Suppr超能文献

肺泡复张手法可降低颈动脉内膜切除术患者的脑氧饱和度和脑血流速度。

Alveolar Recruitment Maneuver Reduces Cerebral Oxygen Saturation and Cerebral Blood Flow Velocity in Patients During Carotid Endarterectomy.

机构信息

Department of Anesthesiology, Xuanwu Hospital, Capital Medical University, Beijing, China (mainland).

出版信息

Med Sci Monit. 2021 Jun 20;27:e930617. doi: 10.12659/MSM.930617.

Abstract

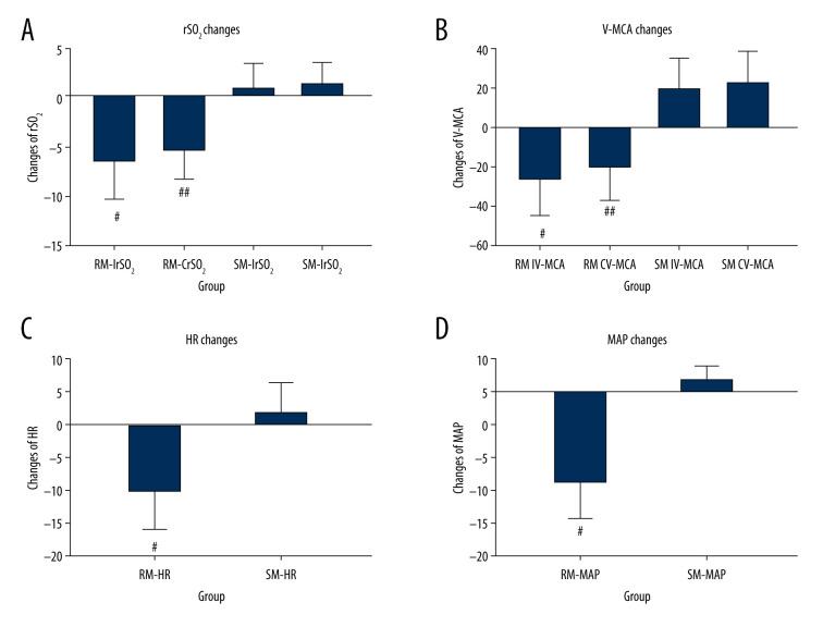
BACKGROUND This study aimed to determine the effects of alveolar recruitment maneuver (RM) on cerebral oxygen saturation and cerebral blood velocity in patients undergoing carotid endarterectomy (CEA) before clamping of the carotid artery. MATERIAL AND METHODS In this crossover exploratory study, all patients were randomized to undergo an RM (30 cmH₂O of continuous airway pressure for 30 s) and a "sham" maneuver (SM; 5 cmH₂O for 30 s), followed by an alternative intervention after a 5-min equilibration period. Near-infrared spectroscopy (NIRS) was used to monitor regional cerebral oxygen saturation (rSO₂), and transcranial Doppler ultrasonography (TCD) to evaluate blood velocity of the middle cerebral artery (V-MCA). Changes in rSO₂, V-MCA, mean arterial pressure (MAP), and heart rate (HR) in response to the 2 interventions were compared. RESULTS A total of 59 patients underwent the study procedure. RM reduced rSO₂, V-MCA, MAP, and HR, but these variables slightly changed during SM. A significant drop in rSO₂ was observed immediately after RM compared with the baseline value (68.51±4.4% vs 64.12±5.15%; P<0.001). The decrease in rSO₂ was higher during the RM than during the SM (-6±4% vs 1±2%; P<0.001). Similarly, change in V-MCA was more significant in response to RM than SM (-26±19% vs 19±16%; P<0.001). The V-MCA value changed from 39 cm/s to 29 cm/s after RM. In addition, V-MCA of the ipsilateral to the surgical side decreased more obviously than the contralateral side (-26±19% vs -20±17%; P=0.001). CONCLUSIONS An RM at 30 cmH₂O of continuous airway pressure for 30 s decreased rSO₂ and V-MCA. In addition, MAP and HR were affected.

摘要

背景

本研究旨在探讨在颈动脉内膜切除术(CEA)夹闭颈动脉前,肺泡复张手法(RM)对行 CEA 患者脑氧饱和度和脑血流速度的影响。

材料与方法

本交叉探索性研究将所有患者随机分为 RM 组(30cmH₂O 持续气道正压 30s)和“假”操作组(5cmH₂O 持续气道正压 30s),每组干预后均给予 5min 平衡期,然后进行交替干预。近红外光谱(NIRS)监测局部脑氧饱和度(rSO₂),经颅多普勒超声(TCD)评估大脑中动脉血流速度(V-MCA)。比较两种干预措施引起的 rSO₂、V-MCA、平均动脉压(MAP)和心率(HR)的变化。

结果

共 59 例患者完成了研究程序。RM 降低了 rSO₂、V-MCA、MAP 和 HR,但在 SM 期间这些变量略有变化。与基础值相比,RM 后 rSO₂即刻显著下降(68.51±4.4% vs 64.12±5.15%;P<0.001)。RM 时 rSO₂下降幅度大于 SM 时(-6±4% vs 1±2%;P<0.001)。同样,RM 时 V-MCA 的变化也大于 SM 时(-26±19% vs 19±16%;P<0.001)。RM 后 V-MCA 从 39cm/s 降至 29cm/s。此外,手术侧大脑中动脉的 V-MCA 下降幅度大于对侧(-26±19% vs -20±17%;P=0.001)。

结论

30cmH₂O 的 RM 持续 30s 可降低 rSO₂和 V-MCA。此外,MAP 和 HR 也受到影响。

https://cdn.ncbi.nlm.nih.gov/pmc/blobs/c837/8223757/759e5d12d5a5/medscimonit-27-e930617-g001.jpg

文献AI研究员

20分钟写一篇综述,助力文献阅读效率提升50倍。

立即体验

用中文搜PubMed

大模型驱动的PubMed中文搜索引擎

马上搜索

文档翻译

学术文献翻译模型,支持多种主流文档格式。

立即体验