Suppr超能文献

血管合并症使因 COVID-19 住院的心衰患者预后恶化。

Vascular comorbidities worsen prognosis of patients with heart failure hospitalised with COVID-19.

机构信息

Internal Medicine, UTHSC College of Medicine Chattanooga, Chattanooga, Tennessee, USA

Internal Medicine, UTHSC College of Medicine Chattanooga, Chattanooga, Tennessee, USA.

出版信息

Open Heart. 2021 Jun;8(1). doi: 10.1136/openhrt-2021-001668.

Abstract

BACKGROUND

Prior diagnosis of heart failure (HF) is associated with increased length of hospital stay (LOS) and mortality from COVID-19. Associations between substance use, venous thromboembolism (VTE) or peripheral arterial disease (PAD) and its effects on LOS or mortality in patients with HF hospitalised with COVID-19 remain unknown.

OBJECTIVE

This study identified risk factors associated with poor in-hospital outcomes among patients with HF hospitalised with COVID-19.

METHODS

Case-control study was conducted of patients with prior diagnosis of HF hospitalised with COVID-19 at an academic tertiary care centre from 1 January 2020 to 28 February 2021. Patients with HF hospitalised with COVID-19 with risk factors were compared with those without risk factors for clinical characteristics, LOS and mortality. Multivariate regression was conducted to identify multiple predictors of increased LOS and in-hospital mortality in patients with HF hospitalised with COVID-19.

RESULTS

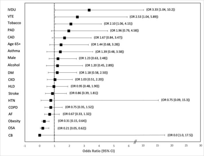
Total of 211 patients with HF were hospitalised with COVID-19. Women had longer LOS than men (9 days vs 7 days; p<0.001). Compared with patients without PAD or ischaemic stroke, patients with PAD or ischaemic stroke had longer LOS (7 days vs 9 days; p=0.012 and 7 days vs 11 days, p<0.001, respectively). Older patients (aged 65 and above) had increased in-hospital mortality compared with younger patients (adjusted OR: 1.04; 95% CI 1.00 to 1.07; p=0.036). Prior diagnosis of VTE increased mortality more than threefold in patients with HF hospitalised with COVID-19 (adjusted OR: 3.33; 95% CI 1.29 to 8.43; p=0.011).

CONCLUSION

Vascular diseases increase LOS and mortality in patients with HF hospitalised with COVID-19.

摘要

背景

先前诊断为心力衰竭(HF)与 COVID-19 导致的住院时间(LOS)延长和死亡率增加有关。在因 COVID-19 住院的 HF 患者中,物质使用、静脉血栓栓塞(VTE)或外周动脉疾病(PAD)及其对 LOS 或死亡率的影响之间的关联尚不清楚。

目的

本研究确定了与因 COVID-19 住院的 HF 患者不良住院结局相关的危险因素。

方法

对 2020 年 1 月 1 日至 2021 年 2 月 28 日在学术三级护理中心因 COVID-19 住院的 HF 患者进行病例对照研究。将 HF 患者与 COVID-19 住院患者的危险因素进行比较,比较有无危险因素的患者的临床特征、 LOS 和死亡率。进行多变量回归分析,以确定因 COVID-19 住院的 HF 患者 LOS 和住院内死亡率增加的多个预测因素。

结果

共有 211 例 HF 患者因 COVID-19 住院。女性的 LOS 长于男性(9 天 vs 7 天;p<0.001)。与无 PAD 或缺血性脑卒中的患者相比,有 PAD 或缺血性脑卒中的患者的 LOS 更长(7 天 vs 9 天;p=0.012 和 7 天 vs 11 天,p<0.001)。与年轻患者相比,年龄在 65 岁及以上的患者住院内死亡率更高(调整后的 OR:1.04;95%CI 1.00 至 1.07;p=0.036)。因 COVID-19 住院的 HF 患者中,先前诊断为 VTE 使死亡率增加了两倍多(调整后的 OR:3.33;95%CI 1.29 至 8.43;p=0.011)。

结论

血管疾病增加了因 COVID-19 住院的 HF 患者的 LOS 和死亡率。

https://cdn.ncbi.nlm.nih.gov/pmc/blobs/5ee3/8206174/f16205328938/openhrt-2021-001668f01.jpg

相似文献

5
Hospitalisation length and prognosis in heart failure patients.
Kardiol Pol. 2017;75(4):323-331. doi: 10.5603/KP.a2016.0183. Epub 2016 Dec 20.
6
Patient journey after admission for acute heart failure: length of stay, 30-day readmission and 90-day mortality.
Eur J Heart Fail. 2016 Aug;18(8):1041-50. doi: 10.1002/ejhf.540. Epub 2016 Apr 25.
7
Risk Factors Associated With In-Hospital Mortality in a US National Sample of Patients With COVID-19.
JAMA Netw Open. 2020 Dec 1;3(12):e2029058. doi: 10.1001/jamanetworkopen.2020.29058.
9
Systemic sclerosis is associated with increased in-patient mortality in patients hospitalized for heart failure.
ESC Heart Fail. 2024 Aug;11(4):1900-1910. doi: 10.1002/ehf2.14457. Epub 2024 Mar 12.
10
Longer-than-average length of stay in acute heart failure : Determinants and outcomes.
Herz. 2018 Mar;43(2):131-139. doi: 10.1007/s00059-016-4532-3. Epub 2017 Feb 6.

引用本文的文献

1
COVID-19 and the cardiovascular system-current knowledge and future perspectives.
World J Clin Cases. 2022 Sep 26;10(27):9602-9610. doi: 10.12998/wjcc.v10.i27.9602.
2
Association of chronic heart failure with mortality in old intensive care patients suffering from Covid-19.
ESC Heart Fail. 2022 Jun;9(3):1756-1765. doi: 10.1002/ehf2.13854. Epub 2022 Mar 10.

本文引用的文献

1
Incidence of Venous Thromboembolism and Mortality in Patients with Initial Presentation of COVID-19.
J Thromb Thrombolysis. 2021 May;51(4):897-901. doi: 10.1007/s11239-021-02413-7. Epub 2021 Mar 5.
2
Clinical Outcomes in Patients With Heart Failure Hospitalized With COVID-19.
JACC Heart Fail. 2021 Jan;9(1):65-73. doi: 10.1016/j.jchf.2020.11.003.
3
Thromboembolism risk of COVID-19 is high and associated with a higher risk of mortality: A systematic review and meta-analysis.
EClinicalMedicine. 2020 Dec;29:100639. doi: 10.1016/j.eclinm.2020.100639. Epub 2020 Nov 20.
5
Prognostic Impact of Prior Heart Failure in Patients Hospitalized With COVID-19.
J Am Coll Cardiol. 2020 Nov 17;76(20):2334-2348. doi: 10.1016/j.jacc.2020.09.549. Epub 2020 Oct 28.
6
Heart failure and COVID-19.
Heart Fail Rev. 2021 Jan;26(1):1-10. doi: 10.1007/s10741-020-10008-2.
7
High risk of thrombosis in patients with severe SARS-CoV-2 infection: a multicenter prospective cohort study.
Intensive Care Med. 2020 Jun;46(6):1089-1098. doi: 10.1007/s00134-020-06062-x. Epub 2020 May 4.
8
Thrombotic complications in heart failure: an underappreciated challenge.
Circulation. 2014 Jul 29;130(5):387-9. doi: 10.1161/CIRCULATIONAHA.114.011353. Epub 2014 Jun 26.
10
Venous thromboembolic disease in congestive heart failure.
Congest Heart Fail. 2010 Jul-Aug;16(4):164-9. doi: 10.1111/j.1751-7133.2010.00148.x.

文献AI研究员

20分钟写一篇综述,助力文献阅读效率提升50倍。

立即体验

用中文搜PubMed

大模型驱动的PubMed中文搜索引擎

马上搜索

文档翻译

学术文献翻译模型,支持多种主流文档格式。

立即体验