationship is presented, and its validity is demonstrated by applying it to 3D-printed microscale meta-plates. Several applications for adaptive optical devices with adjustable focal length and soft wearable robotics are presented.
先进功能器件的设计通常需要使用属于非欧几里得几何领域的固有弯曲几何形状,这对传统工程方法来说仍然是一个挑战。在此展示了如何利用基于六边形蜂窝介观结构的厚超材料板的简单挠曲来实现广泛的固有(即高斯)曲率,包括圆顶状和鞍状形状。根据单胞结构,可以获得非负泊松比(即正泊松比)或负泊松比(即负泊松比)的板,分别导致弯曲时高斯曲率为负或正。研究发现,沿其纵向弯曲这种超材料板会在其横向产生曲率。通过实验和数值模拟,展示了这种诱导曲率的幅度与纵向弯曲和超材料板几何形状之间的关系。这里提出的方法构成了合理设计具有固有弯曲几何形状的先进功能器件的通用途径。为了证明这种方法的优点,给出了一个比例关系,并通过将其应用于3D打印的微尺度超材料板来证明其有效性。还介绍了具有可调焦距的自适应光学器件和软可穿戴机器人的一些应用。