Vaz Belén, Martínez Claudio, Cruz Francisco, Denis J Gabriel, de Lera Ángel R, Aurrecoechea José M, Álvarez Rosana
Departamento de Química Orgánica, Facultad de Química (CINBIO) and Instituto de Investigación Biomédica de Vigo (IBIV), Universidade de Vigo, Lagoas-Marcosende, 36310 Vigo, Spain.
Departamento de Química Orgánica e Inorgánica, Facultad de Ciencia y Tecnología, Universidad del País Vasco UPV/EHU, Apartado 644, 48080 Bilbao, Spain.
J Org Chem. 2021 Jul 2;86(13):8766-8785. doi: 10.1021/acs.joc.1c00636. Epub 2021 Jun 14.
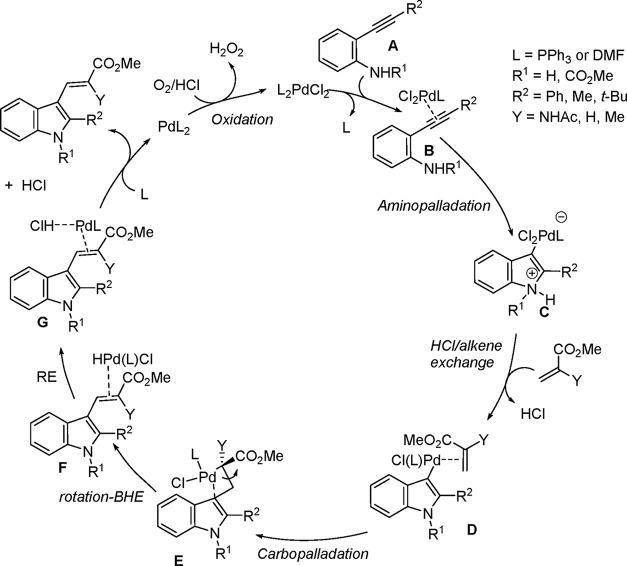
Dehydrotryptophan derivatives have been prepared by palladium-catalyzed aminocyclization-Heck-type coupling cascades starting from -alkynylaniline derivatives and methyl α-aminoacrylate. Aryl, alkyl (primary, secondary, and tertiary), and alkenyl substituents have been introduced at the indole C-2 position. Further variations at the indole benzene ring, as well as the C-2-unsubstituted case, have all been demonstrated. In the case of C-2 aryl substitution, the preparation of the -alkynylaniline substrate by Sonogashira coupling and the subsequent cyclization-coupling cascade have been performed in a one-pot protocol with a single catalyst. DFT calculations have revealed significant differences in the reaction profiles of these reactions relative to those involving methyl acrylate or methacrylate, and between the reactions of the free anilines and their corresponding carbamates. Those calculations suggest that the nature of the alkene and of the acid HX released in the HX/alkene exchange step that precedes C-C bond formation could be responsible for the experimentally observed differences in reaction efficiencies.
脱氢色氨酸衍生物是通过钯催化的氨基环化-赫克型偶联串联反应制备的,该反应从炔基苯胺衍生物和α-氨基丙烯酸甲酯开始。芳基、烷基(伯、仲和叔烷基)以及烯基取代基已被引入到吲哚的C-2位。吲哚苯环上的进一步变化以及C-2未取代的情况均已得到证实。在C-2芳基取代的情况下,通过Sonogashira偶联制备炔基苯胺底物以及随后的环化-偶联串联反应已在单催化剂的一锅法中进行。密度泛函理论(DFT)计算表明,这些反应的反应历程与涉及丙烯酸甲酯或甲基丙烯酸甲酯的反应相比,以及游离苯胺及其相应氨基甲酸酯的反应之间存在显著差异。这些计算表明,在C-C键形成之前的HX/烯烃交换步骤中释放的烯烃和酸HX的性质可能是造成实验观察到的反应效率差异的原因。