Suppr超能文献

评估相对巨噬细胞频率对皮下脂肪组织的贡献。

Assessing the Contribution of Relative Macrophage Frequencies to Subcutaneous Adipose Tissue.

作者信息

Kalafati Marianthi, Lenz Michael, Ertaylan Gökhan, Arts Ilja C W, Evelo Chris T, van Greevenbroek Marleen M J, Blaak Ellen E, Adriaens Michiel, Kutmon Martina

机构信息

Deparment of Human Biology, NUTRIM School of Nutrition and Translational Research in Metabolism, Maastricht University, Maastricht, Netherlands.

Maastricht Centre for Systems Biology, Maastricht University, Maastricht, Netherlands.

出版信息

Front Nutr. 2021 May 31;8:675935. doi: 10.3389/fnut.2021.675935. eCollection 2021.

Abstract

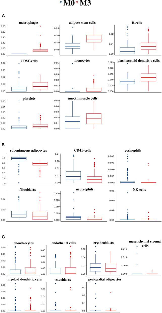
Macrophages play an important role in regulating adipose tissue function, while their frequencies in adipose tissue vary between individuals. Adipose tissue infiltration by high frequencies of macrophages has been linked to changes in adipokine levels and low-grade inflammation, frequently associated with the progression of obesity. The objective of this project was to assess the contribution of relative macrophage frequencies to the overall subcutaneous adipose tissue gene expression using publicly available datasets. Seven publicly available microarray gene expression datasets from human subcutaneous adipose tissue biopsies ( = 519) were used together with TissueDecoder to determine the adipose tissue cell-type composition of each sample. We divided the subjects in four groups based on their relative macrophage frequencies. Differential gene expression analysis between the high and low relative macrophage frequencies groups was performed, adjusting for sex and study. Finally, biological processes were identified using pathway enrichment and network analysis. We observed lower frequencies of adipocytes and higher frequencies of adipose stem cells in individuals characterized by high macrophage frequencies. We additionally studied whether, within subcutaneous adipose tissue, interindividual differences in the relative frequencies of macrophages were reflected in transcriptional differences in metabolic and inflammatory pathways. Adipose tissue of individuals with high macrophage frequencies had a higher expression of genes involved in complement activation, chemotaxis, focal adhesion, and oxidative stress. Similarly, we observed a lower expression of genes involved in lipid metabolism, fatty acid synthesis, and oxidation and mitochondrial respiration. We present an approach that combines publicly available subcutaneous adipose tissue gene expression datasets with a deconvolution algorithm to calculate subcutaneous adipose tissue cell-type composition. The results showed the expected increased inflammation gene expression profile accompanied by decreased gene expression in pathways related to lipid metabolism and mitochondrial respiration in subcutaneous adipose tissue in individuals characterized by high macrophage frequencies. This approach demonstrates the hidden strength of reusing publicly available data to gain cell-type-specific insights into adipose tissue function.

摘要

巨噬细胞在调节脂肪组织功能中发挥着重要作用,而其在脂肪组织中的频率因个体而异。巨噬细胞高频率浸润脂肪组织与脂肪因子水平变化和低度炎症有关,而低度炎症常与肥胖进展相关。本项目的目的是利用公开可用的数据集评估相对巨噬细胞频率对整体皮下脂肪组织基因表达的贡献。来自人类皮下脂肪组织活检的七个公开可用的微阵列基因表达数据集(n = 519)与TissueDecoder一起用于确定每个样本的脂肪组织细胞类型组成。我们根据相对巨噬细胞频率将受试者分为四组。对高相对巨噬细胞频率组和低相对巨噬细胞频率组进行差异基因表达分析,并对性别和研究进行校正。最后,使用通路富集和网络分析确定生物学过程。我们观察到,巨噬细胞频率高的个体中脂肪细胞频率较低,脂肪干细胞频率较高。我们还研究了在皮下脂肪组织中,巨噬细胞相对频率的个体间差异是否反映在代谢和炎症途径的转录差异中。巨噬细胞频率高的个体的脂肪组织中,参与补体激活、趋化性、粘着斑和氧化应激的基因表达较高。同样,我们观察到参与脂质代谢、脂肪酸合成、氧化和线粒体呼吸的基因表达较低。我们提出了一种将公开可用的皮下脂肪组织基因表达数据集与反卷积算法相结合的方法,以计算皮下脂肪组织细胞类型组成。结果显示,巨噬细胞频率高的个体的皮下脂肪组织中,炎症基因表达谱预期增加,同时与脂质代谢和线粒体呼吸相关途径的基因表达降低。这种方法展示了重用公开可用数据以获得对脂肪组织功能的细胞类型特异性见解的潜在优势。

https://cdn.ncbi.nlm.nih.gov/pmc/blobs/6c61/8200404/e56cc770c385/fnut-08-675935-g0001.jpg

文献AI研究员

20分钟写一篇综述,助力文献阅读效率提升50倍。

立即体验

用中文搜PubMed

大模型驱动的PubMed中文搜索引擎

马上搜索

文档翻译

学术文献翻译模型,支持多种主流文档格式。

立即体验