Suppr超能文献

基于张量表示的脑电分类的运动相关皮层电位多线性判别空间模式

Multilinear Discriminative Spatial Patterns for Movement-Related Cortical Potential Based on EEG Classification with Tensor Representation.

作者信息

Cai Qian, Yan Jianfeng, Han Hongfang, Gong Weiqiang, Wang Haixian

机构信息

School of Statistics and Mathematics, Nanjing Audit University, Nanjing 211815, Jiangsu, China.

Key Laboratory of Child Development and Learning Science of Ministry of Education, School of Biological Science & Medical Engineering, Southeast University, Nanjing 210096, Jiangsu, China.

出版信息

Comput Intell Neurosci. 2021 May 26;2021:6634672. doi: 10.1155/2021/6634672. eCollection 2021.

Abstract

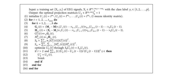
The discriminative spatial patterns (DSP) algorithm is a classical and effective feature extraction technique for decoding of voluntary finger premovements from electroencephalography (EEG). As a purely data-driven subspace learning algorithm, DSP essentially is a spatial-domain filter and does not make full use of the information in frequency domain. The paper presents multilinear discriminative spatial patterns (MDSP) to derive multiple interrelated lower dimensional discriminative subspaces of low frequency movement-related cortical potential (MRCP). Experimental results on two finger movement tasks' EEG datasets demonstrate the effectiveness of the proposed MDSP method.

摘要

判别空间模式(DSP)算法是一种用于从脑电图(EEG)中解码自主手指预运动的经典且有效的特征提取技术。作为一种纯粹的数据驱动子空间学习算法,DSP本质上是一种空间域滤波器,并未充分利用频域中的信息。本文提出了多线性判别空间模式(MDSP),以推导与低频运动相关皮质电位(MRCP)相关的多个相互关联的低维判别子空间。在两个手指运动任务的EEG数据集上的实验结果证明了所提出的MDSP方法的有效性。

https://cdn.ncbi.nlm.nih.gov/pmc/blobs/85d9/8175166/4e451a3ac937/CIN2021-6634672.001.jpg

文献AI研究员

20分钟写一篇综述,助力文献阅读效率提升50倍。

立即体验

用中文搜PubMed

大模型驱动的PubMed中文搜索引擎

马上搜索

文档翻译

学术文献翻译模型,支持多种主流文档格式。

立即体验